一、测试思维角度及详解(重点)
1、需求测试
需求:就是一个文档,制作商品的需求(全称:软件测试需求规格说明书,简称srs)
需求:出自产品,产品根据客户要实现的功能,将内容整理成文档,给到开发和测试,开发就根据需求编辑代码,测试根据需求写用例
测试需求:需求是否合理,需求有没有错别字,需求是否规范,需求是否是唯一,是否冗余
案例水杯:测试制作水杯的说明书
2、界面测试(ui测试)
界面测试也是外观测试,也称为ui测试
测试界面:测试形状,颜色,大小,类型,布局、格式,风格,控件位置等
案例水杯:水杯的颜色,形状,大小等
3、功能测试
功能测试定义:指对产品软件的各个功能进行验证,验证产品是否达到客户要求。
案例水杯:喝水、装水,制冷,保温等
4、兼容性测试
案例水杯:装水,装油,装醋等
软件兼容:操作系统:win10,win11,mocos、ios、andriod等
浏览器:谷歌,uc、ie等
5、性能测试
a、压力测试(也叫破坏性测试)
定义:有一个临界点,突破临界点,查看系统运行状态
案例水杯:一个杯子能装5升水,直接倒入6升,查看状态
b、负载测试
定义:有一个临界点,慢慢地接近临界点,查看系统运行状态
案例水杯:一个杯子能装5升水,倒入4升,4.5升,4.8升,5升查看状态
6、安全测试
案例水杯:制作材料是否有毒,烫伤
软件安全:金额、用户信息、病毒,木马,加密、权限
7、可靠性测试
定义:在规定条件下,可持续的寿命的最长时间。(通常使用各种设备模拟不同的场景,比如高温,低温的情况,加速反映产品在环境中使用的状态来验证)
案例水杯:装200oc度的水
8、可移植性测试
定义:指对设计程序与硬件,软件之间的兼容性测试组合
软件是否录到指定的软件或硬件上运行,由于结构不一样,导致某一类型上的软件不能再另一个计算机上运行。
例:电脑配置: 16g 258 cpu 2.8 运行腾讯会议
电脑配置: 4g 258 cpu 2.0 无法运行腾讯会议
9、易用性测试
定义:指是否方便使用,可以理解为:易学性,易操作性
案例水杯:logo,吸管、背带、被套、过滤网、隔热层等
软件易用性:中英翻译、字体调整大小,说明书、分辨率的修改、颜色切换等
二、计算机基础知识
1、硬件:
输入设备、输出设备、运行器、控制器、存储器
硬件的五个部分:运行器(cpu),控制器(主板),存储器(硬盘),输入设备(键盘,鼠标),输出设备(显示器,音响)
2、软件:
qq、微信、腾讯会议,滴滴、美团
3、pc机:
指的是个人电脑(超级计算机、小型机、大型机、工作站)
4、物理机:
物理机是相对虚拟机而言的实体计算机的称呼,物理机提供给虚拟机以硬件环境,也是称为寄主。
5、虚拟机:
一个物理机虚拟出来机器
6、便携机:
笔记本电脑
7、os :
操作系统
windows10(x,xp,7,8 ,11),macos系统,llinux系统,安装系统,鸿蒙系统,ios系统、塞班系统等
8、共享:
共享资源,共享数据,共享信息
9、备份:
在拷贝一份资料,比如备份系统,备份数据
10、还原:
使用备份的数据还原(恢复数据)
11、路径:例:E:\app\apapium222
文件夹:appium
文档:dd.txt
目录:apapium222
12、bs架构和cs架构(重点)
bs :浏览器====服务器(web)
b:broeser 浏览器
s:server 服务器
bs的应用:百度、csdn、论坛、知乎
cs :客户端====服务器(web)
c:client 客户端
s:server服务端
cs的应用:抖音、qq、微信、美团、酷狗
区别:
1)bs不要更新,直接网址访问,cs 需要下载客户端,需要定期更新
2)bs 对服务器性能要求高,cs 客户端能分摊部分性能压力
3)bs不会占用存储内存, cs会占用存储内存
优缺点:
bs 优点:无序安装、服务器好维护、信息量比较大、资料多
bs缺点:安全性不高、信息容易泄露,容易病毒
cs 优点: 手机携带方便、操作简单、上传下载相对较快,安全性高
cs缺点: 需求安装,升级,更新,维护,服务器相对来说难维护
13、软件分类
单机软件:一般指的是不收费,不需要联网的软件
享软件共:一般指的是不收费,部分收费,如wps
开源软件:公开的软件,代码公开,开发,也不收费
商业软件:都是收费的,把软件当作一个商品交易
14、人员的架构
ceo 首席执行官
cto 首席技术官(负责技术)
pm 项目经理
职责:管理项目,负责项目的进展,工作的安排,从开发一款项目软件,直到系统上线。
产品经理:(需求就是产品输出)
职责:负责公司的产品,了解客户的需求,把客户需求整理成一个需求文档,提供给开发和测试,足球就是产品输出。
人员:产品,业务员
主要收集信息,整理资料
开发经理:
职责:管理开发人员,安排开发任务
开发:前端开发,后端开发
前端开发:对页面的布局,前端编写(html,css,js等)
后端开发:负责代码逻辑实现;(java、python,c++,c,php)
在公司后端开发多,前端开发少 :大概比例1:5
测试经理:(测试组长,测试主管)
职责:管理测试人员,安排测试任务
测试人员:(软件测试工程师,测试工程师)
职责:熟悉需求、编写用例、执行用例
总结:测试小组基本人员架构:项目经理,测试经理,产品经理,测试人员,开发人员,运维(负责公司环境搭建,维护环境)
三、软件测试基础理论(重点)
1、软件测试
测试定义:以检验产品是否满足需求为目标。
软件测试定义:a、验证软件的正确性 b、发现软件中的缺陷(bug)
2、为什么测试?
a、软件运行本身就会出问题
b、代码和文档师人写的,人难免会出错
c、环境会影响软件出现问题
d、软件测试活动是保证软件质量的活动之一
3、测试用例:
包含字段:用例编号,用例标题、前置条件,用例步骤,预期结果,优先级。
4、测试计划:
包含测试目的、测试背景、测试范围、测试准入准出、人力资源配置、测试环境配置、测试任务与进度、风险及风险管理,测试交付档案。
5、测试报告:
包含测试目的、测试范围、测试背景、测试实施日期、测试人员、bug清单、用例清单、测试结果。
6、软件的生命周期:
a、指的师软件从产生到报废的整个流程
b、软件生命周期包含哪些阶段:
1)客户引入问题或定义
2)可行性(涉及经济,商业,技术)
3)项目招投标
4)项目立项
5)需求分析
6)开发阶段(开发,测试,上线)
7)维护
7、软件的生命周期模型
(1)瀑布模型(淘汰)
(2)敏捷开发模型:周期短,效率高
(3)w模型
(4)增量开发模型
(5)迭代开发模型
(6)V模型(重点)
(7)H模型(重点)
v模型
需求(简称:srs) 【产品输出】 全称:软件需求规格说明书
1、用户需求
类型:一个文档;
内容:对整个项目的设计、框架、功能、模块的描述
2、概要设计 (开发输出)
简称:(HLD)
类型:文档
内容:架构的初步设计文档,使用说明什么类型数据库,架构的描述,设计,模块的名称
(可理解为:盖房子的大概设计,基本框架结构)
3、详细设计
简称(LLD)
类型:也是一个文档
内容:针对功能具体的实现,模块的具体实现,具体设计,架构的具体描述,
(可理解为:房子的具体的装饰设计)
v模型的四个阶段(重点):单元测试、系统测试、集成测试、验收测试
(1)单元测试
是指验证软件单元是否满足详细设计文档的规格,能正确的执行,主要是对代码的测试.
单元测试也是最小的测试单位;
在工作中单元测试一般情况是开发自测,如果需要测试进行单元测试,对测试的技术要求非常高,必须要懂开发语言;
理解:单元测试,课本上有10个单元一本书(一单元测试)
(2)集成测试
集成测试是指多个单元组合验证软件是否满足概要设计文档的规格,能正常执行,主要是模块与模块之间的数据交互。
理解:课本上有10个单元(有2个单元或2个单元模块以上测试,比如期中考试1-6单元)
(3)系统测试
系统测试是指把软件进行正常运行,对整个软件系统进行测试,验证这个系统能正常的运行,主要是测试一个整体业务的流程。
理解:课本上有10个单元(测试1-10 单元综合测试)
(4)验收测试(重点)
验收测试是指:站在用户角度去对软件进行测试,验证系统满足用户需求;
验收测试测试分为两种:alpha测试(α) 和 bete测试(β)
α测试是内部验收测试,β测试是客户方测试
α测试和β测试区别:
1、α测试测试地点:是在自己公司 ;β测试一般在客户方
2、α测试都是内部人员进行测试,开发在现场及时发现问题,及时解决;
β测试是在客户方的员工测试,发现问题在反馈给开发在解决
3、α测试测试时间短,技术人员比较集中;
β测试测试时间较长,测试人员不集中;
备注:
(1)集成测试(it)和系统测试(st) 合并成(sit测试),
(2)sit测试(系统集成测试), 技术测试 ;uat测试(验收测试)
(3)sit环境 (sit1环境,sit2环境,sit3环境);uat环境(专用来验收环境)
(4)环境:
a.线上环境(也叫生成环境)
b.测试环境:测试人员使用
c、开发环境:开发人员使用
H模型(重点)
产品开需求会议====测试和开发拿到需求===分析需求===编写测试计划(测试经理)===编写测试用例===评审用例,评审通过===将用例导入用例管理工具===搭建环境====开发提测,达到准入要求====部署项目包到环境中=====开始冒烟测试===sit1系统集成测试====有bug提交给开发===开发修改好===提交第二次代码包=======部署项目包到环境中===在冒烟测试===sit2测试===以此类推===直到达到准出要求0bug,用例100%执行===输出测试报告===通知uat测试=====uat验收通过===封装版本===等待上线===准备线上数据===上线===线上测试===测试无bug表示上线成功。
备注:
冒烟测试:测试将代码部署到环境中的首测
sit测试用例来源:概要设计和需求分析
8、基本测试元组
- 测试的标准是用户需求
- 测试不仅仅是单纯的软件本身的测试
- 软件外在没有失效不代表软件系统是可用的
- 软件的完美度没有完全正确的,测试只能帮助软件更加完美,更加正确。
- 穷尽测试是不可能的(有些条件组合非常多,穷尽测试是不可能的)
- 测试应该尽早介入(早期引入的问题占到整问题数目的50%以上)
- 二八原则(80%的缺陷或错误会集中出现在20%的区域中)
- 杀虫剂效应(也就是说要不断更新用例,因为反复的执行相同的测试用例将会发现新缺陷的能力几乎为零)
- 测试活动依赖测试对象(测试的关注点不一样,有的更多关注安全和性能的测试)
- 尽量选择第三方测试(避免自己测试自己开发程序)
- 测试流程大体流程:测试计划输出===测试分析和设计===测试实现和执行===输出测试报告===测试文档归档
四、测试用例常用术语
1.动态测试(dynamic testing):
通过运行软件的组件或 系统来测试软件
例如:一辆汽车发动并行驶测试
2.静态测试(static testing):
对组件的规格说明书进行 评审,对静态代码进行走查
例如:一辆汽车为发动未行驶,查看外观、颜色、组成部分
3.正式评审(formal review):
对评审过程及需求文档的 一种特定评审,比如:用例评审
a、组内评审(项目组中的成员:产品,开发,测试)
b、交叉评审(测试同事成员:测试a、测试b,测试c)
4、评审员(reviewer):
参与评审的人
5、度量:
测量所使用的方法或标准 (准入,准出)
准入:测试计划编写好,测试用例编写好,测试用例评审通过,环境搭建好
准出:用例100%执行,0bug,输出测试报告
性能测试:响应时间要达到3s内
6.记录员:
记录评审会议上的会议纪要
7.技术评审(Technical Review):
同行间对技术进行的评审,目的是技术实现达成共识
8.走查(Walkthrough):
由文档作者逐步陈述文档内容,以收集信息并对内容达成一致
9.复杂性(complexity):
系统或组件的设计或内部结构比较复杂,导致难以理解,维护或验证的程度
10.圈复杂度(Cycloramic complexity):
程序中独立路径的数量。
可以衡量一个组件模块的判定结构的复杂程度。
例如:软件复杂程度
圈复杂度三种计算方式:

a.圈复杂=区域数
案例圈复杂度=5个区域
b.圈复杂度=边数-节点数+2
边10-7个节点+2=5
c.圈复杂度=判定节点+1
案例:判断节点4+1=5
案例:
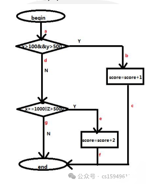
代码:
if(x>100&&y>500)
then
score=score+1
else if(x>=1000z>5000)then
score=score+2
流程图:

复杂度
a.圈复杂度=区域数:
3个区域

b.判定节点+1
2+1=3

c.边数-节点+2
7-6+2=3
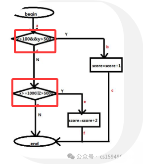
案例2:
代码:
(x>100&&y>500)then
score-score+1
else if(x>=1000z>5000)
)then
score=score+2
else
score=score+3
end if
控制图

a.区域数=3
b.判定节点+1=3
c.8-7+2=3
11.控制流(Control Flow):
执行组件或系统的一系列顺序的路径
12.数据流(Data Flow):
表示数据对象的顺利或状态发生变化的过程
例如:状态变法:待支付==》已支付,代发货==》已发货,代签收
13.控制流图
控制流图(CFG,Controlflowgraph)也叫控制流程图,是一个过程或程序的抽象表现。

被折叠的 条评论
为什么被折叠?



