python高阶函数详解
本文结合各种实际的例子详细讲解了Python5个内建高阶函数的使用,能够帮助理解Python的数据结构和提高数据处理的效率,这5个函数分别是:
- map
- reduce
- filter
- sorted/sort
- zip

文章目录


map
语法

如果大家在学习中遇到困难,想找一个python学习交流环境,可以加入我们的python圈,裙号930900780,可领取python学习资料,会节约很多时间,减少很多遇到的难题。
map函数的基本语法是map(func, seq),其含义指的是:对后面可迭代序列中的每个元素执行前面的函数func的功能,最终获取到一个新的序列。注意:
- Python2 中直接返回的是一个列表
- Python3 中返回的是一个可迭代器,如果想返回列表,可以使用list()进行处理
help(map) # 查看帮助信息
复制代码

demo
通过举例说明map函数的使用方法
- 使用Python内置函数

- 使用自定义函数

- 使用匿名函数lambda
使用匿名函数的时候可以有多个参数

reduce
语法
reduce函数的定义:
reduce(function, sequence [, initial] ) -> value
复制代码
reduce依次从sequence中取一个元素,和上一次调用function的结果做参数,再次调用function。
第一次调用function时,如果提供initial参数,会以sequence中的第一个元素和initial作为参数调用function,否则会以序列sequence的第一个数
使用

Python3中已将reduce函数移到functools模块中,需要先进行导入:
from functools import reduce # 导入
复制代码
help(reduce) # 查看帮助文档
复制代码

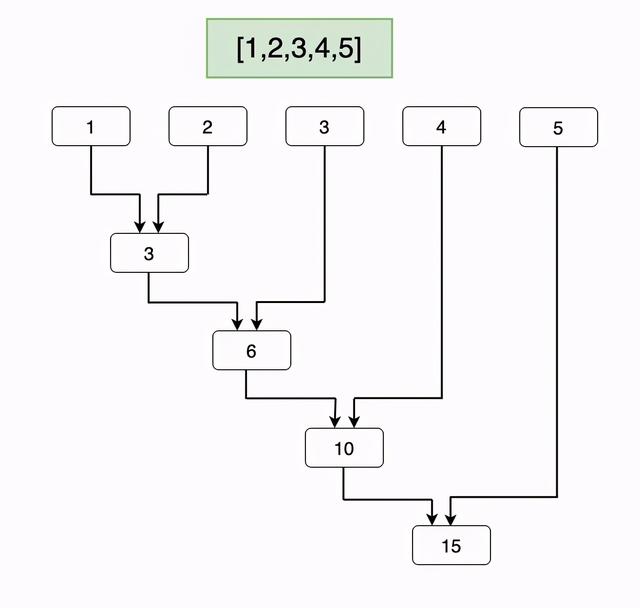
上面的例子我们通过一个图形来解释说明:

demo
- 使用自定义函数

- 使用匿名函数lambda

image-20201024185550970
- 一个复杂的例子

具体过程为:
1. 1*2+1=3
2. 3*3+1=10 # 第一个3为上面的结果3,第2个原始数据中的3
3. 10*4+1=41
复制代码
- 带有初始值的例子
初始化值和序列中的第一个值执行func函数,将得到的结果作为下次的起始值

# 具体过程解释为
1. 6+1=7
2. 7+2=9
3. 9+3=12
4. 12+4=16
5. 16+5=21
复制代码
filter
语法
filter()函数用于过滤序列,过滤掉不符合条件的那些元素,返回符合条件的元素组成新列表。

序列中的每个元素作为参数传递给函数进行判断,返回True或者False,最后将返回True的元素放到新列表中。
filter()语法如下:
filter(function, iterable) # 前者为函数,后者为待执行的序列
复制代码
demo
help(filter) # 帮助文档
复制代码

- 1.使用自定义函数
返回10以内的偶数

使用匿名函数lambda

对字符串的筛选
选择符合指定要求的字符串

最后多说一句,想学习Python可联系小编,这里有我自己整理的整套python学习资料和路线,想要这些资料的都可以进q裙930900780领取。
本文章素材来源于网络,如有侵权请联系删除。
1261

被折叠的 条评论
为什么被折叠?



