
方向导数和梯度的概念已经不用赘述:
方向导数是函数z在某个具体点上(例如(x0,y0,z0...))沿通过该点的射线L方向计算得到的导数。
方向导数写成向量相乘的方式时,就是梯度乘以与L同方向的单位向量。
当单位向量的方向与梯度向量方向一致时(也就是单位向量与梯度向量的夹角θ为0°角时),z函数在某点L方向的方向导数达到最大值,最大值就是梯度的值(模)。
这里一直隐含了一个东西,梯度也是向量(由z函数在某具体点对各个变量求偏导组成)它也是有方向的,当L射线与此时梯度方向一致时,方向导数达到最大值,也就是梯度的模。换句话说,在某个具体点上,梯度方向永远是函数上升最陡峭的方向,但是梯度的方向该如何计算呢?
以下内容转自[知乎]为什么梯度的方向与等高线切线方向垂直?
在三维曲面上的梯度更新过程中,很多地方出现梯度的下降方向是如下这样走的:

图片来源于百度百科。从图上能够看出,梯度下降的方向与等高线的切线方向垂直。
那么为什么会垂直呢?其实是一个高数问题。
解释
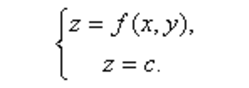
假设我们的损失函数为z=f(x,y),在几何上表示是一个曲面,该曲面被平面c(c为常数)所截得的曲线l方程为:

这条曲线l在xy轴平面上的投影是一条平面曲线Q,它在xy平面直角坐标系中的方程为

则我们称平面曲线Q为函数z=f(x,y)的等高线。
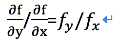
由于等高线f(x,y)=c上任意一点的切线斜率为dy/dx,则等高线f(x,y)=c上任意一点(x,y)处的法线的斜率为:

又因为梯度的计算式子为:

则可以得到梯度的方向为:

从上可以看出梯度的方向与等高线f(x,y)=c上任意一点的法线斜率是相同的。
这也就解释了为什么梯度的方向与等高线切线方向垂直的原因。结论如下:
函数z=f(x,y)在点p(x,y)的梯度的方向与过点p的等高线f(x,y)=c在这点的法线一个方向相同。梯度的方向与等高线切线方向垂直。
本文阐述了方向导数的概念及其与梯度的关系,并详细解释了梯度方向与等高线切线方向垂直的原因。
5863

被折叠的 条评论
为什么被折叠?



