数据简介
乡村振兴指数以“产业兴旺、生态宜居、乡风文明、治理有效、生活富裕”为总要求,通过构建多层级指标体系,对乡村发展的全面性、系统性进行量化评估。其目标值通常设定为“到2035年基本实现农业农村现代化”,旨在通过动态监测与横向对比,揭示乡村发展的现实水平、区域差距及短板弱项,为政策制定、资源分配和实践优化提供科学依据。
实施乡村振兴,产业兴旺是重点,生态宜居是关键,乡风文明是保障,治理有效是基础,生活富裕是根本。
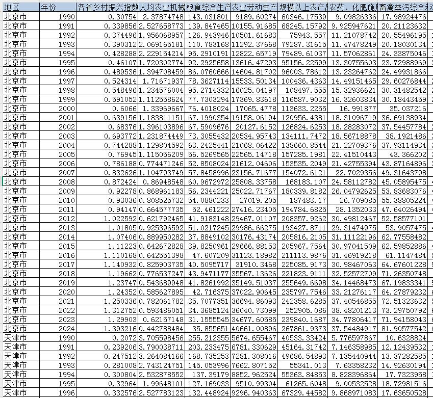
数据名称:省级-乡村振兴指数数据
数据年份:1990-2024
数据指标:
地区 年份 各省乡村振兴指数 人均农业机械总动力(千瓦) 粮食综合生产能力(万吨) 农业劳动生产率(元/人) 规模以上农产品加工企业主营业务收入(亿元) 农药、化肥施用量(万吨) 畜禽粪污综合利用率(%) 对生活污水进行处理的行政村占比(%) 对生活垃圾进行处理的行政村占比(%) 卫生厕所普及率(%) 农村绿化率(%) 农村居民教育文化娱乐支出占比(%) 农村义务教育学校专任教师本科以上学历比例(%) 农村居民平均受教育年限(年) 有线电视覆盖率(%) 开通互联网宽带业务的行政村比重(%) 乡村文化站数量(个) 村主任、书记”一肩挑“比例(%) 已编制村庄规划的行政村占比(%) 已开展村庄整治的行政村占比(%) 农民人均纯收入(元) 农民人均收入增长率(%) 城乡居民收入比(%) 农村贫困发生率(%) 农村居民恩格尔系数(%) 每百户汽车拥有量(辆) 农村居民人均住房面积(平方米) 安全饮用水普及率(%) 村庄道路硬化率(%) 人均道路面积(平方米) 农村每千人拥有卫生技术人员数(人)
数据截图
【下载→
方式一(推荐):主页 ↓个人↓简介
方式二:数据下载地址汇总_-优快云博客
700

被折叠的 条评论
为什么被折叠?



