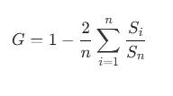
基尼系数是一个国际上广泛用来综合考察居民内部收入分配差异状况的重要指标,在夜间灯光研究中被应用于量化空间发展不均衡性。其核心思想是通过测量实际分布与完全平等分布之间的差距来衡量不平等程度。基尼系数基于洛伦兹曲线(Lorenz Curve)概念,该曲线描述了累积人口比例与累积财富(在此处为灯光强度)比例之间的关系。而夜间灯光数据主要来源于卫星对地球夜间的观测,通过捕捉地面上的灯光亮度来反映人类活动的强度和分布情况。在一定程度上,灯光亮度可以与地区的经济发展水平、人口密度以及居民的收入水平相关联。其计算公式如下:

数据来源
夜间灯光数据来源于皮皮侠数据库,人工整理,全部内容真实有效。
时间跨度
1992-2023
数据范围
中国地级市
数据形式
数据格式为Excel形式
数据指标
city、年份、gini
数据展示

参考文献
[1]赵建梅,祝雨翔.市场化进程与地区经济不均衡——基于夜间灯光数据的分析[J].中央财经大学学报,2023,(04):105-11
【下载→
方式一(推荐):主页↓个人↓简介
经管数据库-优快云博客
方式二:数据下载地址汇总-优快云博客
1596

被折叠的 条评论
为什么被折叠?



