层序遍历
给你二叉树的根节点 root ,返回其节点值的 层序遍历 。 (即逐层地,从左到右访问所有节点)。
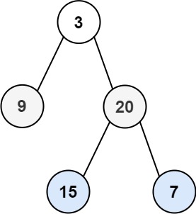
示例 1:

输入:root = [3,9,20,null,null,15,7] 输出:[[3],[9,20],[15,7]]
示例 2:
输入:root = [1] 输出:[[1]]
示例 3:
输入:root = [] 输出:[]
提示:
- 树中节点数目在范围
[0, 2000]内 -1000 <= Node.val <= 1000
在Java中,二叉树的分层遍历通常指的是层序遍历(Breadth-First Search, BFS),它按照树的层次顺序访问节点。为了实现这个功能,我们可以使用队列(Queue)来辅助遍历。下面是一个简单的Java代码示例,用于实现二叉树的分层遍历,并附带了详细的说明。
首先,我们需要定义二叉树节点的数据结构:
public class TreeNode {
int val;
TreeNode left;
TreeNode right;
TreeNode(int x) {
val = x;
}
}
接下来是实现分层遍历的Java方法:
import java.util.LinkedList;
import java.util.Queue;
public class BinaryTreeLevelOrderTraversal {
// 二叉树的分层遍历(层序遍历)
public List<List<Integer>> levelOrder(TreeNode root) {
List<List<Integer>> result = new ArrayList<>();
if (root == null) {
return result;
}
// 使用队列来进行层序遍历
Queue<TreeNode> queue = new LinkedList<>();
queue.offer(root); // 将根节点加入队列
while (!queue.isEmpty()) {
// TreeNode node = queue.poll(); 错误提示
int levelSize = queue.size(); // 当前层的节点数量
List<Integer> levelNodes = new ArrayList<>(); // 存储当前层的节点值
// 遍历当前层的所有节点
for (int i = 0; i < levelSize; i++) {
TreeNode currentNode = queue.poll(); // 取出队首节点
levelNodes.add(currentNode.val); // 将节点值加入当前层列表
// 将当前节点的子节点加入队列
if (currentNode.left != null) {
queue.offer(currentNode.left);
}
if (currentNode.right != null) {
queue.offer(currentNode.right);
}
}
// 当前层遍历完毕,将当前层的节点值列表加入结果列表
result.add(levelNodes);
}
return result;
}
// 主函数用于测试
public static void main(String[] args) {
// 构造一个简单的二叉树进行测试
TreeNode root = new TreeNode(3);
root.left = new TreeNode(9);
root.right = new TreeNode(20);
root.right.left = new TreeNode(15);
root.right.right = new TreeNode(7);
BinaryTreeLevelOrderTraversal traversal = new BinaryTreeLevelOrderTraversal();
List<List<Integer>> result = traversal.levelOrder(root);
// 输出分层遍历的结果
for (List<Integer> level : result) {
System.out.println(level);
}
}
}
详细说明:
定义数据结构:首先,我们定义了一个TreeNode类来表示二叉树的节点,包含节点的值以及左右子节点的引用。
实现分层遍历:在BinaryTreeLevelOrderTraversal类中,我们实现了levelOrder方法来进行分层遍历。该方法接收一个TreeNode类型的根节点作为参数,并返回一个二维列表List<List<Integer>>,其中每个内部列表List<Integer>代表一层节点的值。
使用队列:我们使用了Java的LinkedList作为队列来实现层序遍历。队列的特性是先进先出(FIFO),非常适合用来进行层次遍历。
遍历过程:
首先,检查根节点是否为空,如果为空则直接返回空结果列表。
将根节点加入队列。
当队列不为空时,进行循环遍历。在每次循环中,首先获取当前层的节点数量levelSize,然后遍历当前层的所有节点。对于每个节点,将其值加入当前层的列表levelNodes,并将其子节点(如果存在)加入队列。
当当前层的所有节点都遍历完毕后,将当前层的节点值列表levelNodes加入结果列表result。
主函数测试:在main方法中,我们构造了一个简单的二叉树,并调用levelOrder方法进行测试。最后,我们遍历结果列表并打印每一层的节点值。
通过上面的代码和说明,你应该能够清楚地理解如何在Java中实现二叉树的分层遍历。
每层最大值
public List<Integer> findMaxvalue(TreeNode root) {
List<Integer> maxValuseIntegers = new ArrayList<Integer>();
if (root == null) {
return maxValuseIntegers;
}
Queue<TreeNode> queue = new LinkedList<TreeNode>();
queue.offer(root);
while(!queue.isEmpty()) {
int levelMaxValue = Integer.MIN_VALUE;
// 这个地方是关键
int levelSize = queue.size();
for (int i = 0; i < levelSize; i++) {
TreeNode node = queue.poll();
levelMaxValue = Math.max(levelMaxValue, node.val);
if (node.left != null) {
queue.offer(node.left);
}
if (node.right != null) {
queue.offer(node.right);
}
}
maxValuseIntegers.add(levelMaxValue);
}
return maxValuseIntegers;
}
2731

被折叠的 条评论
为什么被折叠?



