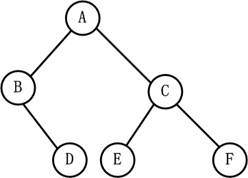
先用比较笨的方法创建可以棵如下的树:
主要是用于后面的实验用,总的来讲,用递归实现遍历很简单。实现了三种遍历方法:先序遍历,中序遍历,后序遍历。以以上的树为例输出的结果应为:A, B, D, C, E, F; B, D, A, E, C, F; D, B, E, F, C, A.
本文介绍了一种使用递归方法实现二叉树的创建及遍历的过程,并提供了先序、中序和后序遍历的具体实现。此外,还讨论了如何计算二叉树的节点数和高度。
先用比较笨的方法创建可以棵如下的树:
主要是用于后面的实验用,总的来讲,用递归实现遍历很简单。实现了三种遍历方法:先序遍历,中序遍历,后序遍历。以以上的树为例输出的结果应为:A, B, D, C, E, F; B, D, A, E, C, F; D, B, E, F, C, A.
5581
7620

被折叠的 条评论
为什么被折叠?