二叉树层序遍历
题目描述
- 102.二叉树的层序遍历
- 107.二叉树的层次遍历II
- 199.二叉树的右视图
- 637.二叉树的层平均值
- 429.N叉树的层序遍历
- 515.在每个树行中找最大值
- 116.填充每个节点的下一个右侧节点指针
- 117.填充每个节点的下一个右侧节点指针II
- 104.二叉树的最大深度
- 111.二叉树的最小深度
102.二叉树的层序遍历
给你二叉树的根节点 root ,返回其节点值的 层序遍历 。 (即逐层地,从左到右访问所有节点)。
题目描述
示例 1:

输入:root = [3,9,20,null,null,15,7]
输出:[[3],[9,20],[15,7]]
示例 2:
输入:root = [1]
输出:[[1]]
示例 3:
输入:root = []
输出:[]
提示:
- 树中节点数目在范围
[0, 2000]内 -1000 <= Node.val <= 1000
解决方法
class Solution {
public:
vector<vector<int>> levelOrder(TreeNode* root) {
queue<TreeNode*> que;
if(root!=nullptr)que.push(root);
vector<vector<int>> ans;
while(!que.empty())
{
int size = que.size();
vector<int> vec;
for(int i = 0; i< size; ++i)
{
TreeNode * node = que.front();
que.pop();
vec.push_back(node->val);
if(node->left)que.push(node->left);
if(node->right)que.push(node->right);
}
ans.push_back(vec);
}
return ans;
}
};
107. 二叉树的层序遍历 II
题目描述
给你二叉树的根节点 root ,返回其节点值 自底向上的层序遍历 。 (即按从叶子节点所在层到根节点所在的层,逐层从左向右遍历)
示例 1:

输入:root = [3,9,20,null,null,15,7]
输出:[[15,7],[9,20],[3]]
示例 2:
输入:root = [1]
输出:[[1]]
示例 3:
输入:root = []
输出:[]
提示:
- 树中节点数目在范围
[0, 2000]内 -1000 <= Node.val <= 1000
解题思路
/**
* Definition for a binary tree node.
* struct TreeNode {
* int val;
* TreeNode *left;
* TreeNode *right;
* TreeNode() : val(0), left(nullptr), right(nullptr) {}
* TreeNode(int x) : val(x), left(nullptr), right(nullptr) {}
* TreeNode(int x, TreeNode *left, TreeNode *right) : val(x), left(left), right(right) {}
* };
*/
class Solution {
public:
vector<vector<int>> levelOrderBottom(TreeNode* root) {
queue<TreeNode * > que;
if(root)que.push(root);
vector<vector<int>> ans;
while(!que.empty())
{
int size = que.size();
vector<int> vec;
for( int i = 0 ; i< size; ++i)
{
TreeNode * node = que.front();
que.pop();
vec.push_back(node->val);
if(node->left)que.push(node->left);
if(node->right)que.push(node->right);
}
ans.push_back(vec);
}
reverse(ans.begin(),ans.end());
return ans;
}
};
199. 二叉树的右视图
题目描述
给定一个二叉树的 根节点 root,想象自己站在它的右侧,按照从顶部到底部的顺序,返回从右侧所能看到的节点值。
示例 1:

输入: [1,2,3,null,5,null,4]
输出: [1,3,4]
示例 2:
输入: [1,null,3]
输出: [1,3]
示例 3:
输入: []
输出: []
提示:
- 二叉树的节点个数的范围是
[0,100] -100 <= Node.val <= 100
解题思路
/**
* Definition for a binary tree node.
* struct TreeNode {
* int val;
* TreeNode *left;
* TreeNode *right;
* TreeNode() : val(0), left(nullptr), right(nullptr) {}
* TreeNode(int x) : val(x), left(nullptr), right(nullptr) {}
* TreeNode(int x, TreeNode *left, TreeNode *right) : val(x), left(left), right(right) {}
* };
*/
class Solution {
public:
vector<int> rightSideView(TreeNode* root) {
queue<TreeNode*> que;
if(root) que.push(root);
vector<int> ans;
while(!que.empty())
{
int size = que.size();
for( int i = 0; i< size;++i)
{
TreeNode *node = que.front();
que.pop();
if(i == (size-1))ans.push_back(node->val);
if(node->left) que.push(node->left);
if(node->right)que.push(node->right);
}
}
return ans;
}
};
637. 二叉树的层平均值
题目描述
给定一个非空二叉树的根节点 root , 以数组的形式返回每一层节点的平均值。与实际答案相差 10<sup>-5</sup> 以内的答案可以被接受。
示例 1:

输入:root = [3,9,20,null,null,15,7]
输出:[3.00000,14.50000,11.00000]
解释:第 0 层的平均值为 3,第 1 层的平均值为 14.5,第 2 层的平均值为 11 。
因此返回 [3, 14.5, 11] 。
示例 2:

输入:root = [3,9,20,15,7]
输出:[3.00000,14.50000,11.00000]
提示:
- 树中节点数量在
[1, 10<sup>4</sup>]范围内 -2<sup>31</sup> <= Node.val <= 2<sup>31</sup> - 1
解题思路
class Solution {
public:
vector<double> averageOfLevels(TreeNode* root) {
queue<TreeNode *> que;
if(root) que.push(root);
vector<double> ans;
while(!que.empty())
{
int size = que.size();
vector<int> vec;
double sum = 0;
for( int i = 0 ; i< size; ++i)
{
TreeNode * node = que.front();
que.pop();
if(node->left)que.push(node->left);
if(node->right) que.push(node->right);
vec.push_back(node->val);
}
for(double i : vec)
{
sum+=i;
}
ans.push_back(sum/size);
}
return ans;
}
};
更低的时间复杂度和空间复杂度
class Solution {
public:
vector<double> averageOfLevels(TreeNode* root) {
queue<TreeNode*> que;
if (root != NULL) que.push(root);
vector<double> result;
while (!que.empty()) {
int size = que.size();
double sum = 0; // 统计每一层的和
for (int i = 0; i < size; i++) {
TreeNode* node = que.front();
que.pop();
sum += node->val;
if (node->left) que.push(node->left);
if (node->right) que.push(node->right);
}
result.push_back(sum / size); // 将每一层均值放进结果集
}
return result;
}
};
429.N叉树的层序遍历
题目描述
给定一个 N 叉树,返回其节点值的_层序遍历_。(即从左到右,逐层遍历)。
树的序列化输入是用层序遍历,每组子节点都由 null 值分隔(参见示例)。
示例 1:

输入:root = [1,null,3,2,4,null,5,6]
输出:[[1],[3,2,4],[5,6]]
示例 2:
[外链图片转存失败,源站可能有防盗链机制,建议将图片保存下来直接上传(img-FF3LyTTU-1677637836121)(https://assets.leetcode.com/uploads/2019/11/08/sample_4_964.png)]
输入:root = [1,null,2,3,4,5,null,null,6,7,null,8,null,9,10,null,null,11,null,12,null,13,null,null,14]
输出:[[1],[2,3,4,5],[6,7,8,9,10],[11,12,13],[14]]
解题思路
class Solution {
public:
vector<vector<int>> levelOrder(Node* root) {
queue<Node*> que;
if(root) que.push(root);
vector<vector<int> > ans;
while(!que.empty())
{
int size = que.size();
vector<int> vec;
for( int i = 0; i< size;i++)
{
Node * node = que.front();
que.pop();
for(Node* n : node->children)
{
if(n)que.push(n);
}
vec.push_back(node->val);
}
ans.push_back(vec);
}
return ans;
}
};
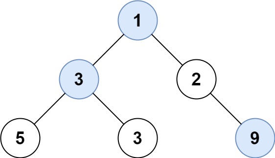
515.在每个树行中找最大值
题目描述
给定一棵二叉树的根节点 root ,请找出该二叉树中每一层的最大值。
示例1:

输入: root = [1,3,2,5,3,null,9]
输出: [1,3,9]
示例2:
输入: root = [1,2,3]
输出: [1,3]
提示:
- 二叉树的节点个数的范围是
[0,10<sup>4</sup>] -2<sup>31</sup> <= Node.val <= 2<sup>31</sup> - 1
解题思路
C++中int的最小值可以用INT_MIN表示
class Solution {
public:
vector<int> largestValues(TreeNode* root) {
queue<TreeNode*> que;
if(root)que.push(root);
vector<int> ans;
while(!que.empty())
{
int max = INT_MIN;
int size = que.size();
for( int i = 0; i< size;++i)
{
TreeNode* node = que.front();
que.pop();
max = max >node->val?max:node->val;
if(node->left)que.push(node->left);
if(node->right)que.push(node->right);
}
ans.push_back(max);
}
return ans;
}
};
104. 二叉树的最大深度
题目描述
给定一个二叉树,找出其最大深度。
二叉树的深度为根节点到最远叶子节点的最长路径上的节点数。
说明: 叶子节点是指没有子节点的节点。
示例:
给定二叉树 [3,9,20,null,null,15,7],
3
/ \
9 20
/ \
15 7
返回它的最大深度 3 。
解题思路
class Solution {
public:
int maxDepth(TreeNode* root) {
queue<TreeNode*> que;
if(root) que.push(root);
int max = 0;
while(!que.empty())
{
int size = que.size();
for(int i = 0; i< size;++i)
{
TreeNode * node = que.front();
que.pop();
if(node->left)que.push(node->left);
if(node->right)que.push(node->right);
}
max++;
}
return max;
}
};
111.二叉树的最小深度
题目描述
给定一个二叉树,找出其最小深度。
最小深度是从根节点到最近叶子节点的最短路径上的节点数量。
**说明:**叶子节点是指没有子节点的节点。
示例 1:

输入:root = [3,9,20,null,null,15,7]
输出:2
示例 2:
输入:root = [2,null,3,null,4,null,5,null,6]
输出:5
提示:
- 树中节点数的范围在
[0, 10<sup>5</sup>]内 -1000 <= Node.val <= 1000
解题思路
class Solution {
public:
int minDepth(TreeNode* root) {
queue<TreeNode*> que;
if(root) que.push(root);
int min = 0;
while(!que.empty())
{
int size = que.size();
min++;
for(int i = 0; i< size;++i)
{
TreeNode * node = que.front();
que.pop();
if(node->left)que.push(node->left);
if(node->right)que.push(node->right);
if(!node->right&&!node->left)return min;
}
}
return min;
}
};
116.填充每个节点的下一个右侧节点指针
题目描述
给定一个 完美二叉树 ,其所有叶子节点都在同一层,每个父节点都有两个子节点。二叉树定义如下:
struct Node {
int val;
Node *left;
Node *right;
Node *next;
}
填充它的每个 next 指针,让这个指针指向其下一个右侧节点。如果找不到下一个右侧节点,则将 next 指针设置为 NULL。
初始状态下,所有 next 指针都被设置为 NULL。
示例 1:

输入:root = [1,2,3,4,5,6,7]
输出:[1,#,2,3,#,4,5,6,7,#]
解释:给定二叉树如图 A 所示,你的函数应该填充它的每个 next 指针,以指向其下一个右侧节点,如图 B 所示。序列化的输出按层序遍历排列,同一层节点由 next 指针连接,'#' 标志着每一层的结束。
示例 2:
输入:root = []
输出:[]
提示:
- 树中节点的数量在
[0, 2<sup>12</sup> - 1]范围内 -1000 <= node.val <= 1000
进阶:
- 你只能使用常量级额外空间。
- 使用递归解题也符合要求,本题中递归程序占用的栈空间不算做额外的空间复杂度。
解题思路
class Solution {
public:
Node* connect(Node* root) {
queue<Node*> que;
if (root != NULL) que.push(root);
while (!que.empty()) {
int size = que.size();
// vector<int> vec;
Node* nodePre;
Node* node;
for (int i = 0; i < size; i++) {
if (i == 0) {
nodePre = que.front();
que.pop();
node = nodePre;
} else {
node = que.front();
que.pop();
nodePre->next = node;
nodePre = nodePre->next;
}
if (node->left) que.push(node->left);
if (node->right) que.push(node->right);
}
nodePre->next = NULL;
}
return root;
}
};
117.填充每个节点的下一个右侧节点指针II
题目描述
给定一个二叉树:
struct Node {
int val;
Node *left;
Node *right;
Node *next;
}
填充它的每个 next 指针,让这个指针指向其下一个右侧节点。如果找不到下一个右侧节点,则将 next 指针设置为 NULL 。
初始状态下,所有 next 指针都被设置为 NULL 。
示例 1:

输入:root = [1,2,3,4,5,null,7]
输出:[1,#,2,3,#,4,5,7,#]
解释:给定二叉树如图 A 所示,你的函数应该填充它的每个 next 指针,以指向其下一个右侧节点,如图 B 所示。序列化输出按层序遍历顺序(由 next 指针连接),'#' 表示每层的末尾。
示例 2:
输入:root = []
输出:[]
提示:
- 树中的节点数在范围
[0, 6000]内 -100 <= Node.val <= 100
进阶:
- 你只能使用常量级额外空间。
- 使用递归解题也符合要求,本题中递归程序的隐式栈空间不计入额外空间复杂度。
解题思路
与116一样操作
class Solution {
public:
Node* connect(Node* root) {
queue<Node*> que;
if (root != NULL) que.push(root);
while (!que.empty()) {
int size = que.size();
// vector<int> vec;
Node* nodePre;
Node* node;
for (int i = 0; i < size; i++) {
if (i == 0) {
nodePre = que.front();
que.pop();
node = nodePre;
} else {
node = que.front();
que.pop();
nodePre->next = node;
nodePre = nodePre->next;
}
if (node->left) que.push(node->left);
if (node->right) que.push(node->right);
}
nodePre->next = NULL;
}
return root;
}
};
二叉树层序遍历的总结
二叉树的层序遍历,就是图论中的广度优先搜索在二叉树中的应用,需要借助队列来实现(此时又发现队列的一个应用了)。
226.翻转二叉树
题目描述
给你一棵二叉树的根节点 root ,翻转这棵二叉树,并返回其根节点。
示例 1:

输入:root = [4,2,7,1,3,6,9]
输出:[4,7,2,9,6,3,1]
示例 2:

输入:root = [2,1,3]
输出:[2,3,1]
示例 3:
输入:root = []
输出:[]
提示:
- 树中节点数目范围在
[0, 100]内 -100 <= Node.val <= 100
解题思路
101.对称二叉树
题目描述
给你一个二叉树的根节点 root , 检查它是否轴对称。
示例 1:

输入:root = [1,2,2,3,4,4,3]
输出:true
示例 2:

输入:root = [1,2,2,null,3,null,3]
输出:false
提示:
- 树中节点数目在范围
[1, 1000]内 -100 <= Node.val <= 100
解题思路
递归法
递归三部曲
1. 确定递归函数的参数和返回值
因为我们要比较的是根节点的两个子树是否是相互翻转的,进而判断这个树是不是对称树,所以要比较的是两个树,参数自然也是左子树节点和右子树节点。
返回值自然是bool类型。
代码如下:
bool compare(TreeNode* left, TreeNode* right)
2. 确定终止条件
要比较两个节点数值相不相同,首先要把两个节点为空的情况弄清楚!否则后面比较数值的时候就会操作空指针了。
节点为空的情况有:(注意我们比较的其实不是左孩子和右孩子,所以如下我称之为左节点右节点)
- 左节点为空,右节点不为空,不对称,return false
- 左不为空,右为空,不对称 return false
- 左右都为空,对称,返回true
此时已经排除掉了节点为空的情况,那么剩下的就是左右节点不为空:
- 左右都不为空,比较节点数值,不相同就return false
此时左右节点不为空,且数值也不相同的情况我们也处理了。
代码如下:
if (left == NULL && right != NULL) return false;
else if (left != NULL && right == NULL) return false;
else if (left == NULL && right == NULL) return true;
else if (left->val != right->val) return false; // 注意这里我没有使用else
注意上面最后一种情况,我没有使用else,而是else if, 因为我们把以上情况都排除之后,剩下的就是 左右节点都不为空,且数值相同的情况。
3. 确定单层递归的逻辑
此时才进入单层递归的逻辑,单层递归的逻辑就是处理 左右节点都不为空,且数值相同的情况。
- 比较二叉树外侧是否对称:传入的是左节点的左孩子,右节点的右孩子。
- 比较内测是否对称,传入左节点的右孩子,右节点的左孩子。
- 如果左右都对称就返回true ,有一侧不对称就返回false 。
代码如下:
bool outside = compare(left->left, right->right); // 左子树:左、 右子树:右
bool inside = compare(left->right, right->left); // 左子树:右、 右子树:左
bool isSame = outside && inside; // 左子树:中、 右子树:中(逻辑处理)
return isSame;
如上代码中,我们可以看出使用的遍历方式,左子树左右中,右子树右左中,所以我把这个遍历顺序也称之为“后序遍历”(尽管不是严格的后序遍历)。
最后递归的C++整体代码如下:
class Solution {
public:
bool compare(TreeNode* left, TreeNode* right) {
// 首先排除空节点的情况
if (left == NULL && right != NULL) return false;
else if (left != NULL && right == NULL) return false;
else if (left == NULL && right == NULL) return true;
// 排除了空节点,再排除数值不相同的情况
else if (left->val != right->val) return false;
// 此时就是:左右节点都不为空,且数值相同的情况
// 此时才做递归,做下一层的判断
bool outside = compare(left->left, right->right); // 左子树:左、 右子树:右
bool inside = compare(left->right, right->left); // 左子树:右、 右子树:左
bool isSame = outside && inside; // 左子树:中、 右子树:中 (逻辑处理)
return isSame;
}
bool isSymmetric(TreeNode* root) {
if (root == NULL) return true;
return compare(root->left, root->right);
}
};
本文详细介绍了多个关于二叉树层序遍历的问题,包括102.二叉树的层序遍历、107.二叉树的层次遍历II、199.二叉树的右视图、637.二叉树的层平均值等,提供了相应的解题思路和C++代码实现。这些题目涉及二叉树的遍历、层平均值计算以及特定视角的节点值等概念。
1129

被折叠的 条评论
为什么被折叠?



