撰写论文处理上述内容之外, 论文的格式和排版也很重要 , 格式不规范或者没按要求可能会被导师怼 的很惨!格式和排版这一块每个学校得要求都不尽相同 , 撰写论文之前最好拿到学校的论文排版和格式
要求说明仔细阅读 ! 下面介绍一些撰写文档时的小技巧 ,希望大家可以在论文排版上不走弯路 , 大大 提升效率,顺利毕业!
1. 封面页下划线自动对齐
论文封面的排版对其一直都是撰写论文时的痛点 , 姓名、学号、学院、指导老师等等信息的长度都是不 同的,拼命敲空格对齐 , 却死命都对不齐,就像下面这种排版,不是长了就是短了

其实很简单,只需要插入一个2列6行的表格,让表格居中:

然后将字段右对齐,详细信息居中对齐,留下第2列的下边框,就能实现封面页下划线自动对齐了:

绘制下划线的办法也很简单,全选「表格」,点击「设计」选项卡的「无边框」,在依次选中每一个单 元格,选择「下边框」即可。
2. 一键删除换行
Ctrl+C/V作为写毕业论文最强大的技巧,虽然好用,但是难免会碰上从PDF/网页上复制过来的文字,要 么文字/符号出现错误,要么出现了很多换行符,就像这样:

如果是出现了换行符,那么处理的技巧非常简单,选中复制的内容,按「Ctrl+H」进行替换,找到「特 殊格式」-「段落标记」,替换内容什么都不写,点击「全部替换」就可以一键删除「换行符」了。

在PDF上,百度文库上复制别人的文档就会碰到这种情况,使用这招就可以轻松搞定。

3. 设置自动保存/自动备份
写的论文再好,排版在精美,如果忘记保存了这个时候电脑又出故障或者端点了,那么就是一场悲剧, 非常多的小伙伴甚至写了一个上午的论文都不会按一下「Ctrl+S」进行保存。
或者按了「Ctrl+S」,文件闪退后直接损坏了,如果没有备份那么损失就惨重了。这个时候就需要设置 下自动保存/自动备份。
步骤很简单,在「文件」选项卡下点击「选项」,如下:

在「Word选项」窗口中找到「保存标签」,设置「自动恢复信息时间间隔」为 3 分钟,同时这里还有 一个恢复的位置需要记忆下,如果文件损坏可以去这里寻找。

4. 特殊字符的输入
在论文的编辑过程中,难免会输入「版权所有」「注册」「商标」等特殊字符,这些字符在哪里寻找
呢?很简单,点击「插入」选项卡下的「符号」-「其他符号」。

在「特殊符号」下就能找到这些符号了,并且一些常用的符号还设置了相应的快捷键。

5. 批量修改文字样式
绝大部分毕业论文的中英文字体都是固定的,例如中文是「宋体」英文是「Times New Roman」,如 果在边写的时候一遍反复切换字体,可能会变得非常混乱。
其实,在Word中,你可以一键修改,选中所有的文字,在「开始」选项卡下点击「字体」,将中文字体 设置成宋体,西文字体设置成Times New Roman即可一键修改。

6. 文献/图表的交叉引用
文献引用作为论文中非常重要的一部分,在绝大部分毕业论文/学术论文中都会大量引用。如果在论文中 大量引用了文献,你是不是还在手动一个一个标记上序号呢?
其实有更简单的办法,在「开始」下的「段落」-「编号」,就可以重新设置符合论文规范的编号格式, 这样就可以一键设置了。

那么设置完的编号,如何在论文中进行引用了,也超级简单,鼠标点击插入引用的位置,选择「引用」- 「交叉引用」,轻松搞定。

7. 论文导航目录一键抵达
写了几十页的论文,每次切换到固定的位置要不就只能在目录页按Ctrl键进行切换,要不就只能使用鼠 标滚轮慢慢滑,其实Word提供了一个「导航窗格」的小功能。
勾选「视图」选项卡下的「导航」,在左边就可以看到导航了。

想跳转到哪里,直接鼠标点击一键跳转即可,超级方便,甚至你还可以在导航窗格中调整整篇文档的结 构等等。
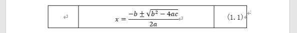
8. 插入公式编号和右对齐
在论文排版中,公式绝对是最难处理的那一部分,不仅需要右对齐,还需要将公式置于整份文档的中 间,其实可以在插入公式之前,新建一个「1行3列」的表格,将它的位置固定。

中间的单元格用于输入公式,右端的单元格用于输入公式的序号,左端留白即可。
接着在「表格工具」-「布局」中选择「根据内容自动调整窗口」,然后继续设置对齐方式,就能得到类 似这样的格式:

最后将表格的边框全部去除即可,跟封面的套路是一模一样的,这样公式永远都是居中并且序号是右对 齐的。
9. 两份文档并排查看
如果想对比两份文档同个位置的差异,使用Tab来切换不仅麻烦而且还需要使用鼠标滚轮滚动位置,这 个时候就需要开启Word的并排查看功能了。
勾选「视图」选项卡下的「窗口」中的「并排查看」,打开的两份文档就会并排在同个窗口中。

注意下,如果只打开了一份文档,这个功能其实没什么用的,这个时候你鼠标滚动的时候注意下,如果 只打开了一份文档,这个功能其实没什么用的,这个时候你鼠标滚动的时候
10. 设置页面布局&装订线
毕业论文在一般情况下使用的是A4纸,并且上下左右边距为2厘米,装订线1厘米,设置也很简单。 点击「布局」选项卡下的「页面设置」选择A4纸。

然后点击「页面设置」下的「页边距」,设置边距2厘米,装订线左侧1厘米。

记得「装订线位置」需要选择「靠左」,绝大部分毕业论文装订都是靠左的,当然也有例外。

11. 论文一键生成目录
在Word中,如果你为不同的段落设置了不同的「大纲级别」,在哪里设置呢?选中某个段落,点击「开 始」选项卡下的「段落」,在常规中就可以找到大纲级别。
为不同的段落分别设置正文、 1级、2级、3级等等大纲级别。

这个时候就可以在Word中一键插入目录了,操作的技巧也非常简单,点击「引用」选项卡下的「手动/ 自动目录」就可以搞定。

如果有新的大纲,还可以点击「更新目录」进行更新,再也不用一个一个插入目录了。并且利用大纲生 成的目录还支持按住Ctrl键鼠标点击跳转到指定的位置,非常强大。
12. 在论文中插入页码/分节
在Word中插入页码非常简单,但是如果要从正文中插入页码,就有很多同学不熟悉了,那么如何从正文 才开始插入页码呢?
首先我们需要点击「开始」选项卡下的「显示标记」按钮,如下:

这里主要用到「分节符」,主要作用是插入分节符后,下一页就会自动另起一页变成新的一部分,这个 时候,插入页码就可以使用新的页码了。

在页码起始页的上一页结尾插入「分节符」后,鼠标点击页码起始页,打开页码设置,勾选「起始页 码」设置为1,这样就可以从正文处开始插入页码了。

默认仍然是勾选「续前节」的话,页码仍然是延续上一节的,这里需要注意下。
13. 英文字符换行问题
在Word中,如果中英文在统一段落中,并且由于英文单词被划分的不一致,经常会出现英文换行,导致 前面的文字间距变大或者留空的情况,如下:

这个时候是因为Word将英文识别为一体,将它换行完整显示出来了,只需要打开「段落设置」,勾选 「允许西文在单词中间换行」,这样Word就不会将它识别成一个整体,可以换行了。

现在就变成这样子了,排版更加自然:
2071

被折叠的 条评论
为什么被折叠?



