1. 引言
Aly等人2019年论文《Efficient Symmetric Primitives for Advanced Cryptographic Protocols (A Marvellous Contribution)》。
sponge结构用于构建hash函数 from an underlying permutation by iteratively applying it to a large state。该state包含 b = r + c b=r+c b=r+c位,其中:
- r r r:为sponge rate
- c c c:为sponge capacity
可将长度变化的input,通过在每次递归过程中absorb input中的 r r r bit,hash为任意长度的output。
2. Rijndael-128 block cipher
Rijndael-128 cipher,俗称AES-128,包含了5个基础块:
- AddRoundKey
- SubBytes
- MixColumns
- ShiftRows
- ExpandKey(其中包含SubWords、AddWords、RotWords和AddConstants)
本文主要关注S-Boxes的调整(即SubBytes和SubWords)。
每个S-Box以一个字节为单位进行处理,S-Box
(
z
)
=
g
(
f
(
z
)
)
(z)=g(f(z))
(z)=g(f(z)),其中:
- f f f 函数(求倒数函数): f : F 2 8 → F 2 8 : x ↦ x 254 f:\mathbb{F}_{2^8}\rightarrow \mathbb{F}_{2^8}:x\mapsto x^{254} f:F28→F28:x↦x254,为adapted multiplicative inverse function over F 2 8 \mathbb{F}_{2^8} F28。可抵抗differential攻击和linear攻击,同时可支持与MixColumns和ShiftRows扩散函数一起用于wide trail design strategy。【注意,有限域内有: x p − 1 m o d p ≡ 1 x^{p-1} \mod p\equiv 1 xp−1modp≡1,从而有倒数运算: x − 1 = x p − 2 x^{-1}=x^{p-2} x−1=xp−2。】
-
g
g
g 函数(affine多项式):
g
:
F
2
8
→
F
2
8
:
x
↦
M
x
+
b
g:\mathbb{F}_{2}^8\rightarrow \mathbb{F}_2^8: x\mapsto Mx+b
g:F28→F28:x↦Mx+b,为 SubBytes step 中的affine transformation。其中
M
∈
F
2
8
×
8
,
b
∈
F
2
8
M\in\mathbb{F}_2^{8\times 8}, b\in \mathbb{F}_2^8
M∈F28×8,b∈F28。这种转换有助于增加S-Box结果的复杂性,以抵抗algebraic 攻击。
当affine transformation针对 F 2 \mathbb{F}_{2} F2时,则整个S-Box可 以如下多项式表示(over F 2 8 \mathbb{F}_{2^8} F28):
S-Box ( z ) = 0 x 05 ⋅ z 254 + 0 x 09 ⋅ z 253 + 0 x F 9 ⋅ z 251 + 0 x 25 ⋅ z 247 + 0 x F 4 ⋅ z 239 + 0 x 01 ⋅ z 223 + 0 x B 5 ⋅ z 191 + 0 x 8 F ⋅ z 127 + 0 x 63 (z) =0x05 \cdot z^{254}+0x09\cdot z^{253}+0xF9\cdot z^{251}+0x25\cdot z^{247}+0xF4\cdot z^{239}+0x01\cdot z^{223}+ 0xB5\cdot z^{191} +0x8F\cdot z^{127}+0x63 (z)=0x05⋅z254+0x09⋅z253+0xF9⋅z251+0x25⋅z247+0xF4⋅z239+0x01⋅z223+0xB5⋅z191+0x8F⋅z127+0x63
3. MiMC
MiMc的构建方式有:
- 采用Albrecht等人2016年论文《Mimc: Efficient encryption and cryptographic hashing with minimal multiplicative complexity》中的block cipher构建,表示为MiMC-q/q:(其中
q
q
q为prime或为 prime power of 2。)在每一个round,每个state仅包含一个field element,包含一个field element in
F
\mathbb{F}
F 会做立方运算,再与随机常量
C
i
C_i
Ci相加,每一个round插入的key
K
K
K是完全相同的。对于128位状态,需要82 rounds就足够。

- 采用Feistel network构建,表示为MiMC-2p/p:(其中
p
p
p为prime或为 prime power of 2。)在每一个round,每个state包含2个
F
p
\mathbb{F}_p
Fp elements,分别表示为
x
L
x_L
xL和
x
R
x_R
xR。第
l
l
l round的函数为:
x L ∣ ∣ x R ← x R + ( x L + K + C l ) 3 ∣ ∣ x L x_L||x_R\leftarrow x_R+(x_L+K+C_l)^3||x_L xL∣∣xR←xR+(xL+K+Cl)3∣∣xL
其中 K K K为key, c l c_l cl为第 l l l round常量。对于128位状态,需164 rounds就足够。

4. Vision
采用Rijndael-128 block cipher,针对的field为
F
2
n
/
m
m
\mathbb{F}_{2^{n/m}}^{m}
F2n/mm,具有
n
n
n-bit staten、
n
n
n-bit key和
n
n
n bits security。
Vision的最小round数为10,推荐round数为
2
⌈
n
/
5.5
m
⌉
2\left \lceil n/5.5m \right \rceil
2⌈n/5.5m⌉。
Vision中:
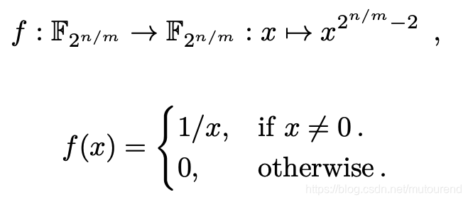
-
f
f
f 函数(求倒数函数)为:

g g g 函数(affine多项式)为:奇数步为 B − 1 ( x ) B^{-1}(x) B−1(x),偶数步为 B ( x ) B(x) B(x)。


key schedule:是指基于一个key派生出所有round keys的算法。(calculates all the round keys from the key)。
Vision的key schedule为:

详细的Vision算法实现为:

5. Rescue
与Vision类似,但是其针对的域为
F
p
\mathbb{F}_p
Fp,而不是
F
2
n
/
m
\mathbb{F}_{2^{n/m}}
F2n/m。
Rescue的最小round数为10,推荐round数为
2
⌈
s
/
4
m
⌉
2\left \lceil s/4m \right \rceil
2⌈s/4m⌉,其中
s
s
s为security level。
其中:
- inverse power map为:(大多数域,选
α
=
3
\alpha=3
α=3就足够,但是对于
2
255
−
19
2^{255}-19
2255−19,不满足
g
c
d
(
p
−
1
,
3
)
=
1
gcd(p-1,3)=1
gcd(p−1,3)=1,可选择
α
=
5
\alpha=5
α=5。对应的security level为
log
2
(
p
m
)
\log_{2}(p^m)
log2(pm) bits,即
m
m
m 乘以
p
p
p的二进制表示位数。)

Rescue over
F
p
m
\mathbb{F}_p^m
Fpm carries
m
m
m field element as its state which goes through a nonlinear operation, an MDS matrix
M
M
M, and a key injection in each step。
Rescue中每一个round分为2个step:

详细的Rescue算法实现为:

Rescue的key schedule为:

6. AIR constraints for ZK-STARK
Algebraic Intermediate Representation (AIR) constraints。
接下来对比将Vision、Rescue、MiMC表示为AIR constraints的性能:

7. 基于R1CS的Zero-Knowledge Proof
对比将Vision、Rescue、MiMC表示为R1CS的性能:

8. 借助masked operation用于MPC
借助masked operation将Vision、Rescue、MiMC用于MPC,相应的性能对比为:

本文详细探讨了Rijndael-128的S-Box优化,特别是SubBytes和SubWords,以及MiMC、Vision和Rescue加密算法的构造与特性。重点在于这些算法在Sponge结构、AES-128的改进和零知识证明(ZK-STARK和R1CS)中的性能对比。讨论了基于F2n/mm和Fp的加密技术,并涉及MPC中的masked operation应用。
1999

被折叠的 条评论
为什么被折叠?



