目录

机器学习模型谱系图,聚焦于 生成式模型(Generative Models) 与 判别式模型(Discriminative Models) 的基本分类逻辑。
一、总览:生成式 vs 判别式
核心问题:
给定输入特征 x,预测输出 y
模型思路有两种:
| 类别 | 目标 | 表达形式 | 举例 |
| 生成式模型 | 建模联合概率分布 P(x,y) | 使用贝叶斯法则推导 (P(y | x)) |
| 判别式模型 | 直接建模条件概率 (P(y | x)) 或决策边界 | 学习 y 和 x 的映射关系 |
二、生成式模型支系
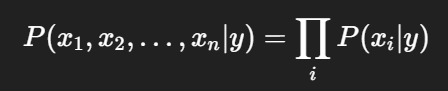
1.朴素贝叶斯(Naive Bayes)
-
假设条件独立性:

-
推理目标:最大后验概率(MAP)
2.隐马尔可夫模型(HMM)
-
建模序列数据:状态转移 + 观测发射
-
常用于语音识别、词性标注等
3.有向概率图模型(贝叶斯网络)
-
图结构描述因果或条件依赖关系
-
包括 HMM 和朴素贝叶斯等模型

最低0.47元/天 解锁文章
1741

被折叠的 条评论
为什么被折叠?



