最小二乘法介绍✨
最小二乘法(Least Squares Method)是一种常见的数学优化技术,广泛应用于数据拟合、回归分析和参数估计等领域。其目标是通过最小化残差平方和来找到一组参数,使得模型预测值与观测值之间的差异最小化。
最小二乘法的原理✨
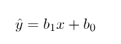
线性回归模型将因变量 (y) 与至少一个自变量 (x) 之间的关系建立为:

在 OLS 方法中,我们必须选择一个b1和b0的值,以便将 y 的实际值和拟合值之间的差值的平方和最小化。
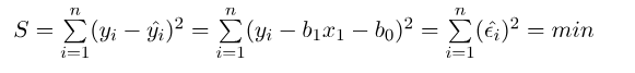
平方和的公式如下:

我们可以把它看成是一个关于b1和b0的函数,分别对b1和b0求偏导,然后让偏导等于0,就可以得到最小平方和对应的b1和b0的值。
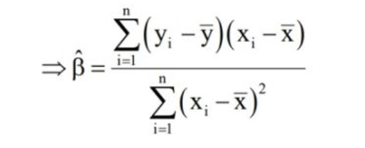
先说结果,斜率最后推导出来如下所示:

截距推导出来结果如下:

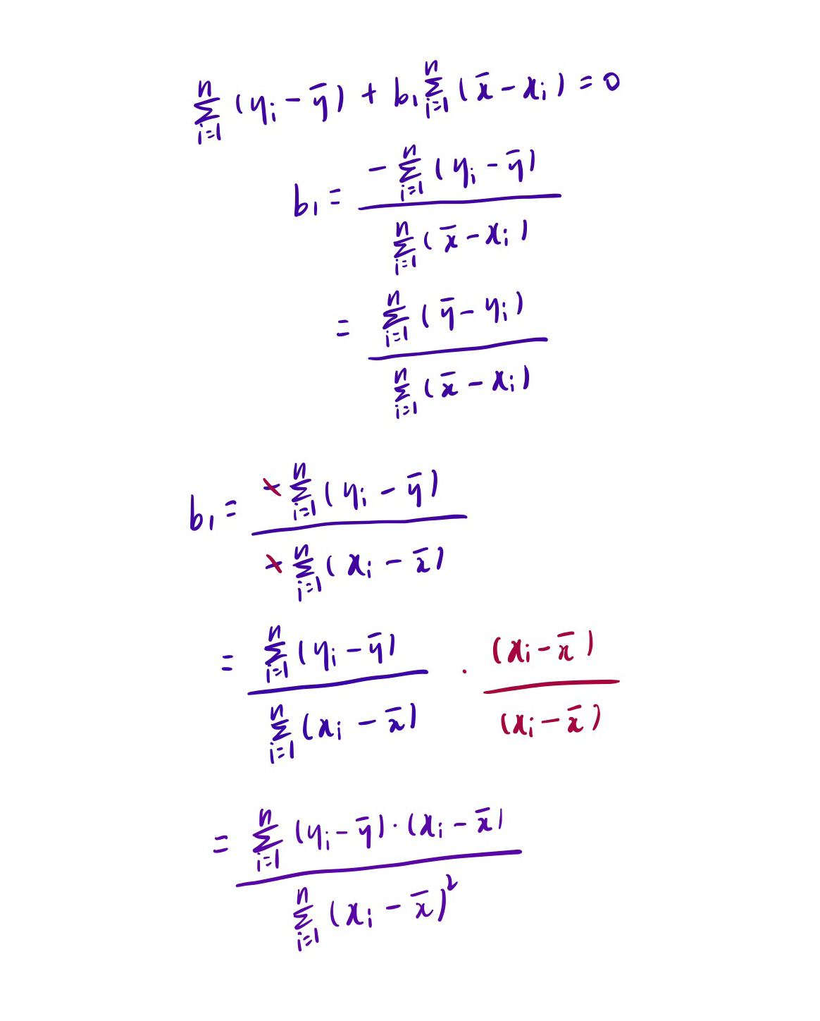
don’t worry about that,慢慢推导总是可以弄明白的(不感兴趣可以直接略过):



用C#实现最小二乘法✨
创建数据点✨
首先创建想要拟合的数据点:
NDArray? x, y;
x,y为全局变量。
//使用NumSharp创建线性回归的数据集
x = np.arange(0, 10, 0.2);
y = 2 * x + 3 + np.random.normal(0, 3, x.size);
使用到了NumSharp,需要为项目添加NumSharp包:

x = np.arange(0, 10, 0.2);
的意思是x从0增加到10(不包含10),步长为0.2:

np.random.normal(0, 3, x.size);
的意思是生成了一个均值为0,标准差为3,数量与x数组长度相同的正态分布随机数数组。这个数组被用作线性回归数据的噪声。
使用OxyPlot画散点图✨
OxyPlot是一个用于在.NET应用程序中创建数据可视化图表的开源图表库。它提供了丰富的功能和灵活性,使开发者能够轻松地在其应用程序中集成各种类型的图表,包括折线图、柱状图、饼图等。

添加OxyPlot.WindowsForms包:

将PlotView控件添加到窗体设计器上:

// 初始化散点图数据
var scatterSeries = new ScatterSeries
{
MarkerType = MarkerType.Circle,
MarkerSize = 5,
MarkerFill = OxyColors.Blue
};
表示标志为圆形,标志用蓝色填充,标志的大小为5。
for (int i = 0; i < x.size; i++)
{
scatterSeries.Points.Add(new ScatterPoint(x[i], y[i]));
}
添加数据点。
PlotModel? plotModel;
将plotModel设置为全局变量。
// 创建 PlotModel
plotModel = new PlotModel()
{
Title = "散点图"
};
plotModel.Series.

本文详细介绍了最小二乘法的概念、原理,展示了如何在C#中使用NumSharp进行数据处理和OxyPlot绘制散点图及拟合直线,还给出了Python版本的实现过程。
最低0.47元/天 解锁文章

被折叠的 条评论
为什么被折叠?



