matplotlib使用基础
快速绘图
import numpy as np
import matplotlib.pyplot as plt
x = np.linspace(1,10,1000)
y = np.sin(x)
print("x"+str(x)+'\n'+"y"+str(y))
z = np.cos(x**2)
plt.figure(figsize=(8,4))
plt.plot(x,y,label="$sin(x)$",color="red",linewidth=2)
plt.plot(x,z,"b--",label="$cos(x^2)$")
plt.xlabel("Time(s)")
plt.ylabel("Volt")
plt.title("PyPlot First Example")
plt.ylim((-1.2,1.2))#设置坐标轴的上下限
plt.legend()#显示图例
plt.savefig("test.png",dpi=120)#保存图表,分辨率按照120,默认是100
plt.show()

主要函数解析
plt.plot()
- 参数一:x轴坐标
- 参数二:y轴坐标
- color:颜色,例如(#ff0000)
- label:图例的文本,$为LaTeX表达式的语法,文本经LaTeX引擎渲染
- linewidth:指定曲线的宽度
绘制多个子图
plt.figure(1)#创建图表1
plt.figure(2)#创建图表2
ax1 = plt.subplot(211)#在图表2创建子图1
ax2 = plt.subplot(212)#在图表2创建子图2
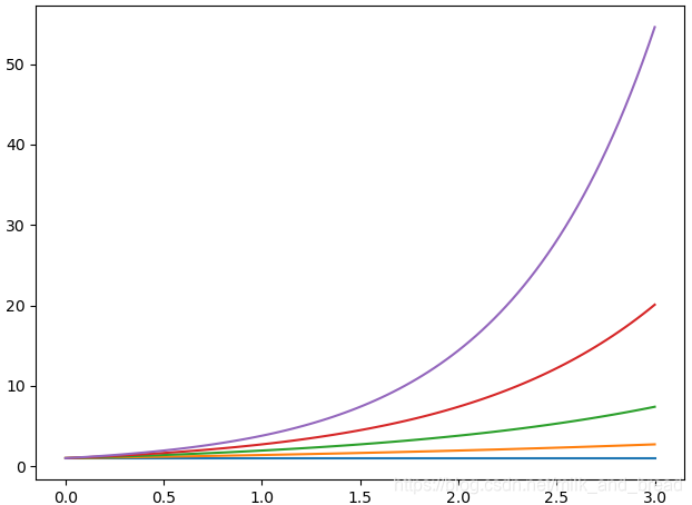
x = np.linspace(0,3,100)
for i in range(5):
plt.figure(1)#选择图表1
plt.plot(x,np.exp(i*x/3))
plt.sca(ax1)#选择图表2的子图1
plt.plot(x,np.sin(i*x))
plt.sca(ax2)#选择图表2的子图2
plt.plot(x,np.cos(i*x))
plt.show()
图表1
图表2
figure()创建一个Figure(图表)对象,默认dpi = 80,
- figsize=(8,6)即为图的大小为80*80 × 6*80
plt.subplot()用于绘制子图
- 参数一:图表的整个区域划分出多少行,行数
- 参数二:图表的整个区域划分出多少列,列数
- 参数三:按顺序对每一个划分的区域编号
- 参数可以合并写,subplot(211)等价于subplot(2,1,1)
Matplotlib绘图教程
本文详细介绍Matplotlib的基础用法,包括快速绘图、设置图例、调整坐标轴、绘制子图等技巧。通过实例演示如何使用plt.plot绘制正弦和余弦曲线,设置颜色、宽度和图例,同时展示如何在不同子图中绘制指数、正弦和余弦函数。
1万+

被折叠的 条评论
为什么被折叠?



