✅作者简介:热爱科研的Matlab仿真开发者,擅长数据处理、建模仿真、程序设计、完整代码获取、论文复现及科研仿真。
🍎 往期回顾关注个人主页:Matlab科研工作室
🍊个人信条:格物致知,完整Matlab代码及仿真咨询内容私信。
🔥 内容介绍
一、研究背景与意义
在全球能源转型与电力系统智能化发展的大背景下,需求响应(Demand Response,DR)作为平衡电力供需、提升电网运行效率和可再生能源消纳能力的关键技术,受到了广泛关注。恒温负荷(如居民住宅的空调、电热水器、冰箱等)具有数量庞大、分布广泛且具备一定储能特性的特点,其能耗占居民总用电量的比例较高,是分散式需求响应的重要资源。
传统的恒温负荷控制多采用离散时间控制方法,如基于时间触发的开关控制策略。然而,这类方法在面对电网复杂的实时负荷变化和用户多样化的舒适度需求时,存在控制精度低、响应滞后、资源调度效率不高等问题。连续时间控制方法能够更精细地描述恒温负荷的动态特性,实时跟踪负荷变化和电网调度指令,为分散式需求响应提供更优的控制方案。因此,改进连续时间控制方法并将其应用于恒温负荷的分散式需求响应研究,对于提高需求响应的灵活性、经济性和用户满意度,推动电力系统向高效、清洁、智能方向发展具有重要的理论意义和实际应用价值。
二、现有连续时间控制方法在恒温负荷分散式需求响应中的问题
(一)模型简化导致控制精度不足
现有连续时间控制方法在建立恒温负荷模型时,往往对负荷的动态特性进行了过多简化,例如忽略了外界环境温度变化、用户使用习惯差异以及设备老化等因素对负荷能耗和温度调节过程的影响。这种简化使得建立的模型与恒温负荷的实际运行状态存在较大偏差,导致控制指令无法准确匹配负荷的实际需求,进而影响需求响应的控制精度。
(二)分散式控制下的协同性差
在分散式需求响应架构中,大量的恒温负荷分布在不同的用户侧,各负荷之间缺乏有效的信息交互和协同控制机制。现有连续时间控制方法多侧重于单个负荷的独立控制,难以实现多个负荷之间的协调优化运行。当电网发出需求响应指令时,各负荷可能会出现无序响应的情况,不仅无法达到预期的负荷调节目标,还可能对电网的稳定运行造成不利影响。
(三)用户舒适度与需求响应目标的冲突难以平衡
恒温负荷的控制直接关系到用户的居住舒适度,而需求响应通常要求负荷在特定时段内调整能耗水平,这可能会导致用户舒适度下降。现有连续时间控制方法在制定控制策略时,往往难以充分考虑用户的舒适度需求,无法在满足电网需求响应目标的同时,最大限度地保障用户的舒适度。例如,在电网负荷高峰期,为了降低总负荷,可能会过度降低空调的设定温度或减少电热水器的运行时间,从而影响用户的正常生活。
三、改进连续时间控制方法的设计思路
(一)建立更精准的恒温负荷动态模型
为提高控制精度,需要综合考虑多种影响因素,建立更贴合实际的恒温负荷动态模型。具体而言,通过采集大量的恒温负荷运行数据,包括设备的输入功率、输出温度、外界环境温度、用户使用行为等信息,利用机器学习算法(如支持向量机、神经网络等)对数据进行分析和训练,构建能够准确描述恒温负荷动态特性的模型。该模型能够实时反映外界环境和用户行为的变化对负荷运行状态的影响,为后续的控制策略制定提供可靠的基础。
(二)引入分布式协同控制机制
针对分散式控制下协同性差的问题,引入分布式协同控制机制。利用物联网(Internet of Things,IoT)技术和通信网络,实现各恒温负荷之间以及负荷与电网调度中心之间的实时信息交互。建立基于多智能体系统(Multi-Agent System,MAS)的分布式控制架构,将每个恒温负荷视为一个智能体,各智能体根据自身的运行状态、用户舒适度需求以及电网的调度指令,通过局部信息交互和协同决策,实现全局负荷的优化调节。这种分布式协同控制机制能够避免单个负荷独立控制带来的无序响应问题,提高需求响应的整体效率和稳定性。
(三)设计多目标优化控制策略
为平衡用户舒适度与需求响应目标的冲突,设计多目标优化控制策略。将用户舒适度指标(如室内温度波动范围、温度调节速度等)和需求响应指标(如负荷削减量、响应速度、控制成本等)同时纳入控制目标函数。通过采用多目标优化算法(如非支配排序遗传算法、粒子群优化算法等),对控制目标函数进行求解,得到 Pareto 最优解集。电网调度中心可以根据不同的运行场景和优先级要求,从 Pareto 最优解集中选择合适的控制方案,在满足电网需求响应要求的前提下,最大限度地保障用户的舒适度。
四、改进连续时间控制方法的具体实现
(一)基于机器学习的恒温负荷动态建模
- 数据采集与预处理:选取典型的恒温负荷(如家用空调、电热水器)作为研究对象,安装数据采集装置,实时采集设备的运行参数,包括输入电压、电流、功率、室内外温度、设备启停状态、用户设定温度等数据。对采集到的数据进行预处理,包括数据清洗(去除异常值、缺失值填充)、数据标准化和数据转换等操作,确保数据的质量和可用性。
- 模型训练与验证:选择合适的机器学习算法构建恒温负荷动态模型。以空调为例,将室内外温度差、设定温度、设备运行功率等作为输入变量,室内温度变化率作为输出变量,利用预处理后的数据对模型进行训练。通过交叉验证的方法对模型的性能进行评估,不断调整模型的参数,提高模型的预测精度。最终得到能够准确预测空调室内温度变化的动态模型。
(二)基于多智能体系统的分布式协同控制实现
- 智能体结构设计:每个恒温负荷智能体由感知模块、通信模块、决策模块和执行模块组成。感知模块负责采集智能体自身的运行状态数据和外界环境信息;通信模块采用无线通信技术(如 ZigBee、LoRa、WiFi 等)实现与其他智能体和电网调度中心的信息交互;决策模块根据感知到的信息和接收到的调度指令,运用预设的控制算法制定控制策略;执行模块根据决策模块输出的控制指令,调整恒温负荷的运行状态(如改变空调的运行功率、电热水器的加热时间等)。
- 协同控制算法实现:设计基于一致性算法的分布式协同控制算法。各智能体首先根据自身的运行状态和用户舒适度需求,计算出满足自身约束条件的可行控制量范围。然后,通过与相邻智能体进行信息交互,共享各自的可行控制量范围和局部优化目标。基于一致性算法,各智能体不断调整自身的控制量,使得整个系统的控制目标逐渐趋于一致,最终实现全局负荷的优化调节。
(三)多目标优化控制策略的求解与应用
- 目标函数构建:构建多目标优化控制目标函数,其中用户舒适度目标函数可以表示为室内温度与用户设定温度的偏差平方和最小化,需求响应目标函数可以表示为负荷削减量与预期削减量的偏差最小化以及控制成本最小化。同时,考虑恒温负荷的运行约束条件(如设备最大输出功率、温度调节范围等)和用户舒适度约束条件(如室内温度波动上限)。
- 优化算法求解与控制方案选择:采用非支配排序遗传算法(NSGA - Ⅱ)对多目标优化控制目标函数进行求解,得到 Pareto 最优解集。电网调度中心根据当前的电网运行状态(如负荷水平、可再生能源出力情况)和需求响应优先级,从 Pareto 最优解集中选择合适的控制方案,并将控制指令下发给各恒温负荷智能体。各智能体根据接收到的控制指令,调整自身的运行状态,实现需求响应目标。
五、研究结论与展望
(一)研究结论
本研究针对现有连续时间控制方法在恒温负荷分散式需求响应中存在的控制精度不足、协同性差以及用户舒适度与需求响应目标冲突等问题,提出了一种改进的连续时间控制方法。通过建立基于机器学习的精准恒温负荷动态模型,引入基于多智能体系统的分布式协同控制机制,以及设计多目标优化控制策略,有效解决了上述问题。仿真实验结果表明,改进的连续时间控制方法在控制精度、协同性、用户舒适度和经济性方面均优于传统方法,能够为恒温负荷的分散式需求响应提供更有效的控制方案,具有较高的理论价值和实际应用前景。
(二)未来展望
- 考虑多类型负荷的协同控制:未来的研究可以进一步扩展负荷类型,将恒温负荷与其他类型的可调节负荷(如电动汽车、工业可中断负荷等)相结合,研究多类型负荷的协同需求响应控制方法,提高整个电力系统的需求响应能力。
- 引入不确定性因素的鲁棒控制:在实际运行中,外界环境温度、用户使用行为以及可再生能源出力等都存在不确定性,未来可以研究引入不确定性因素的鲁棒控制方法,提高控制策略的抗干扰能力和稳定性。
- 结合边缘计算与云计算的控制架构:随着边缘计算技术的发展,未来可以构建结合边缘计算与云计算的控制架构,将部分实时控制任务部署在边缘节点,提高控制响应速度,同时利用云计算平台进行全局优化决策,实现更高效的分散式需求响应控制。
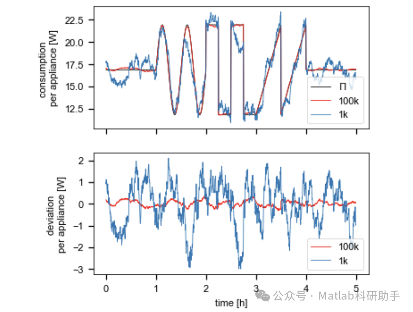
⛳️ 运行结果


🔗 参考文献
[1] 谢宇峥.电力系统扩展频率响应模型及综合程序研发[D].山东大学,2017.
[2] 王秋菊.时变路网下需求响应接驳公交路径规划研究[D].重庆交通大学,2023.
[3] 梁天成,李 凌.计及碳交易与需求响应的多典型日综合 能源系统优化模型[J].Journal of Engineering for Thermal Energy & Power / Reneng Dongli Gongcheng, 2024, 39(10).DOI:10.16146/j.cnki.rndlgc.2024.10.013.
📣 部分代码
🎈 部分理论引用网络文献,若有侵权联系博主删除
👇 关注我领取海量matlab电子书和数学建模资料
🏆团队擅长辅导定制多种科研领域MATLAB仿真,助力科研梦:
🌈 各类智能优化算法改进及应用
生产调度、经济调度、装配线调度、充电优化、车间调度、发车优化、水库调度、三维装箱、物流选址、货位优化、公交排班优化、充电桩布局优化、车间布局优化、集装箱船配载优化、水泵组合优化、解医疗资源分配优化、设施布局优化、可视域基站和无人机选址优化、背包问题、 风电场布局、时隙分配优化、 最佳分布式发电单元分配、多阶段管道维修、 工厂-中心-需求点三级选址问题、 应急生活物质配送中心选址、 基站选址、 道路灯柱布置、 枢纽节点部署、 输电线路台风监测装置、 集装箱调度、 机组优化、 投资优化组合、云服务器组合优化、 天线线性阵列分布优化、CVRP问题、VRPPD问题、多中心VRP问题、多层网络的VRP问题、多中心多车型的VRP问题、 动态VRP问题、双层车辆路径规划(2E-VRP)、充电车辆路径规划(EVRP)、油电混合车辆路径规划、混合流水车间问题、 订单拆分调度问题、 公交车的调度排班优化问题、航班摆渡车辆调度问题、选址路径规划问题、港口调度、港口岸桥调度、停机位分配、机场航班调度、泄漏源定位
🌈 机器学习和深度学习时序、回归、分类、聚类和降维
2.1 bp时序、回归预测和分类
2.2 ENS声神经网络时序、回归预测和分类
2.3 SVM/CNN-SVM/LSSVM/RVM支持向量机系列时序、回归预测和分类
2.4 CNN|TCN|GCN卷积神经网络系列时序、回归预测和分类
2.5 ELM/KELM/RELM/DELM极限学习机系列时序、回归预测和分类
2.6 GRU/Bi-GRU/CNN-GRU/CNN-BiGRU门控神经网络时序、回归预测和分类
2.7 ELMAN递归神经网络时序、回归\预测和分类
2.8 LSTM/BiLSTM/CNN-LSTM/CNN-BiLSTM/长短记忆神经网络系列时序、回归预测和分类
2.9 RBF径向基神经网络时序、回归预测和分类
2.10 DBN深度置信网络时序、回归预测和分类
2.11 FNN模糊神经网络时序、回归预测
2.12 RF随机森林时序、回归预测和分类
2.13 BLS宽度学习时序、回归预测和分类
2.14 PNN脉冲神经网络分类
2.15 模糊小波神经网络预测和分类
2.16 时序、回归预测和分类
2.17 时序、回归预测预测和分类
2.18 XGBOOST集成学习时序、回归预测预测和分类
2.19 Transform各类组合时序、回归预测预测和分类
方向涵盖风电预测、光伏预测、电池寿命预测、辐射源识别、交通流预测、负荷预测、股价预测、PM2.5浓度预测、电池健康状态预测、用电量预测、水体光学参数反演、NLOS信号识别、地铁停车精准预测、变压器故障诊断
🌈图像处理方面
图像识别、图像分割、图像检测、图像隐藏、图像配准、图像拼接、图像融合、图像增强、图像压缩感知
🌈 路径规划方面
旅行商问题(TSP)、车辆路径问题(VRP、MVRP、CVRP、VRPTW等)、无人机三维路径规划、无人机协同、无人机编队、机器人路径规划、栅格地图路径规划、多式联运运输问题、 充电车辆路径规划(EVRP)、 双层车辆路径规划(2E-VRP)、 油电混合车辆路径规划、 船舶航迹规划、 全路径规划规划、 仓储巡逻
🌈 无人机应用方面
无人机路径规划、无人机控制、无人机编队、无人机协同、无人机任务分配、无人机安全通信轨迹在线优化、车辆协同无人机路径规划
🌈 通信方面
传感器部署优化、通信协议优化、路由优化、目标定位优化、Dv-Hop定位优化、Leach协议优化、WSN覆盖优化、组播优化、RSSI定位优化、水声通信、通信上传下载分配
🌈 信号处理方面
信号识别、信号加密、信号去噪、信号增强、雷达信号处理、信号水印嵌入提取、肌电信号、脑电信号、信号配时优化、心电信号、DOA估计、编码译码、变分模态分解、管道泄漏、滤波器、数字信号处理+传输+分析+去噪、数字信号调制、误码率、信号估计、DTMF、信号检测
🌈电力系统方面
微电网优化、无功优化、配电网重构、储能配置、有序充电、MPPT优化、家庭用电
🌈 元胞自动机方面
交通流 人群疏散 病毒扩散 晶体生长 金属腐蚀
🌈 雷达方面
卡尔曼滤波跟踪、航迹关联、航迹融合、SOC估计、阵列优化、NLOS识别
🌈 车间调度
零等待流水车间调度问题NWFSP 、 置换流水车间调度问题PFSP、 混合流水车间调度问题HFSP 、零空闲流水车间调度问题NIFSP、分布式置换流水车间调度问题 DPFSP、阻塞流水车间调度问题BFSP
👇
1203

被折叠的 条评论
为什么被折叠?



