✅作者简介:热爱科研的Matlab仿真开发者,擅长数据处理、建模仿真、程序设计、完整代码获取、论文复现及科研仿真。
🍎 往期回顾关注个人主页:Matlab科研工作室
🍊个人信条:格物致知,完整Matlab代码及仿真咨询内容私信。
🔥 内容介绍
在无线通信领域,信号在传输过程中会受到各种信道衰落的影响,其中瑞利衰落信道是一种常见的多径衰落信道模型,广泛存在于城市移动通信、室内通信等场景中。在瑞利衰落信道下,信号幅度服从瑞利分布,导致接收信号强度剧烈波动,严重影响通信质量和系统性能。为了对抗衰落,中继技术应运而生,通过在发送端和接收端之间设置中继节点,对信号进行转发和处理,能够有效扩展通信覆盖范围、提高信号传输质量。
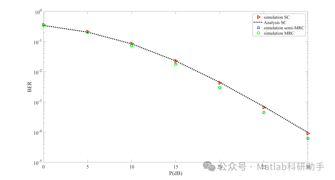
差分放大转发(DAF)中继作为一种常见的中继协议,无需获取信道状态信息(CSI),简化了系统设计,在实际应用中具有较强的可行性。然而,单一中继的性能提升有限,且在瑞利衰落信道下,中继链路的质量也会受到衰落影响而不稳定。选择合并(Selection Combining,SC)技术作为一种有效的分集接收技术,通过从多个可用链路中选择质量最优的链路进行信号接收,能够进一步对抗衰落,提高系统的可靠性。因此,将选择合并技术应用于差分放大转发中继系统,在瑞利衰落信道上构建高性能的通信系统,具有重要的研究价值和实际意义。
二、系统模型构建


三、选择合并在系统中的性能分析

3.3 分集增益分析
分集增益是指通过分集技术使系统误码率随信噪比增加而下降的速率。在瑞利衰落信道下,无分集时系统的分集增益为 1。对于采用选择合并的差分放大转发中继系统,由于利用了直接链路和中继链路的两个独立衰落路径,其分集增益为 2。这意味着当信噪比增加 10dB 时,采用选择合并技术的系统误码率下降的幅度是无分集系统的 10 倍,极大地提高了系统对抗衰落的能力。
四、结论与展望
将选择合并技术应用于差分放大转发中继系统,在瑞利衰落信道上能够有效利用直接链路和中继链路的分集特性,显著提高系统的抗衰落能力和通信性能。通过理论分析和仿真验证,表明该系统具有更低的平均误码率和更高的分集增益,相比单一链路系统性能提升明显。
未来的研究方向可以从以下几个方面展开:一是考虑多中继场景,研究选择合并技术在多中继差分放大转发系统中的应用,进一步提高系统性能;二是结合其他合并技术(如最大比合并、等增益合并),比较不同合并技术在该系统中的性能差异,为实际应用提供选择依据;三是研究在非理想条件下(如信道估计误差、中继节点噪声放大等)选择合并技术的性能,增强系统的实用性和鲁棒性。通过深入研究,有望推动选择合并技术在差分放大转发中继系统中的广泛应用,为无线通信系统的设计和优化提供重要参考。
⛳️ 运行结果


🔗 参考文献
[1] 娄毅,马永奎,赵洪林,等.差分放大转发系统的选择合并器在Nakagami-m衰落信道下的性能分析[J].华南理工大学学报:自然科学版, 2015(9):6.DOI:10.3969/j.issn.1000-565X.2015.09.009.
[2] 高贞贞,朱世华,徐静.放大转发异步协作通信系统中的差分空时频传输方案[J].西安交通大学学报, 2009, 43(6):6.DOI:10.3321/j.issn:0253-987X.2009.06.014.
[3] 李民政,欧阳缮,肖海林,等.多中继协同的差分宽带通信方法[J].北京邮电大学学报, 2011, 34(4):5.DOI:10.3969/j.issn.1007-5321.2011.04.012.
📣 部分代码
🎈 部分理论引用网络文献,若有侵权联系博主删除
👇 关注我领取海量matlab电子书和数学建模资料
🏆团队擅长辅导定制多种科研领域MATLAB仿真,助力科研梦:
🌈 各类智能优化算法改进及应用
生产调度、经济调度、装配线调度、充电优化、车间调度、发车优化、水库调度、三维装箱、物流选址、货位优化、公交排班优化、充电桩布局优化、车间布局优化、集装箱船配载优化、水泵组合优化、解医疗资源分配优化、设施布局优化、可视域基站和无人机选址优化、背包问题、 风电场布局、时隙分配优化、 最佳分布式发电单元分配、多阶段管道维修、 工厂-中心-需求点三级选址问题、 应急生活物质配送中心选址、 基站选址、 道路灯柱布置、 枢纽节点部署、 输电线路台风监测装置、 集装箱调度、 机组优化、 投资优化组合、云服务器组合优化、 天线线性阵列分布优化、CVRP问题、VRPPD问题、多中心VRP问题、多层网络的VRP问题、多中心多车型的VRP问题、 动态VRP问题、双层车辆路径规划(2E-VRP)、充电车辆路径规划(EVRP)、油电混合车辆路径规划、混合流水车间问题、 订单拆分调度问题、 公交车的调度排班优化问题、航班摆渡车辆调度问题、选址路径规划问题、港口调度、港口岸桥调度、停机位分配、机场航班调度、泄漏源定位
🌈 机器学习和深度学习时序、回归、分类、聚类和降维
2.1 bp时序、回归预测和分类
2.2 ENS声神经网络时序、回归预测和分类
2.3 SVM/CNN-SVM/LSSVM/RVM支持向量机系列时序、回归预测和分类
2.4 CNN|TCN|GCN卷积神经网络系列时序、回归预测和分类
2.5 ELM/KELM/RELM/DELM极限学习机系列时序、回归预测和分类
2.6 GRU/Bi-GRU/CNN-GRU/CNN-BiGRU门控神经网络时序、回归预测和分类
2.7 ELMAN递归神经网络时序、回归\预测和分类
2.8 LSTM/BiLSTM/CNN-LSTM/CNN-BiLSTM/长短记忆神经网络系列时序、回归预测和分类
2.9 RBF径向基神经网络时序、回归预测和分类
2.10 DBN深度置信网络时序、回归预测和分类
2.11 FNN模糊神经网络时序、回归预测
2.12 RF随机森林时序、回归预测和分类
2.13 BLS宽度学习时序、回归预测和分类
2.14 PNN脉冲神经网络分类
2.15 模糊小波神经网络预测和分类
2.16 时序、回归预测和分类
2.17 时序、回归预测预测和分类
2.18 XGBOOST集成学习时序、回归预测预测和分类
2.19 Transform各类组合时序、回归预测预测和分类
方向涵盖风电预测、光伏预测、电池寿命预测、辐射源识别、交通流预测、负荷预测、股价预测、PM2.5浓度预测、电池健康状态预测、用电量预测、水体光学参数反演、NLOS信号识别、地铁停车精准预测、变压器故障诊断
🌈图像处理方面
图像识别、图像分割、图像检测、图像隐藏、图像配准、图像拼接、图像融合、图像增强、图像压缩感知
🌈 路径规划方面
旅行商问题(TSP)、车辆路径问题(VRP、MVRP、CVRP、VRPTW等)、无人机三维路径规划、无人机协同、无人机编队、机器人路径规划、栅格地图路径规划、多式联运运输问题、 充电车辆路径规划(EVRP)、 双层车辆路径规划(2E-VRP)、 油电混合车辆路径规划、 船舶航迹规划、 全路径规划规划、 仓储巡逻
🌈 无人机应用方面
无人机路径规划、无人机控制、无人机编队、无人机协同、无人机任务分配、无人机安全通信轨迹在线优化、车辆协同无人机路径规划
🌈 通信方面
传感器部署优化、通信协议优化、路由优化、目标定位优化、Dv-Hop定位优化、Leach协议优化、WSN覆盖优化、组播优化、RSSI定位优化、水声通信、通信上传下载分配
🌈 信号处理方面
信号识别、信号加密、信号去噪、信号增强、雷达信号处理、信号水印嵌入提取、肌电信号、脑电信号、信号配时优化、心电信号、DOA估计、编码译码、变分模态分解、管道泄漏、滤波器、数字信号处理+传输+分析+去噪、数字信号调制、误码率、信号估计、DTMF、信号检测
🌈电力系统方面
微电网优化、无功优化、配电网重构、储能配置、有序充电、MPPT优化、家庭用电
🌈 元胞自动机方面
交通流 人群疏散 病毒扩散 晶体生长 金属腐蚀
🌈 雷达方面
卡尔曼滤波跟踪、航迹关联、航迹融合、SOC估计、阵列优化、NLOS识别
🌈 车间调度
零等待流水车间调度问题NWFSP 、 置换流水车间调度问题PFSP、 混合流水车间调度问题HFSP 、零空闲流水车间调度问题NIFSP、分布式置换流水车间调度问题 DPFSP、阻塞流水车间调度问题BFSP
👇

被折叠的 条评论
为什么被折叠?



