✅作者简介:热爱科研的Matlab仿真开发者,擅长数据处理、建模仿真、程序设计、完整代码获取、论文复现及科研仿真。
🍎 往期回顾关注个人主页:Matlab科研工作室
🍊个人信条:格物致知,完整Matlab代码及仿真咨询内容私信。
🔥 内容介绍
阵列信号处理作为现代雷达、通信、声纳等领域的核心技术,其根本目标在于有效利用空间维度信息,实现信号的增强、干扰的抑制以及目标的定位与跟踪。在众多阵列处理算法中,空间匹配滤波器、最佳波束成形器以及样本矩阵反演(SMI)方法因其在性能和实现上的特点而备受关注。本文将深入探讨这三种方法的基本原理、数学模型、性能特点及其相互之间的联系与区别,旨在为读者提供一个系统性的理解。
引言:阵列信号处理的挑战与机遇
在实际应用中,阵列接收到的信号往往是目标信号与各种噪声和干扰的叠加。这些噪声和干扰可能来自不同的空间方向,且其统计特性往往是未知或变化的。如何设计有效的空间滤波器,最大化目标信号的输出功率,同时最小化噪声和干扰的贡献,是阵列信号处理面临的关键挑战。传统的单天线处理方法无法利用信号的空间差异性,而阵列处理则通过对不同阵元接收到的信号进行加权组合,形成具有特定空间指向性的“波束”,从而实现对感兴趣信号的增强和对非感兴趣信号的抑制。
第一章:空间匹配滤波器(Spatial Matched Filter)
空间匹配滤波器是阵列信号处理中最基本的一种空间滤波方法。其核心思想在于,当目标信号的空间方向已知时,设计一组权向量,使得阵列对该方向的信号响应达到最大。借鉴通信领域匹配滤波器的概念,空间匹配滤波器旨在将接收到的阵列信号与期望的目标信号空间响应进行“匹配”。
1.2 性能分析
空间匹配滤波器的主要优点是其简单性,只需要知道目标信号的来波方向。在仅存在高斯白噪声的情况下,空间匹配滤波器能够实现最大的信噪比(SNR)增益,这是由匹配滤波器的性质决定的。SNR增益与阵元数目 MM 成正比。
然而,空间匹配滤波器存在明显的局限性。它对干扰信号是透明的,也就是说,它无法有效地抑制来自其他方向的干扰。当存在强干扰时,即使目标信号方向已知,匹配滤波器的输出信噪比也会显著下降,甚至可能被干扰淹没。此外,如果目标信号的来波方向存在误差,匹配滤波器的性能也会随之下降。
1.3 应用场景
空间匹配滤波器适用于噪声占主导地位,且干扰信号较弱或不存在的场景。例如,在简单的目标探测任务中,如果可以精确估计目标方向,空间匹配滤波器可以提供良好的性能。它也常被用作更复杂算法的初始步骤或基线。
第二章:锥形与非锥形最佳波束成形器(Steered and Unsteered Optimal Beamformer)
为了克服空间匹配滤波器无法抑制干扰的缺点,最佳波束成形器应运而生。最佳波束成形器旨在设计权向量,以最优的方式组合阵列接收到的信号,从而在目标方向形成主瓣,同时在干扰方向形成零陷,实现对目标信号的最大增强和对干扰信号的最大抑制。根据是否将波束指向特定方向,最佳波束成形器可以分为锥形(Steered)和非锥形(Unsteered)两种。
2.1 锥形最佳波束成形器
锥形最佳波束成形器,也称为指向性最佳波束成形器,其优化目标是在某个指定的方向(通常是目标方向)保持单位增益或恒定增益,同时最小化输出的总功率(包括噪声和干扰)。最经典的锥形最佳波束成形器是最小方差无畸变响应(Minimum Variance Distortionless Response, MVDR)波束成形器。
2.1.1 性能分析
MVDR波束成形器能够有效地抑制强干扰,即使干扰功率远大于目标信号功率。其性能主要取决于对协方差矩阵的估计精度以及目标方向信息的准确性。在存在强干扰的情况下,MVDR的输出信噪比通常远高于空间匹配滤波器。然而,MVDR对目标方向的误差非常敏感。如果目标方向估计不准确,可能会导致主瓣偏离,甚至在目标方向形成零陷,从而严重恶化性能。此外,协方差矩阵的求逆计算复杂度较高,尤其对于大规模阵列。
2.1.2 应用场景
MVDR波束成形器广泛应用于存在强干扰的环境中,例如雷达对抗、通信系统中的多用户干扰抑制等。它要求对目标方向有较好的先验知识或能够进行精确估计。
2.2 非锥形最佳波束成形器
非锥形最佳波束成形器不预设特定的指向方向,而是通过某种最优准则来计算权向量。最典型的非锥形最佳波束成形器是最小均方误差(Minimum Mean Square Error, MMSE)波束成形器,也称为维纳(Wiener)波束成形器。
2.2.1 性能分析
MMSE波束成形器在最小化均方误差的准则下是统计最优的。它能够同时抑制噪声和干扰,并且在输出端最大化信噪比。与MVDR类似,MMSE的性能也依赖于协方差矩阵的准确估计。与锥形波束成形器不同的是,MMSE不直接要求目标方向信息,而是需要关于期望信号的先验信息(例如期望信号的波形或统计特性),并通过互相关计算来获得。然而,在很多实际应用中,期望信号的波形是未知的,这限制了MMSE的直接应用。通常,人们会将MMSE的准则应用于期望信号已知其空间响应的情况,此时MMSE和MVDR是等价的。
2.2.2 应用场景
MMSE波束成形器在理论上是最优的,适用于需要精确恢复目标信号波形的场景,例如通信接收机。然而,由于对期望信号信息的依赖,其在实际应用中通常需要进行变体或结合其他技术(如盲信号分离)来实现。
第三章:空间匹配滤波器、最佳波束成形器、SMI 的联系与区别
这三种方法在阵列信号处理中扮演着不同的角色,且存在一定的联系与区别。
3.1 联系
- 共同目标:
它们都旨在通过对阵列接收信号进行加权组合来实现空间滤波。
- 最佳波束成形器的基础:
空间匹配滤波器可以看作是最佳波束成形器在仅存在白噪声情况下的特例。
- SMI 对最佳波束成形器的实现:
SMI是一种从实际数据中估计协方差矩阵,进而实现最佳波束成形器(如MVDR和MMSE)的实用方法。
第四章:进一步的研究方向与挑战
尽管上述方法在阵列信号处理中取得了巨大的成功,但仍存在一些挑战和进一步研究的方向:
- 低快拍下的性能提升:
在样本数目不足的情况下,SMI方法的性能下降是一个重要问题。研究如何在高斯白噪声以外的干扰环境下,利用结构先验信息或采用正则化技术来提高低快拍下的协方差矩阵估计精度,进而提升波束成形性能,是当前的研究热点。
- 鲁棒性设计:
目标方向误差、阵列模型误差等都会影响波束成形器的性能。研究如何设计对这些误差具有鲁棒性的波束成形算法是重要的。这包括基于最坏情况准则的鲁棒波束成形、基于不确定集的鲁棒波束成形等。
- 宽带信号处理:
上述讨论主要集中在窄带信号。对于宽带信号,由于不同频率成分的来波方向和传播特性不同,需要采用不同的处理技术,例如基于子带分解的波束成形、时延-求和波束成形等。
- 计算效率优化:
对于大规模阵列,协方差矩阵求逆的计算量巨大。研究如何采用低复杂度算法,例如基于迭代的方法、稀疏表示技术等,来降低计算负担,实现实时处理。
- 非平稳信号和非高斯噪声处理:
实际环境中的信号和噪声往往是非平稳和非高斯的。研究如何设计适用于这些复杂环境的波束成形算法是具有挑战性的。
- 与深度学习的结合:
近年来,深度学习在各个领域取得了显著进展。研究如何将深度学习技术应用于阵列信号处理,例如用于波束权向量的直接学习、干扰源的识别与抑制等,有望带来新的突破。
结论
空间匹配滤波器、最佳波束成形器(锥形和非锥形)以及样本矩阵反演是阵列信号处理中至关重要的概念和技术。空间匹配滤波器简单易用,但在存在干扰时性能受限。最佳波束成形器通过优化准则实现对干扰的有效抑制,提供了更优越的性能。SMI则是一种实用的方法,使得最佳波束成形器能够在实际数据驱动下实现自适应。理解它们的基本原理、性能特点以及相互关系,对于选择合适的算法解决具体的阵列信号处理问题至关重要。未来的研究将继续致力于克服现有方法的局限性,以应对日益复杂的信号环境和不断增长的应用需求。
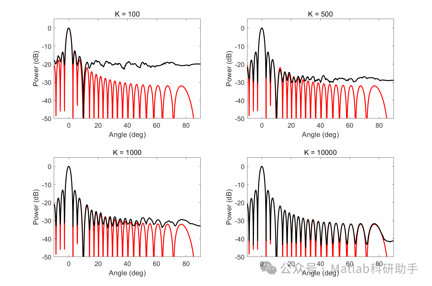
⛳️ 运行结果






🔗 参考文献
[1] 余孙全.星载ADS-B载荷关键技术研究[D].国防科技大学,2018.
[2] V·拉加万,J·H·刘,厉隽怿.用于毫米波系统中的协调波束成形的技术:CN202080011499.X[P].CN202080011499.X[2025-04-26].
[3] 张娟,王洁,张林让,等.基于发射波束域的MIMO雷达抗有源干扰方法:CN201611165430.4[P].CN106646387A[2025-04-26].
📣 部分代码
🎈 部分理论引用网络文献,若有侵权联系博主删除
👇 关注我领取海量matlab电子书和数学建模资料
🏆团队擅长辅导定制多种科研领域MATLAB仿真,助力科研梦:
🌈 各类智能优化算法改进及应用
生产调度、经济调度、装配线调度、充电优化、车间调度、发车优化、水库调度、三维装箱、物流选址、货位优化、公交排班优化、充电桩布局优化、车间布局优化、集装箱船配载优化、水泵组合优化、解医疗资源分配优化、设施布局优化、可视域基站和无人机选址优化、背包问题、 风电场布局、时隙分配优化、 最佳分布式发电单元分配、多阶段管道维修、 工厂-中心-需求点三级选址问题、 应急生活物质配送中心选址、 基站选址、 道路灯柱布置、 枢纽节点部署、 输电线路台风监测装置、 集装箱调度、 机组优化、 投资优化组合、云服务器组合优化、 天线线性阵列分布优化、CVRP问题、VRPPD问题、多中心VRP问题、多层网络的VRP问题、多中心多车型的VRP问题、 动态VRP问题、双层车辆路径规划(2E-VRP)、充电车辆路径规划(EVRP)、油电混合车辆路径规划、混合流水车间问题、 订单拆分调度问题、 公交车的调度排班优化问题、航班摆渡车辆调度问题、选址路径规划问题、港口调度、港口岸桥调度、停机位分配、机场航班调度、泄漏源定位
🌈 机器学习和深度学习时序、回归、分类、聚类和降维
2.1 bp时序、回归预测和分类
2.2 ENS声神经网络时序、回归预测和分类
2.3 SVM/CNN-SVM/LSSVM/RVM支持向量机系列时序、回归预测和分类
2.4 CNN|TCN|GCN卷积神经网络系列时序、回归预测和分类
2.5 ELM/KELM/RELM/DELM极限学习机系列时序、回归预测和分类
2.6 GRU/Bi-GRU/CNN-GRU/CNN-BiGRU门控神经网络时序、回归预测和分类
2.7 ELMAN递归神经网络时序、回归\预测和分类
2.8 LSTM/BiLSTM/CNN-LSTM/CNN-BiLSTM/长短记忆神经网络系列时序、回归预测和分类
2.9 RBF径向基神经网络时序、回归预测和分类
2.10 DBN深度置信网络时序、回归预测和分类
2.11 FNN模糊神经网络时序、回归预测
2.12 RF随机森林时序、回归预测和分类
2.13 BLS宽度学习时序、回归预测和分类
2.14 PNN脉冲神经网络分类
2.15 模糊小波神经网络预测和分类
2.16 时序、回归预测和分类
2.17 时序、回归预测预测和分类
2.18 XGBOOST集成学习时序、回归预测预测和分类
2.19 Transform各类组合时序、回归预测预测和分类
方向涵盖风电预测、光伏预测、电池寿命预测、辐射源识别、交通流预测、负荷预测、股价预测、PM2.5浓度预测、电池健康状态预测、用电量预测、水体光学参数反演、NLOS信号识别、地铁停车精准预测、变压器故障诊断
🌈图像处理方面
图像识别、图像分割、图像检测、图像隐藏、图像配准、图像拼接、图像融合、图像增强、图像压缩感知
🌈 路径规划方面
旅行商问题(TSP)、车辆路径问题(VRP、MVRP、CVRP、VRPTW等)、无人机三维路径规划、无人机协同、无人机编队、机器人路径规划、栅格地图路径规划、多式联运运输问题、 充电车辆路径规划(EVRP)、 双层车辆路径规划(2E-VRP)、 油电混合车辆路径规划、 船舶航迹规划、 全路径规划规划、 仓储巡逻
🌈 无人机应用方面
无人机路径规划、无人机控制、无人机编队、无人机协同、无人机任务分配、无人机安全通信轨迹在线优化、车辆协同无人机路径规划
🌈 通信方面
传感器部署优化、通信协议优化、路由优化、目标定位优化、Dv-Hop定位优化、Leach协议优化、WSN覆盖优化、组播优化、RSSI定位优化、水声通信、通信上传下载分配
🌈 信号处理方面
信号识别、信号加密、信号去噪、信号增强、雷达信号处理、信号水印嵌入提取、肌电信号、脑电信号、信号配时优化、心电信号、DOA估计、编码译码、变分模态分解、管道泄漏、滤波器、数字信号处理+传输+分析+去噪、数字信号调制、误码率、信号估计、DTMF、信号检测
🌈电力系统方面
微电网优化、无功优化、配电网重构、储能配置、有序充电、MPPT优化、家庭用电
🌈 元胞自动机方面
交通流 人群疏散 病毒扩散 晶体生长 金属腐蚀
🌈 雷达方面
卡尔曼滤波跟踪、航迹关联、航迹融合、SOC估计、阵列优化、NLOS识别
🌈 车间调度
零等待流水车间调度问题NWFSP 、 置换流水车间调度问题PFSP、 混合流水车间调度问题HFSP 、零空闲流水车间调度问题NIFSP、分布式置换流水车间调度问题 DPFSP、阻塞流水车间调度问题BFSP
👇

被折叠的 条评论
为什么被折叠?



