本文包含 Maple Flow 迁移助手操作指南的第五部分。完整版请访:Maple Flow 迁移助手操作指南。
-
简介
-
什么是迁移助手
-
如何使用迁移助手
-
迁移助手自动迁移的内容
-
Maple Flow 不支持的 Mathcad 内容
-
Mathcad 用户应该了解的 Maple Flow 功能
-
Maplesoft 工程服务项目
Maple Flow迁移助手演示
不支持的Mathcad内容
这些语言或文档概念要么部分迁移,要么被忽略。根据应用程序,可能存在替代方案。
范围变量
这些在 Maple Flow 中没有直接表示。它们被转换为向量,需要用户斟酌是否符合上下文内容。
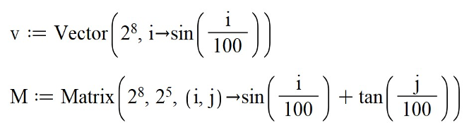
创建和填充向量/矩阵 - 如果第 n 个元素独立于任何先前的元素。
Mathcad 中范围变量的某些使用涉及创建和填充矩阵和向量。您可以使用 Maple Flow 的 Vector() 和 Matrix() 构造函数来实现相同的目的。
| Mathcad 示例 |
Maple Flow 手动翻译 |
|
|
创建和填充向量/矩

最低0.47元/天 解锁文章
1072

被折叠的 条评论
为什么被折叠?



