题解代码源自于他人的博客,仅此作为个人笔记记录。
递归思路就是,找到具有最大高度的那个子节点(其本身也是一个树,有高度),把这个孩子放在最后一位,就是题目所求的情况。所以最终答案就是父节点的子节点数量 + 具有最大高度的孩子的高度。
例如,在样例中,父节点1的孩子节点有2,3,4,它们的高度分别为1,0,0,所以2是具有最大高度的子节点,再加上父节点本身有三个孩子,所以答案就是1 + 3,即为4。

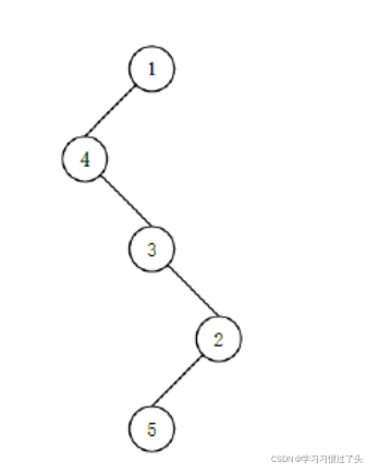
上图表示:转换后最大高度的形态(当然,最高形态可能不止一种,例如上图中的3,4可以调换位置,但是这和我们的最终结果没有任何关系)。
#include<bits/stdc++.h>
using namespace std;
int N;int f;vector<int> v[100005];
int height(int node)
{
int m=0;//初始化
for(int i=0;i<v[node].size();i++)
m=max(m,height(v[node][i]));//递归,找最大高度的孩子节点
return m+v[node].size();//高度+深度
}
int main()
{
cin>>N;
for(int i=2;i<=N;i++)
{
cin>>f;
v[f].push_back(i);
}
cout<<height(1);//递归
return 0;
}
本文介绍了一种使用递归方法求解树形结构最大高度的问题。通过找到具有最大高度的子节点并将其置于末尾,从而得出父节点的最大高度等于其子节点数量加上具有最大高度的孩子的高度。
8260

被折叠的 条评论
为什么被折叠?



