现实生活中,很多问题是无法在二维平面进行线性分类的,如下图所示:

对图(a)进行分类,我们无法进行线性分类,但是可以用一个椭圆来划分:

现在,我们要做的工作,就是把这个非线性分类变换到线性分类上,
:

映射后的公式为:

一个更为广泛的例子。设训练集为:
,其中

假定可以用
平面的二次曲线: 
来划分。这时,把二维空间
,映射到6维空间
的变换函数
:

通过变换函数,将二次曲线映射到六维空间的超平面:

利用线性学习机划分出超平面
,其中
,最后得到原空间的分划二次曲线:

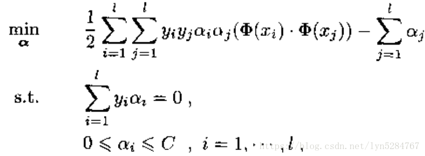
为求出6维空间的划分超平面,需要求解最优化问题如下:

其中

是两者之间的内积

求得问题的解为
后,算出


本文探讨了现实世界中非线性可分问题的解决方法,通过引入映射函数将原始特征空间转换到更高维度的空间,使得原本不可在线性分类的问题变得可以使用线性分类器进行分类。
1390

被折叠的 条评论
为什么被折叠?



