变压器短路阻抗也称阻抗电压,定义为:当变压器二次绕组短路(稳态),一次绕组流通额定电流而施加的电压称阻抗电压Uz。通常Uz以额定电压的百分数表示,即
当变压器满载运行时,短路阻抗的高低对二次侧输出电压的高低有一定的影响,短路阻抗小,电压降小,短路阻抗大,电压降大。当变压器负载出现短路时,短路阻抗小,短路电流大,变压器承受的电动力大。短路阻抗大,短路电流小,变压器承受的电动力小。
对牵引变压器而言,短路阻抗对四象限控制的影响:在满足功率输出要求情况下,短路阻抗越大,网侧谐波越小。
牵引变压器次边漏感大小可以采用如下公式进行计算
式中,L为次边漏感感抗,UN2为次边电压额定值,SN为牵引变压器额定容量,K短路阻抗百分比,n为次边牵引绕组数量;
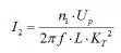
空载工况下,当存在变压器次边绕组短路时,等效原边电流计算如下:
式中,I2为次边绕组短路等效原边电流(有效值),Up为当前网压有效值,L为次边漏感感抗,KT为牵引变压器变比,n1为短路绕组个数;
以某型机车为例,其牵引变压器参数如下:额定容量SN为6752kVA,次边额定电压UN2为2011,短路阻抗百分比K为38%,次边牵引绕组个数n为4,牵引变压器变比KT为12.4316,采用上面两式计算,得出次边漏感约为0.0029H,空载工况下单个次边牵引绕组短路时原边电流约为177.7A;两个牵引绕组短路时原边电流约为355.4A。
牵引变压器的短路阻抗影响其二次侧输出电压和短路电流,阻抗大则电压降大,短路电流小。在四象限控制中,高短路阻抗有助于减小网侧谐波。文章介绍了计算次边漏感和空载工况下短路时原边电流的方法,并通过实例进行了计算。
1886

被折叠的 条评论
为什么被折叠?



