各位AP小伙伴们好呀~2022年5月9日进行的AP微积分BC考试已经结束,本场考试为线下纸笔考试,CB官网已更新了2022AP微积分BC北美FRQ真题。
2022年AP微积分BC考试已经结束,本次北美卷的考题从难度系数来看是非常常规,整体简单,考试的方式非常友好。完全延续了疫情发生前2015-2019年真题的题目风格。在以往的真题中都可以找到类似的题目。
整体考试难度
本次考试对于完整刷过2015-2019年微积分题目的同学非常友好,今年的FRQ和往年的FRQ相比,基本上是一个模子里刻出来的。对整体微积分掌握到80%,就可以愉快的搞定这场考试,顺利拿到五分。

FRQ知识侧重
关于知识点的侧重,在数学考试中,依然还需要具备一些知识辨析的能力,单纯的记住知识点是没有用的,毕竟数学考试是考察思维的考试。即便是相似的知识,但依然需要具备完整的知识逻辑和思考逻辑,需要一定的列式和应对变化的能力,本次考试中可能会对同学们产生困扰的两个点:
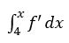
1.变限积分考察中没有积分式,需要自己根据题干写出积分式
,根据自己的积分式子进行后续问题的探讨。
2.不同定理的考察,FRQ中需要对IVT&MVT&积分求平均值的方法进行区分,特别是在原始信息已经是rate的基础上,这一点还是有一些难度。
知识点与解题思路
总结而言,本次考试中的FRQ需要一定的数学思维能力,但是要求并不高。
FRQ 1:
本题考察的是积分应用问题
(a)问是积分意义本身的考察,直接将速度进行积分就可以得到数量。
(b)问考察的是积分中值定理,将rate积分后除以时间跨度,可以得到平均数值。
(c)问则是导数应用单调性问题,利用导数的正负判断单调性。
(d)问是导数应用求最大值的问题,对给定函数求导,借助计算器画图观察导数图像变化,借助导数图像分辨单调性,由此获得最大值得可能取值点,进行互相的比较,获得最大值。
FRQ 2:
本题考察的是二维运动问题
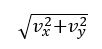
(a)问考察的是参数方程求导,直接利用参数求导公式运算即可。
(b)问考察二维速率,依然借助公式
获得结果。
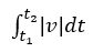
(c)问考察位移问题,对y方向速度积分后加上初始值即可。
(d)问考察路程问题,直接利用公式
。
FRQ 3:
本题考察的是变限积分问题
(a)问以4作为起点,列出变限积分表达式
,直接代值计算。
(b)问已知f’图像求拐点,根据f‘的单调性决定f’‘的正负变化,其中f’单调性发生改变的点即为拐点。
(c)、(d)问直接将函数求导,得到g‘=f’-1,将给定函数图像往下平移一个单位,进行(c)、(d)问的探究。
FRQ 4:
本题考察的是近似问题
(a)问考察近似求导的问题,直接两点联立近似求导。
(b)问考察介值定理,直接根据左右端点的数值进行推断。
(c)问考察黎曼近似,取右端点的高度进行面积计算近似。
(d)问考察相关变化率,这个题目是双变量的相关变化率,直接对表达式进行求导,其中h与r的变化率都可以从题干中找到。
FRQ 5:
本题考察的是积分的几何应用
(a)问考察积分求面积,直接在给定区域上进行定积分求面积。
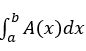
(b)问考察定截面图形求体积,利用积分公式
,代入表达式进行积分运算,值得一提的是,这个题目进行积分的时候需要使用分部积分法。
(c)问考察反常积分的内容,将给定面积的上下限定为3&∞,进行正常积分计算即可。
FRQ 6:
本题考察的是泰勒级数
(a)问考察的比值法,直接借助比值法公式
,计算x的区间范围。
(b)问考察交替级数误差,这个题目表达的相对隐晦,其中误差是表达式第二项。
(c)、(d)问直接对交替级数本身求导运算即可,根据表达式进行·求值。
整体而言,2022年北美卷试题考察的方式非常中规中矩,知识点也是以往考试的热门知识点,如果单纯进行题目难度系数的横向对比,和以往年份的题目难度系数相差无几。但是鉴于已经有了前面年份的题目作为参考,在2022年面对这种相似的题目,可以说是考察的更加简单了。
2022 AP微积分BC考试解析:常规且友好,历年知识点重现
本文详细分析了2022年AP微积分BC考试的FRQ部分,强调了考试难度适中,主要考察基础知识的应用、思维逻辑和知识辨析。重点回顾了积分应用、参数方程、近似求导等核心知识点,提醒考生需具备完整的知识逻辑和问题解决能力。
1113

被折叠的 条评论
为什么被折叠?



