回归
线性回归




假设误差项服从高斯分布,则其概率密度可知,可以写出其似然函数,又误差项ε等于y-θx,则L(θ)如上图

取对数再求导


岭回归

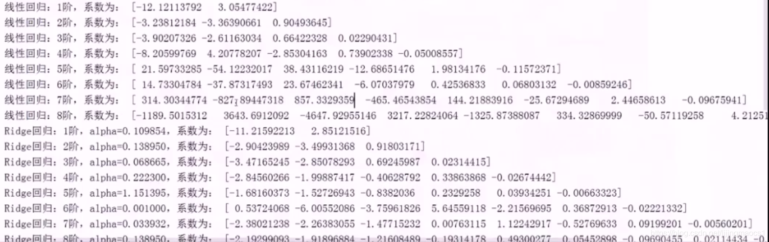
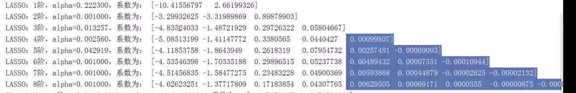
线性回归若阶数越高,与样本点拟合的越好,也越容易过拟合。系数的值也越大,不稳定性越大,为了防止过拟合,增加约束项防止参数值太大。LL2是希望seta的平方不要太大,L1正则是seta的绝对值不要太大。

L2正则项是seta的平方,L1正则是seta的绝对值,线性回归用L2正则,叫岭回归,线性回归用L1正则叫lasso回归。


Lasso一定程度上有特征选择的功效(高阶的系数接近于0,等同于特征选择),L2正则性能更好,Elastic Net 结合了L1、L2

梯度下降
https://blog.youkuaiyun.com/lijingmaocs1/article/details/104664818



实际中常用的

局部加权回归




逻辑回归


上面为似然函数,样本服从二项分布


逻辑回归样本服从二项分布,线性回归样本服从高斯分布,都属于指数族分布,所以他们的参数更新的形式都是一样的

logistic损失函数

fi是θT*X




soft-max回归思想,处理多分类问题, 计算属于1/2/3种类别时,分别有3组参数seta1、seta2、seta3,分别与x相乘后得到一个数α1,α2,α3,再用a1/a1+a2+a3,a2/a1+a2+a3,a3/a1+a2+a3,近似理解为属于该类别的概率;
谁的概率大就属于哪个类别。ps 这里是变形为e的次方的形式



255

被折叠的 条评论
为什么被折叠?



