【中等】
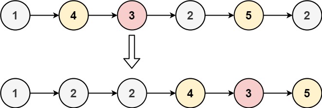
给你一个链表的头节点 head 和一个特定值 x ,请你对链表进行分隔,使得所有 小于 x 的节点都出现在 大于或等于 x 的节点之前。
你应当 保留 两个分区中每个节点的初始相对位置。
示例 1:

输入:head = [1,4,3,2,5,2], x = 3 输出:[1,2,2,4,3,5]
示例 2:
输入:head = [2,1], x = 2 输出:[1,2]
提示:
- 链表中节点的数目在范围
[0, 200]内 -100 <= Node.val <= 100-200 <= x <= 200
/**
* Definition for singly-linked list.
* public class ListNode

最低0.47元/天 解锁文章
355

被折叠的 条评论
为什么被折叠?



