1、什么是模型量化?
模型量化(Model Quantization)是指将深度学习模型中原本以高精度浮点数(如 FP32、FP16)存储和计算的权重、激活值等参数,转换为低比特宽度的数据类型(如INT8、INT4),以减少模型大小、降低计算开销,并提升推理速度。

通俗地说,模型量化就是让模型用“更粗的刻度”来表示和计算数值,从而提升运行效率、节省资源。
本质: 连续浮点数 → 离散定点整数
应用: 模型压缩、边缘部署、低功耗推理
2、常见数据类型

3、模型量化的数学原理
模型量化通过“比例缩放+偏移”实现将连续浮点区间映射为有限的离散整数区间。
线性量化(最常见的量化算法)
1 量化公式

x_fp: 原始浮点值
x_int: 量化后的整数值(如INT8)
scale: 缩放因子
zero_point: 用于对齐浮点值0的整数偏移
2 如何计算 scale 和 zero_point?
假设 x (即待量化的权重或激活值)的数值范围为[x_min,x_max],期望将其映射到整数范围:[q_min,q_max]。


3 反量化公式

反量化的作用: 把量化后的整数还原为近似的浮点值,确保精度损失在可接受范围内,并且在推理时某些模块需要通过反量化将数据恢复成浮点数,映射回原始的数值空间。
举个例子:
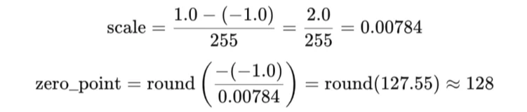
假设将[-1.0,1.0]的浮点区间映射到INT8,即[-128,127]
计算 scale 和 zero_point:

现要对 x_fp = 0.5 进行量化:

反量化:

说明: 反量化只能近似还原原始值,存在微小误差(这里是0.00176),这也是量化产生精度损失的来源之一。
4、模型量化的作用
压缩模型体积,减少显存占用: 低精度表示可显著压缩型体积,如 FP32 转INT4 可将显存占用减少约87.5%。
加速推理性能: 整数运算在多数硬件上效率更高,同时减少内存带宽需求和通信延迟,显著提升吞吐量与响应速度。

降低部署与运行成本: 显存与算力需求降低后,量化模型可在边缘设备上运行,延长电池续航、减少云端推理成本。
精度与性能的权衡: 量化会带来一定精度损失,但深度模型对小幅误差具备鲁棒性,合理设计可在几乎不影响准确率的前提下大幅加速模型。
推理计算对比: 未经量化 VS 经过量化
未经量化: 全浮点计算

x_fp: 浮点输入
y_fp: 浮点输出
W_fp: 浮点权重
b: 浮点偏置
所有乘法和加法均为浮点运算,计算量大、速度慢。
经过量化: 主要计算转为整数
预处理:

核心计算:

全为整数运算
恢复输出:

仅在结果还原阶段使用少量浮点乘法
总结
经过量化,大部分乘法为INT x INT,浮点数计算量大幅下降,推理显著提速。
5、模型量化的分类

热门量化方法:
AWQ(激活感知量化): 不仅考虑型权重,还考虑激活值并根据它们对模型输出的影响程度,为重要权重分配更高的精度适用于对性能敏感的任务。
GPTQ(通用后训练量化): 一种训练后仅量化权重的方法对模型权重逐层量化,支持极低精度的量化,尤其适合资源受限的部署环境。
6、如何学习大模型 AI ?
由于新岗位的生产效率,要优于被取代岗位的生产效率,所以实际上整个社会的生产效率是提升的。
但是具体到个人,只能说是:
“最先掌握AI的人,将会比较晚掌握AI的人有竞争优势”。
这句话,放在计算机、互联网、移动互联网的开局时期,都是一样的道理。
我在一线互联网企业工作十余年里,指导过不少同行后辈。帮助很多人得到了学习和成长。
我意识到有很多经验和知识值得分享给大家,也可以通过我们的能力和经验解答大家在人工智能学习中的很多困惑,所以在工作繁忙的情况下还是坚持各种整理和分享。但苦于知识传播途径有限,很多互联网行业朋友无法获得正确的资料得到学习提升,故此将并将重要的AI大模型资料包括AI大模型入门学习思维导图、精品AI大模型学习书籍手册、视频教程、实战学习等录播视频免费分享出来。
这份完整版的大模型 AI 学习资料已经上传优快云,朋友们如果需要可以微信扫描下方优快云官方认证二维码免费领取【保证100%免费】


第一阶段(10天):初阶应用
该阶段让大家对大模型 AI有一个最前沿的认识,对大模型 AI 的理解超过 95% 的人,可以在相关讨论时发表高级、不跟风、又接地气的见解,别人只会和 AI 聊天,而你能调教 AI,并能用代码将大模型和业务衔接。
- 大模型 AI 能干什么?
- 大模型是怎样获得「智能」的?
- 用好 AI 的核心心法
- 大模型应用业务架构
- 大模型应用技术架构
- 代码示例:向 GPT-3.5 灌入新知识
- 提示工程的意义和核心思想
- Prompt 典型构成
- 指令调优方法论
- 思维链和思维树
- Prompt 攻击和防范
- …
第二阶段(30天):高阶应用
该阶段我们正式进入大模型 AI 进阶实战学习,学会构造私有知识库,扩展 AI 的能力。快速开发一个完整的基于 agent 对话机器人。掌握功能最强的大模型开发框架,抓住最新的技术进展,适合 Python 和 JavaScript 程序员。
- 为什么要做 RAG
- 搭建一个简单的 ChatPDF
- 检索的基础概念
- 什么是向量表示(Embeddings)
- 向量数据库与向量检索
- 基于向量检索的 RAG
- 搭建 RAG 系统的扩展知识
- 混合检索与 RAG-Fusion 简介
- 向量模型本地部署
- …
第三阶段(30天):模型训练
恭喜你,如果学到这里,你基本可以找到一份大模型 AI相关的工作,自己也能训练 GPT 了!通过微调,训练自己的垂直大模型,能独立训练开源多模态大模型,掌握更多技术方案。
到此为止,大概2个月的时间。你已经成为了一名“AI小子”。那么你还想往下探索吗?
- 为什么要做 RAG
- 什么是模型
- 什么是模型训练
- 求解器 & 损失函数简介
- 小实验2:手写一个简单的神经网络并训练它
- 什么是训练/预训练/微调/轻量化微调
- Transformer结构简介
- 轻量化微调
- 实验数据集的构建
- …
第四阶段(20天):商业闭环
对全球大模型从性能、吞吐量、成本等方面有一定的认知,可以在云端和本地等多种环境下部署大模型,找到适合自己的项目/创业方向,做一名被 AI 武装的产品经理。
- 硬件选型
- 带你了解全球大模型
- 使用国产大模型服务
- 搭建 OpenAI 代理
- 热身:基于阿里云 PAI 部署 Stable Diffusion
- 在本地计算机运行大模型
- 大模型的私有化部署
- 基于 vLLM 部署大模型
- 案例:如何优雅地在阿里云私有部署开源大模型
- 部署一套开源 LLM 项目
- 内容安全
- 互联网信息服务算法备案
- …
学习是一个过程,只要学习就会有挑战。天道酬勤,你越努力,就会成为越优秀的自己。
如果你能在15天内完成所有的任务,那你堪称天才。然而,如果你能完成 60-70% 的内容,你就已经开始具备成为一名大模型 AI 的正确特征了。
这份完整版的大模型 AI 学习资料已经上传优快云,朋友们如果需要可以微信扫描下方优快云官方认证二维码免费领取【保证100%免费】

一文读懂模型量化定义与作用
892





