DAG是公认的下一代区块链的标志。本文从算法基础去研究分析DAG算法,以及它是如何运用到区块链中,解决了当前区块链的哪些问题。
关键字:DAG,有向无环图,算法,背包,深度优先搜索,栈,BlockChain,区块链
图
图是数据结构中最为复杂的一种,我在上大学的时候,图的这一章会被老师划到考试范围之外,作为我们的课后兴趣部分。但实际上,图在信息化社会中的应用非常广泛。图主要包括:
- 无向图,结点的简单连接
- 有向图,连接有方向性
- 加权图,连接带有权值
- 加权有向图,连接既有方向性,又带有权值
图是由一组顶点和一组能够将两个顶点相连的边组成。
常见的地图,电路,网络等都是图的结构。
术语
- 顶点:图中的一个点
- 边:连接两个顶点的线段叫做边,edge
- 相邻的:一个边的两头的顶点称为是相邻的顶点
- 度数:由一个顶点出发,有几条边就称该顶点有几度,或者该顶点的度数是几,degree
- 路径:通过边来连接,按顺序的从一个顶点到另一个顶点中间经过的顶点集合
- 简单路径:没有重复顶点的路径
- 环:至少含有一条边,并且起点和终点都是同一个顶点的路径
- 简单环:不含有重复顶点和边的环
- 连通的:当从一个顶点出发可以通过至少一条边到达另一个顶点,我们就说这两个顶点是连通的
- 连通图:如果一个图中,从任意顶点均存在一条边可以到达另一个任意顶点,我们就说这个图是个连通图
- 无环图:是一种不包含环的图
- 稀疏图:图中每个顶点的度数都不是很高,看起来很稀疏
- 稠密图:图中的每个顶点的度数都很高,看起来很稠密
- 二分图:可以将图中所有顶点分为两部分的图
所以树其实就是一种无环连通图。
有向图
有向图是一幅有方向性的图,由一组顶点和有向边组成。所以,大白话来讲,有向图是包括箭头来代表方向的。
常见的例如食物链,网络通信等都是有向图的结构。
术语
上面我们介绍了顶点的度数,在有向图中,顶点被细分为了:
- 出度:由一个顶点出发的边的总数
- 入度:指向一个顶点的边的总数
接着,由于有向图的方向性,一条边的出发点称为头,指向点称为尾。
- 有向路径:图中的一组顶点可以满足从其中任意一个顶点出发,都存在一条有向边指向这组顶点中的另一个。
- 有向环:至少含有一条边的起点和终点都是同一个顶点的一条有向路径。
- 简单有向环:一条不含有重复顶点和边的环。
- 路径或环的长度就是他们包含的边数。
图的连通性在有向图中表现为可达性,由于边的方向性,可达性必须是通过顶点出发的边的正确方向,与另一个顶点可连通。
邻接表数组
可表示图的数据类型,意思就是如何通过一个具体的文件内容,来表示出一幅图的所有顶点,以及顶点间的边。
邻接表数组,以顶点为索引(注意顶点没有权值,只有顺序,因此是从0开始的顺序值),其中每个元素都是和该顶点相邻的顶点列表。
5 vertices, 3 edges
0: 4 1
1: 0
2:
3:
4:
背包
做一个背包集合,用来存储与一个顶点连通的顶点集合,因为不在意存储顺序,并且只进不出,所以选择背包结构来存储。温习一下背包
package algorithms.bag;
import java.util.Iterator;
// 定义一个背包集合,支持泛型,支持迭代
public class Bag<Item> implements Iterable<Item> {
private class BagNode<Item> {
Item item;
BagNode next;
}
BagNode head;
int size;
@Override
public Iterator<Item> iterator() {
return new Iterator<Item>() {
BagNode node = head;
@Override
public boolean hasNext() {
return node.next != null;
}
@Override
public Item next() {
Item item = (Item) node.item;
node = node.next;
return item;
}
};
}
public Bag() {
head = new BagNode();
size = 0;
}
// 往前插入
public void add(Item item) {
BagNode temp = new BagNode();
// 以下两行代码一定要声明,不可直接使用temp = head,那样temp赋值的是head的引用,对head的所有修改会直接同步到temp,temp就不具备缓存的功能,引发bug。。
temp.next = head.next;
temp.item = head.item;
head.item = item;
head.next = temp;
size++;
}
public boolean isEmpty() {
return size == 0;
}
public int size() {
return this.size;
}
public static void main(String[] args) {
Bag<String> bags = new Bag();
bags.add("hello");
bags.add("yeah");
bags.add("liu wen bin");
bags.add("seminar");
bags.add("1243");
System.out.println(bags.size);
// for (Iterator i = bags.iterator(); i.hasNext(); ) {
// System.out.println(i.next());
// }
// 由于Bag实现了Iterable接口,所以支持以下方式遍历
for (String a : bags) {
System.out.println(a);
}
}
}
有向图结构
下面代码实现一个有向图数据结构,并添加常用有向图属性和功能。
package algorithms.graph;
import algorithms.bag.Bag;
import ioutil.In;
import ioutil.StdOut;
import java.io.FileReader;
public class Digraph {
private final int V;// 顶点总数,定义final,第一次初始化以后不可更改。
private int E;// 边总数
private Bag<Integer>[] adj;// {邻接表}顶点为数组下标,值为当前下标为顶点值所连通的顶点个数。
public Digraph(int v) {
this.V = v;
this.E = 0;
adj = new Bag[V];
for (int i = 0; i < V; i++) {
adj[i] = new Bag<Integer>();
}
}
public Digraph(In in) {
this(in.readInt());
int E = in.readInt();
for (int i = 0; i < E; i++) {
int v = in.readInt();
int w = in.readInt();
addEdge(v, w);
}
}
public int V() {
return this.V;
}
public int E() {
return this.E;
}
/**
* v和w是两个顶点,中间加一条边,增加稠密度。
*
* @param v 大V是顶点总数,v是顶点值,所以并v不存在大小限制
* @param w 同上。
*/
public void addEdge(int v, int w) {
adj[v].add(w);
E++;
}
/**
* 返回一个顶点的连通顶点集合的迭代器
*
* @param v
* @return Bag本身就是迭代器,所以返回该顶点的连通顶点集合Bag即可。
*/
public Iterable<Integer> adj(int v) {
return adj[v];
}
/**
* 将图中所有方向反转
*
* @return 返回一个图将所有方向反转后的副本
*/
public Digraph reverse() {
Digraph R = new Digraph(V);
for (int v = 0; v < V; v++) {
for (int w : adj[v]) {// 遍历原图中跟v顶点连通的顶点w。
R.addEdge(w, v);
}
}
return R;
}
/**
* 按照邻接表数组结构输出有向图内容
*
* @return
*/
public String toString() {
String s = V + " vertices, " + E + " edges\n";
for (int v = 0; v < V; v++) {
s += v + ": ";
for (int w : this.adj(v)) {
s += w + " ";
}
s += "\n";
}
return s;
}
public static void main(String[] args) {
Digraph d = new Digraph(5);
d.addEdge(0, 1);
d.addEdge(1, 0);
d.addEdge(2, 3);
d.addEdge(0, 4);
StdOut.println(d);
/**
输出:
5 vertices, 3 edges
0: 4 1
1: 0
2:
3:
4:
*/
}
}
以上背包和有向图代码相关解释请具体参照代码中注释。
可达性
上面提到了有向图中的可达性和图中的连通性的关系,可达性是连通性的特殊形式,对方向敏感,所以提到有向图,不可不研究可达性。
可达性解答了“从一个顶点v到达另一个顶点w,是否存在一条有向路径”等类似问题。
深度优先搜索
解答可达性问题,要借助深度优先搜索算法。为了更好的理解深度优先算法,先来搞清楚如何完全探索一个迷宫。
Tremaux搜索
完全探索一个迷宫的规则是:从起点出发,不走重复路线,走到终点走出迷宫。具体流程:
- 每当第一次到达一个新的顶点或边时,标记上。
- 在走的过程中,遇到一个已标记的顶点或边时,退回到上一个顶点。
- 当回退到的顶点已没有可走的边时继续回退。
我想Tremaux搜索会给我们带来一些启发,回到图的深度优先搜索算法。
package algorithms.graph;
import algorithms.bag.Bag;
import ioutil.StdOut;
/**
* 基于深度优先搜索(Depth First Search)解答有向图顶点可达性问题。
*/
public class DigraphDFS {
private boolean[] marked;// 是否标记过
/**
* 算法:在图中找到从某个顶点出发的所有顶点
*
* @param digraph
* @param start
*/
public DigraphDFS(Digraph digraph, int start) {
marked = new boolean[digraph.V()];// 初始化marked数组
dfs(digraph, start);
}
/**
* 算法:在图中找到从某些顶点出发的所有顶点,这些顶点被作为一个集合传入。
*
* @param digraph
* @param startSet
*/
public DigraphDFS(Digraph digraph, Iterable<Integer> startSet) {
marked = new boolean[digraph.V()];
for (int w : startSet) {
dfs(digraph, w);
}
}
/**
* 查询某个顶点是否被标记(是否可达,因为标记过就是可达的)
*
* @param v
* @return
*/
public boolean marked(int v) {
return marked[v];
}
/**
* 深度优先搜索核心算法,通过标记,在图中从v顶点出发找到有效路径
* <p>
* 返回的是通过标记形成的一条有效路径。
*
* @param digraph
* @param v
*/
private void dfs(Digraph digraph, int v) {
marked[v] = true;// 标记起点可达。
for (int w : digraph.adj(v)) {// 遍历v顶点可达的一级顶点。
if (!marked[w]) dfs(digraph, w);// 如果发现w顶点未到达过,则继续从w开始dfs(即向前走了一步)
}
}
public static void main(String[] args) {
Digraph d = new Digraph(5);// 初始化五个顶点的图
d.addEdge(0, 1);
d.addEdge(1, 0);
d.addEdge(2, 3);
d.addEdge(0, 4);
Bag<Integer> startSet = new Bag<>();
startSet.add(2);
DigraphDFS reachable = new DigraphDFS(d, startSet);
for (int v = 0; v < d.V(); v++) {
if (reachable.marked(v)) {
StdOut.print(v + " ");
}
StdOut.println();
}
/**
* 输出:
*
2
3
*/
}
}
startSet是入参条件,只有一个值为2,即在图中找寻2的有效路径,通过图中的边我们可以看出,2的有效路径只有3,所以输出是正确的。
可达性的一种应用:垃圾收集
我们都知道一般的对象垃圾收集都是计算它的引用数。在图结构中,把对象作为顶点,引用作为边,当一个对象在一段时间内未被他人引用的时候,这个顶点就是孤立的,对于其他有效路径上的顶点来说它就是不可达的,因此就不会被标记,这时候,例如JVM就会清除掉这些对象释放内存,所以JVM也是一直在跑类似以上这种DFS的程序,不断找到那些未被标记的顶点,按照一定时间规则进行清除。
有向无环图
不包含有向环的有向图就是有向无环图,DAG,Directed Acyclic Graph。
上面我们循序渐进的介绍了图,有向图,本节开始介绍有向无环图,概念也已经给出,可以看出有向无环图是有向图的一种特殊结构。那么第一个问题就是
如何监测有向图中没有有向环,也就是如何确定一个DAG。
寻找有向环
基于上面的问题,我们要做一个寻找有向环的程序,这个程序还是依赖DFS深度优先搜索算法,如果找不到,则说明这个有向图是DAG。
栈
先来补个坑,其实前面包括背包我在之前都写过,但因为前面那篇文章是我第一篇博文,我还太稚嫩,没有掌握好的编辑器,也没有粘贴代码,所以这里有必要重新填坑。
package algorithms.stack;
import ioutil.StdOut;
import java.util.Iterator;
import java.util.NoSuchElementException;
public class Stack<Item> implements Iterable<Item> {
private int SIZE;
private Node first;// 栈顶
public Stack() {// 初始化成员变量
SIZE = 0;
first = null;
}
private class Node {
private Item item;
private Node next;
}
// 栈:往first位置插入新元素
public void push(Item item) {
Node temp = first;
first = new Node();
first.item = item;
first.next = temp;
SIZE++;
}
// 栈:从first位置取出新元素,满足LIFO,后进先出。
public Item pop() {
if (isEmpty()) throw new RuntimeException("Stack underflow");
Item item = first.item;
first = first.next;
SIZE--;
return item;
}
public boolean isEmpty() {
return first == null;
}
public int size() {
return this.SIZE;
}
@Override
public Iterator<Item> iterator() {
return new Iterator<Item>() {
Node node = first;
@Override
public boolean hasNext() {
return first != null;
}
@Override
public Item next() {
if (!hasNext()) throw new NoSuchElementException();
Item item = node.item;
node = node.next;
return item;
}
};
}
public static void main(String[] args){
Stack<String> stack = new Stack<>();
stack.push("heyheyhey");
stack.push("howau");
stack.push("231");
StdOut.println(stack.SIZE);
StdOut.println(stack.pop());
}
}
我们要做寻找有向环的程序的话,要依赖栈的结构,所以上面把这个坑给填了,下面回归到寻找有向环的程序。(当然,你也可以直接使用java.util.Stack类)
package algorithms.graph;
import ioutil.StdOut;
import java.util.Stack;
public class DirectedCycle {
private boolean[] marked;// 以顶点为索引,值代表了该顶点是否标记过(是否可达)
private Stack<Integer> cycle; // 用来存储有向环顶点。
// *****重点理解这里start****
private int[] edgeTo;// edgeTo[0]=1代表顶点1->0, to 0的顶点为1。
// *****重点理解这里end****
private boolean[] onStack;// 顶点为索引,值为该顶点是否参与dfs递归,参与为true
public DirectedCycle(Digraph digraph) {
// 初始化成员变量
marked = new boolean[digraph.V()];
onStack = new boolean[digraph.V()];
edgeTo = new int[digraph.V()];
cycle = null;
// 检查是否有环
for (int v = 0; v < digraph.V(); v++) {
dfs(digraph, v);
}
}
private void dfs(Digraph digraph, int v) {
onStack[v] = true;// 递归开始,顶点上栈
marked[v] = true;
for (int w : digraph.adj(v)) {// 遍历一条边,v-> w
// 终止条件:找到有向环
if (hasCycle()) return;
// 使用onStack标志位来记录有效路径上的点,如果w在栈上,说明w在前面当了出发点,
if (!marked[w]) {
edgeTo[w] = v;// to w的顶点为v
dfs(digraph, w);
} else if (onStack[w]) {// 如果指到了已标记的顶点,且该顶点递归栈上。(栈上都是出发点,而找到了已标记的顶点是终点,说明出发点和终点相同了。)
cycle = new Stack<Integer>();
for (int x = v; x != w; x = edgeTo[x]) {//起点在第一次循环中已经push了,不要重复
cycle.push(x);// 将由v出发,w结束的环上中间的结点遍历push到cycle中。
}
cycle.push(w);// push终点
}
}
onStack[v] = false;// 当递归开始结算退出时,顶点下栈。
}
public boolean hasCycle() {
return cycle != null;
}
public Iterable<Integer> cycle() {
return cycle;
}
public static void main(String[] args) {
Digraph d = new Digraph(6);
d.addEdge(0, 1);
d.addEdge(1, 2);
d.addEdge(2, 3);
d.addEdge(3, 0);
DirectedCycle directedCycle = new DirectedCycle(d);
if (directedCycle.hasCycle()) {
for (int a : directedCycle.cycle()) {
StdOut.println(a);
}
} else {
StdOut.println("DAG");
}
}
}
这段代码不长但其中算法比较复杂,我尽力在注释中做了详细解释,如有任何不明之处,欢迎随时留言给我。
以上程序的测试用图为
6 vertices, 4 edges
0: 1
1: 2
2: 3
3: 0
4:
5:
肉眼可以看出,这是一个0-1-2-3-0的一个有向环,所以以上程序的执行结果为:
3
2
1
0
先入栈的在后面,可以看出是0-1-2-3的有向环结构。如果我们将图的内容改为:
6 vertices, 4 edges
0: 1
1: 2
2: 3
3:
4:
5: 0
则明显最后一个拼图3-0被我们打破了,变成了无所谓的5-0,这时该有向图就不存在有向环。此时以上程序执行结果为:
DAG
DAG与BlockChain
上面一章节我们将DAG深挖了挖,我想到这里您已经和我一样对DAG的算法层面非常了解,那么它和如今沸沸扬扬的区块链有什么关联呢?本章节主要介绍这部分内容。
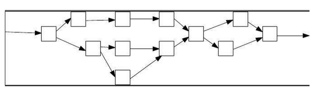
在前面的文章中,我们已经了解了区块链技术,无论是比特币还是以太坊,都是基于一条链式结构,实现了去中心化的,点对点的,trustless的一种新型技术。然而这条链式结构在面临业务拓展的时候屡屡遭受新的挑战,例如块存储量问题,交易速度问题,数据总量过大,单节点存储压力等等。而DAG是基于图的一种实现方式,之所以不允许有向环的出现,是因为DAG可以保证结点交易的顺序,可以通过上面介绍过的有效路径来找到那根主链。如果出现了有向环,那系统就乱了。如果没有有向环的话,DAG中可以有多条有效路径连接各个顶点,因此DAG可以说是更加完善,强大的新一代区块链结构。
转存失败重新上传取消
目前非常有名的采用DAG技术的区块链产品有DagCoin,IOTA,ByteBall等,他们都是基于DAG,在性能和储量上面有了全面的提升。
这里面仍然会有“分叉”的可能,处理方式也是相同的,看哪个结点能够有新的后续,这个部分我们在讲“叔块”的时候说过。
区块链采用DAG结构以后称为了blockless,无块化的结构,即我们不再将交易打包到块中,以块为单元进行存储,而是直接将交易本身作为基本单元进行存储。另外,DAG也有双花的可能,也是上面“分叉问题”引起的,但它在确认有效路径以后会自动恢复。同时,DAG是异步共识,具体机制还不了解,但它解决了交易性能问题。
总结
本文循序渐进地从图到有向图到有向无环图,详细地介绍了相关术语,api代码实现,也补充入了背包和栈的代码实现,重点研究了图的深度优先搜索算法以及寻找有向环算法。最后对DAG和区块链的关系进行了简介,希望随着技术发展,DAG有望成为真正的区块链3.0。
参考资料
Algorithms 4th,网上资料
本文深入探讨DAG算法,解析其在区块链中的应用,解决传统区块链的局限,如交易速度与存储压力,展望DAG作为区块链3.0的潜力。
464

被折叠的 条评论
为什么被折叠?



