用于AEC的总结
LMS算法
一般情况下,LMS算法的具体流程为:
(1)确定参数:全局步长参数β以及滤波器的抽头数(也可以称为滤波器阶数)
(2)对滤波器初始值的初始化
(3)算法运算过程:
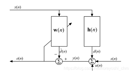
滤波输出:y(n)=wT(n)x(n)
误差信号:e(n)=d(n)-y(n)
权系数更新:w(n+1)=w(n)+βe(n)x(n)
NLMS算法


RLS算法

PFBLMS算法
key points:滤波器分段


滤波器的保护
远近两端同时讲话的时候,近端传声器拾取的信号就包括远端回声,本地噪声和近端语音,由于近端语音和远端回声并不存在本质上的差别,使得滤波器更新时,会把近端语音也作为期望信号进行处理。通常,这样做的结果,会造成滤波器偏离发散,无法正常工作。所以,进行双端同时讲话检测,在双端讲话时锁定滤波器是很必要的。


本文深入解析了AEC(回声消除)中常用的LMS、NLMS、RLS及PFBLMS算法,阐述了滤波器参数设定、初始化及运算流程,并强调了在双端讲话时滤波器保护的重要性。
6万+

被折叠的 条评论
为什么被折叠?



