一、学习目标
1.回顾一下什么凸函数,了解凸函数与凸优化的关系
2.学习各种凸优化算法:切平面法、椭圆法、内点法
二、凸优化的定义
只有当目标函数和约束函数都是凸函数时,这个规划问题就是凸优化。

关于凸函数的一些确定方法:

三、切平面法(Cutting-plane algorithm)
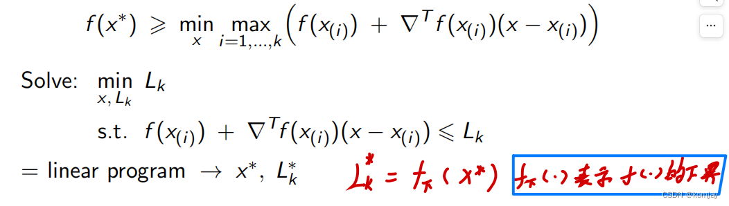
算法思想:随机取目标函数上的点,做这些点的切线,将这些切线连接,形成目标函数的下界,对约束函数也进行同样的操作,将折线中的最小值点作为新的点再做切线,迭代至折线最小值点对应的目标函数和折线值小于阈值。做切线如图所示:

然后挑选出折线中最小值点x*:

再然后将x*作切线,重复上面步骤找到新的x*:

本文介绍了凸优化的基本概念,包括凸函数的定义,以及切平面法、椭圆法和内点法三种常见的凸优化算法。通过实例说明了算法的执行过程和迭代策略,旨在帮助读者理解和掌握这些优化技巧。
最低0.47元/天 解锁文章
1387





