今日瑞禧生物小编给大家整理分享的是大环配体系列:DOTA-PEG-PAA/DOTA-PEG-PS/DOTA-PEG-PEI/DOTA-PEG-PAMAM/DOTA-PEG-PLA 大环配体-聚合物。
NOTA作为螯合物在tumour显像及存在的问题,提供一种更为理想的含NOTA结构的奥曲肽类生长抑素前体化合物,并用放射性核素对该前体化合物进行标记,得到成本低、标记率高、稳定性好﹑显像或性能强的A-NOTA-TATE生长抑素配体化合物。
以NOTA作为整合剂,也是配位基团。NOAT与放射性核素如Ga形成的整合物Ga-NOTA为变形的八面体结构,三个NOTA环上的氮原子以及环臂上羧酸的氧原子与6Ga配位, 68Ga-NOTA的热力学稳定常数约为30.98,比6Ga-DOTA高出10个数量级。而且NOTA配位基团可通过与A11F配位获得'TF标记的NOTA-TATE,也可用于64Cu、67Ga、90y、 1"'In、89zr 、 1 8F或7"Lu等核素的标记,部分稳定性相比DOTA-TATE稳定。
单独的核素或单独的前体化合物NOTA-TATE并不能够进行tumour的显像,显像主要依赖于放射性核素发出的射线。TATE为奥曲肽衍生物,与生长抑素受体结合,NOTA充当鳌合物,将放射性物质引入到表达SSTRstumour中,将核素标记的NOTA-TATE用于显像。

相关产品:
NOTA-Lysozyme 溶菌酶
NOTA-HRP 辣根过氧化氢酶
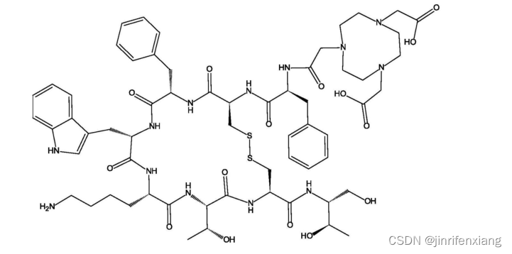
Ga-NOTA-FAPI 镓-大环配体-蛋白抑制剂
MMA-NOTA-Eu 甲基丙烯酸甲酯-大环配体-铕
Gd-NOTA-FPG 钆-大环配体-糖基化酶
Ga-NOTA-ANCP-PSMA 镓-大环配体-前列腺特异性膜抗原
NOTA-ALB 大环配体-白蛋白
NOTA-L1大环配体-衣壳蛋白
NOTA-Nups大环配体-核膜孔蛋白
NOTA-GsERF7大环配体-植物耐盐碱蛋白
NOTA-LAG3大环配体-LAG3蛋白
NOTA-ADH 大环配体-醇脱氢酶
NOTA-CAT 大环配体-过氧化氢酶
NOTA-HA 大环配体-HA蛋白
NOTA-ACP 大环配体-ACP 载体蛋白
NOTA-KLH 大环配体-血蓝蛋白
NOTA-TK 大环配体-酪氨酸激酶
NOTA-SUMO 大环配体-SUMO 蛋白
NOTA-NS3 大环配体-丝氨蛋白酶
NOTA-HRP 大环配体-辣根过氧化氢酶
NOTA-Ovalbumin 大环配体-卵清蛋白
NOTA-Tn 大环配体-肌钙蛋白
NOTA-PEG-BSA 大环配体-聚乙二醇- 牛血清白蛋白
NOTA-PEG-HAS 大环配体-聚乙二醇- 人血清白蛋白
瑞禧生物WFF.2022.3
107

被折叠的 条评论
为什么被折叠?



