序言
最近对Crypto有点兴趣,所有写个帖子跟进学习。在进行Crypto的CTF解题过程中发现,大多ctf题是以RSA为核心展开的,当然可能混杂了一些其他加密方法。对RSA了解的同学,应该知道RSA解密需要对初等数论的知识有些了解。下面我将根据解题思路的不同,对题目进行剖析。有些题目可能存在多种攻击方式,所以在进行题目分类时可能存在出入。
目前题目有点少,不过后面会加,因为还要学习其他的东西。不过保证会把解题思路给一步一步写出来的。
待加载知识点
1.RSA已知高位攻击-抽象代数 环论 一元多项式环
抽代学习中
2.维纳攻击-数论 连分数
RSA基本原理
公钥与私钥的产生:
(1)进行加密之前,首先找出2个不同的大质数p和q
(2)计算n=p*q
(3)根据欧拉函数,求得φ(n)=φ§φ(q)=(p−1)(q−1)
(4)找出一个公钥e,e要满足: 1<e<φ(n) 的整数,且使e和φ(N)互质。
(5)根据e*d除以φ(n)余数为1,找到私钥d。
(6)所以,公钥就是(n,e) 私钥就是(n,d)
消息加密:
m^e除以n求余数即为c(密文) c=pow(m,e,n)
消息解密:
c^d除以n求余数即为m(明文) m=pow(c,d,n)
常规RSA
这一类题目,在进行加密时,给出一些参数pq等进行运算后的数字,需要对参数关系进行推导。
[BJDCTF 2020]EasyRSA
题目:
from Crypto.Util.number import getPrime,bytes_to_long
from sympy import Derivative
from fractions import Fraction
from secret import flag
p=getPrime(1024)
q=getPrime(1024)
e=65537
n=p*q
z=Fraction(1,Derivative(arctan(p),p))-Fraction(1,Derivative(arth(q),q))
m=bytes_to_long(flag)
c=pow(m,e,n)
print(c,z,n)
'''
output:
7922547866857761459807491502654216283012776177789511549350672958101810281348402284098310147796549430689253803510994877420135537268549410652654479620858691324110367182025648788407041599943091386227543182157746202947099572389676084392706406084307657000104665696654409155006313203957292885743791715198781974205578654792123191584957665293208390453748369182333152809882312453359706147808198922916762773721726681588977103877454119043744889164529383188077499194932909643918696646876907327364751380953182517883134591810800848971719184808713694342985458103006676013451912221080252735948993692674899399826084848622145815461035
32115748677623209667471622872185275070257924766015020072805267359839059393284316595882933372289732127274076434587519333300142473010344694803885168557548801202495933226215437763329280242113556524498457559562872900811602056944423967403777623306961880757613246328729616643032628964072931272085866928045973799374711846825157781056965164178505232524245809179235607571567174228822561697888645968559343608375331988097157145264357626738141646556353500994924115875748198318036296898604097000938272195903056733565880150540275369239637793975923329598716003350308259321436752579291000355560431542229699759955141152914708362494482
15310745161336895413406690009324766200789179248896951942047235448901612351128459309145825547569298479821101249094161867207686537607047447968708758990950136380924747359052570549594098569970632854351825950729752563502284849263730127586382522703959893392329333760927637353052250274195821469023401443841395096410231843592101426591882573405934188675124326997277775238287928403743324297705151732524641213516306585297722190780088180705070359469719869343939106529204798285957516860774384001892777525916167743272419958572055332232056095979448155082465977781482598371994798871917514767508394730447974770329967681767625495394441
'''
思路:
给出了e c z n
z是p q的经过一些运算的结合 ,n=p*q
z=Fraction(1,Derivative(arctan§,p))-Fraction(1,Derivative(arth(q),q))
arctan§:对p的反正切 arth(q):反双曲线正切
Derivative:分别对上述两个参数的p q求导
得到两个值1/(1+p^2) 1/(1-q^2)
Fraction:是以1为分子,以Derivative(arctan§,p)或Derivative(arth(q),q)为分母
此时z=p2+q2
z有了 n有了
熟悉的初中数学来了
(p+q)^2=z+2n
(p-q)^2=z-2n
计算后分别得出p q
Ф(n)=(p-1)(q-1)
d=gmpy2.invert(e,Ф(n))
m=pow(c,d,n)
解题:
from gmpy2 import *
from Crypto.Util.number import *
c=mpz(7922547866857761459807491502654216283012776177789511549350672958101810281348402284098310147796549430689253803510994877420135537268549410652654479620858691324110367182025648788407041599943091386227543182157746202947099572389676084392706406084307657000104665696654409155006313203957292885743791715198781974205578654792123191584957665293208390453748369182333152809882312453359706147808198922916762773721726681588977103877454119043744889164529383188077499194932909643918696646876907327364751380953182517883134591810800848971719184808713694342985458103006676013451912221080252735948993692674899399826084848622145815461035)
z=mpz(32115748677623209667471622872185275070257924766015020072805267359839059393284316595882933372289732127274076434587519333300142473010344694803885168557548801202495933226215437763329280242113556524498457559562872900811602056944423967403777623306961880757613246328729616643032628964072931272085866928045973799374711846825157781056965164178505232524245809179235607571567174228822561697888645968559343608375331988097157145264357626738141646556353500994924115875748198318036296898604097000938272195903056733565880150540275369239637793975923329598716003350308259321436752579291000355560431542229699759955141152914708362494482)
n=mpz(15310745161336895413406690009324766200789179248896951942047235448901612351128459309145825547569298479821101249094161867207686537607047447968708758990950136380924747359052570549594098569970632854351825950729752563502284849263730127586382522703959893392329333760927637353052250274195821469023401443841395096410231843592101426591882573405934188675124326997277775238287928403743324297705151732524641213516306585297722190780088180705070359469719869343939106529204798285957516860774384001892777525916167743272419958572055332232056095979448155082465977781482598371994798871917514767508394730447974770329967681767625495394441)
e=65537
pqplus=iroot(z+2*n,2)[0]
pqminus=iroot(z-2*n,2)[0]
p=(pqminus+pqplus)//2
q=(pqplus-pqminus)//2
phi=(p-1)*(q-1)
d=invert(e,phi)
m=pow(c,d,n)
flag=long_to_bytes(m)
print (flag)
[CISCN 2022 西南]rsa
题目:
from Crypto.Util.number import *
import gmpy2
flag = b'XXXXXXXX'
p1 = getPrime(700)
r1 = getPrime(700)
for i in range(10):
q1 = 5*p1+i
n = p1*q1*r1
p3 = pow(p1,3,n)
q3 = pow(q1,3,n)
print(p3)
print(q3)
'''
p3 = 29914513810588158800677413177910972738704129106546850855032986405861482276089830788972187432277517348644647399654780884571794069905291936470934226328931651386658328163535027343107140438177837479649822914209171476632450951930287641742344330471734177295804718555774395704231261550376220154493373703096062950390869299905383682611063374747752091585836452902373843865043412096365874638466683035848817858586173172058756256354758712684819253211761289032789542371351760915771791997388241121078055468403109260493642435791152671979552597191217179672328555740595434990908530985477314228867209314472001848844089467987561661918366232980944933533
q3 = 66208618374366130551979192465001581263127328176551695213970812805980115496523825511250542987452691413485117902772315362811067501379171731387904074565035353566976164797769439898266222919741874340315356585585077141595328441423323822407738375537476582506440045835592730211502035261968878999959340204806442390319739977816872969200022096331677277225467021553564212725120939434924481787524609852608476848761521446441776154400518315701988027274150425936061679275540502720782853648148897480117033152064922234451671636288396704170234613549011854618414776342798740690128675106027908639984431432591397555541420243824539205614036979987830125678
'''
P = getPrime(1024)
Q = getPrime(1024)
N = P * Q
E = 65537
lcm = gmpy2.lcm(P-1, Q-1)
e1 = gmpy2.invert(p1, lcm)
e2 = gmpy2.invert(r1, lcm)
m = bytes_to_long(flag)
c = pow(m, E, N)
print(lcm)
print(c)
print(N)
'''
lcm = 4292158730589770192682795435047249488185453170529228019750042608688907718268448193363838203887391025871515871000364259326343790645215256385842265899206372365402431198699714374850409466996627163968391249416054093529090485677808301343590811445080871279796162536469847469761747058736980603093722710824453312207182881241846080117790728778291633761198069016865260030288832065807438020772711645648333908622890343009942617559434851450007195025869850769670769715654662127278293639938359741401336592219730356884542179574372134014927006215640945952229142436595334916765255426954857520777553915330597952622785359222832224632624
c = 4288727484183191191687364666620023549392656794153112764357730676861570386983002380982803054964588111708662498647767438881892355599604826306427809017097724346976778230464708540600157055782723189971534549543664668430013171469625043063261219462210251726207552819381767396148632877168530609902046293626355744288863460554297860696918890189350721960355460410677203131993419723440382095665713164422367291153108363066159712951217816814873413423853338021627653555202253351957999686659021298525147460016557904084617528199284448056532965033560516083489693334373695545423561715471204868795248569806148395196572046378679014697206
N = 17168634922359080770731181740188997952741812682116912079000170434755630873073792773455352815549564103486063484001457037305375162580861025543369063596825489461609724794798857499401637867986508655873564997664216374116361942711233205374363245780323485119184650145879389879046988234947922412374890843297813248828996855478005656041814919367820336728271583686844991928889831691815821365423570311291064846736832327637944358854661523107817781673029406341843040857813841671405147146887291204140157388049394514390098066284975682117038362207142272098796924412602725857521665773622056312191400612944442008222587867782281556388669
思路:
第一部分和第二部分存在P1 r1的相同点,大概率就是第一部分求p1 r1在第二部分用
第一部分:
n = p1q1r1
p3 = pow(p1,3,n)
q3 = pow(q1,3,n)
由于p1没有经过处理,且加密参数e=3直接开三次方根即可,
这时需要求出r1,这里有关系公式
n = p1q1r1
需要知道n和q1
q1与p1的关系我们知道
for i in range(10):
q1 = 5*p1+i
但是n不知道
但是由p3 = pow(p1,3,n)
我们知道n|p1^3-p3 再加上n = p1q1r1,r1|n =>r1|p13-p3,此时分解(p13-p3)/r1的结果即可
第二部分:
已知N = P * Q
已知lcm = gmpy2.lcm(P-1, Q-1)最小公倍数
e1 = gmpy2.invert(p1, lcm)
e2 = gmpy2.invert(r1, lcm)
c = pow(m, E, N)
这里比较有趣
因为想要获取D的值
但是Φ(N)=(P-1)(Q-1),以及ED模Φ(N)等于1=>Φ(N)|ED-1
Φ(N)=lcm(P-1,Q-1)*gcd(P-1,Q-1)=>lcm(P-1,Q-1)|Φ(N)
由于整除的传递性:
lcm(P-1,Q-1)|ED-1
=>ED模lcm(P-1,Q-1)等于1
即 D是E模lcm(P-1,Q-1)的逆元
证毕
???所以第一部分完全没啥用了???
解题:
import math
import gmpy2
from Crypto.Util.number import *
lcm = 4292158730589770192682795435047249488185453170529228019750042608688907718268448193363838203887391025871515871000364259326343790645215256385842265899206372365402431198699714374850409466996627163968391249416054093529090485677808301343590811445080871279796162536469847469761747058736980603093722710824453312207182881241846080117790728778291633761198069016865260030288832065807438020772711645648333908622890343009942617559434851450007195025869850769670769715654662127278293639938359741401336592219730356884542179574372134014927006215640945952229142436595334916765255426954857520777553915330597952622785359222832224632624
c = 4288727484183191191687364666620023549392656794153112764357730676861570386983002380982803054964588111708662498647767438881892355599604826306427809017097724346976778230464708540600157055782723189971534549543664668430013171469625043063261219462210251726207552819381767396148632877168530609902046293626355744288863460554297860696918890189350721960355460410677203131993419723440382095665713164422367291153108363066159712951217816814873413423853338021627653555202253351957999686659021298525147460016557904084617528199284448056532965033560516083489693334373695545423561715471204868795248569806148395196572046378679014697206
N = 17168634922359080770731181740188997952741812682116912079000170434755630873073792773455352815549564103486063484001457037305375162580861025543369063596825489461609724794798857499401637867986508655873564997664216374116361942711233205374363245780323485119184650145879389879046988234947922412374890843297813248828996855478005656041814919367820336728271583686844991928889831691815821365423570311291064846736832327637944358854661523107817781673029406341843040857813841671405147146887291204140157388049394514390098066284975682117038362207142272098796924412602725857521665773622056312191400612944442008222587867782281556388669
E = 65537
d=gmpy2.invert(E,lcm)
m=pow(c,d,N)
print(long_to_bytes(m))
低加密指数分解攻击-e=2密文开平方
低加密指数分解攻击是指,在进行RSA加密时,选择的e太小,此时密文c相当于m的e次方,此时只需要对c进行相应次数的开根号即可。当且仅当e特别小的时候。下面给出几道题,了解一下具体解题过程。
*西湖论剑rsa*
题目:
已知:
e=2
c=9217979941366220275377875095861710925207028551771520610387238734819759256223080175603032167658086669886661302962985046348865181740591251321966682848536331583243529
求明文m?
思路:
题目中给出了c和e,且e=2。由于****c = (m ^ e) % n**** 。直接对c开平方根即可。
解题:
import gmpy2
import libnum
c = 9217979941366220275377875095861710925207028551771520610387238734819759256223080175603032167658086669886661302962985046348865181740591251321966682848536331583243529
m = gmpy2.isqrt(c) #求平方根
m = int(m)
m = libnum.n2s(m) #转换为其对应的二进制字符串
print(m)
低加密指数分解攻击-Rabin加密算法
加密原理可以参考-Rabin加密原理
低加密指数分解攻击
[鹤城杯 2021]Crazy_Rsa_Techv
题目:
from Crypto.Util.number import *
from Crypto.Util.Padding import *
FLAG = bytes_to_long(pad(b"flag{??????}",64))
def init_key():
p, q = getPrime(512), getPrime(512)
n = p*q
e = 9
while(GCD((p-1)*(q-1),e)!=1):
p, q = getPrime(512), getPrime(512)
n = p*q
d = inverse(e,(p-1)*(q-1))
return n,e,d
n_list=list()
c_list=list()
for i in range(9):
N,e,d=init_key()
n_list.append(N)
c=pow(FLAG,e,N)
c_list.append(pow(FLAG,e,N))
assert(pow(c,d,N)==FLAG)
print("n_list:",n_list)
print("c_list:",c_list)
n_list: [71189786319102608575263218254922479901008514616376166401353025325668690465852130559783959409002115897148828732231478529655075366072137059589917001875303598680931962384468363842379833044123189276199264340224973914079447846845897807085694711541719515881377391200011269924562049643835131619086349617062034608799, 92503831027754984321994282254005318198418454777812045042619263533423066848097985191386666241913483806726751133691867010696758828674382946375162423033994046273252417389169779506788545647848951018539441971140081528915876529645525880324658212147388232683347292192795975558548712504744297104487514691170935149949, 100993952830138414466948640139083231443558390127247779484027818354177479632421980458019929149817002579508423291678953554090956334137167905685261724759487245658147039684536216616744746196651390112540237050493468689520465897258378216693418610879245129435268327315158194612110422630337395790254881602124839071919, 59138293747457431012165762343997972673625934330232909935732464725128776212729547237438509546925172847581735769773563840639187946741161318153031173864953372796950422229629824699580131369991913883136821374596762214064774480548532035315344368010507644630655604478651898097886873485265848973185431559958627423847, 66827868958054485359731420968595906328820823695638132426084478524423658597714990545142120448668257273436546456116147999073797943388584861050133103137697812149742551913704341990467090049650721713913812069904136198912314243175309387952328961054617877059134151915723594900209641163321839502908705301293546584147, 120940513339890268554625391482989102665030083707530690312336379356969219966820079510946652021721814016286307318930536030308296265425674637215009052078834615196224917417698019787514831973471113022781129000531459800329018133248426080717653298100515701379374786486337920294380753805825328119757649844054966712377, 72186594495190221129349814154999705524005203343018940547856004977368023856950836974465616291478257156860734574686154136925776069045232149725101769594505766718123155028300703627531567850035682448632166309129911061492630709698934310123778699316856399909549674138453085885820110724923723830686564968967391721281, 69105037583161467265649176715175579387938714721653281201847973223975467813529036844308693237404592381480367515044829190066606146105800243199497182114398931410844901178842049915914390117503986044951461783780327749665912369177733246873697481544777183820939967036346862056795919812693669387731294595126647751951, 76194219445824867986050004226602973283400885106636660263597964027139613163638212828932901192009131346530898961165310615466747046710743013409318156266326090650584190382130795884514074647833949281109675170830565650006906028402714868781834693473191228256626654011772428115359653448111208831188721505467497494581]
c_list: [62580922178008480377006528793506649089253164524883696044759651305970802215270721223149734532870729533611357047595181907404222690394917605617029675103788705320032707977225447998111744887898039756375876685711148857676502670812333076878964148863713993853526715855758799502735753454247721711366497722251078739585, 46186240819076690248235492196228128599822002268014359444368898414937734806009161030424589993541799877081745454934484263188270879142125136786221625234555265815513136730416539407710862948861531339065039071959576035606192732936477944770308784472646015244527805057990939765708793705044236665364664490419874206900, 85756449024868529058704599481168414715291172247059370174556127800630896693021701121075838517372920466708826412897794900729896389468152213884232173410022054605870785910461728567377769960823103334874807744107855490558726013068890632637193410610478514663078901021307258078678427928255699031215654693270240640198, 14388767329946097216670270960679686032536707277732968784379505904021622612991917314721678940833050736745004078559116326396233622519356703639737886289595860359630019239654690312132039876082685046329079266785042428947147658321799501605837784127004536996628492065409017175037161261039765340032473048737319069656, 1143736792108232890306863524988028098730927600066491485326214420279375304665896453544100447027809433141790331191324806205845009336228331138326163746853197990596700523328423791764843694671580875538251166864957646807184041817863314204516355683663859246677105132100377322669627893863885482167305919925159944839, 2978800921927631161807562509445310353414810029862911925227583943849942080514132963605492727604495513988707849133045851539412276254555228149742924149242124724864770049898278052042163392380895275970574317984638058768854065506927848951716677514095183559625442889028813635385408810698294574175092159389388091981, 16200944263352278316040095503540249310705602580329203494665614035841657418101517016718103326928336623132935178377208651067093136976383774189554806135146237406248538919915426183225265103769259990252162411307338473817114996409705345401251435268136647166395894099897737607312110866874944619080871831772376466376, 31551601425575677138046998360378916515711528548963089502535903329268089950335615563205720969393649713416910860593823506545030969355111753902391336139384464585775439245735448030993755229554555004154084649002801255396359097917380427525820249562148313977941413268787799534165652742114031759562268691233834820996, 25288164985739570635307839193110091356864302148147148153228604718807817833935053919412276187989509493755136905193728864674684139319708358686431424793278248263545370628718355096523088238513079652226028236137381367215156975121794485995030822902933639803569133458328681148758392333073624280222354763268512333515]
思路:
看到e=9,以及九组密文c和模数n,挨个爆破
Ci=pow(m,e,Ni) i=1,2,3,…,9
对list_n和list_c遍历爆破
解题:
import gmpy2
import math
from Crypto.Util.number import *
def merge(a1,n1,a2,n2):
d = math.gcd(n1,n2)
c = a2-a1
if c%d!=0:
return 0
c = (c%n2+n2)%n2
c = c//d
n1 = n1//d
n2 = n2//d
c *= gmpy2.invert(n1,n2)
c %= n2
c *= n1*d
c += a1
global n3
global a3
n3 = n1*n2*d
a3 = (c%n3+n3)%n3
return 1
def exCRT(a,n):
a1=a[0]
n1=n[0]
le= len(a)
for i in range(1,le):
a2 = a[i]
n2=n[i]
if not merge(a1,n1,a2,n2):
return -1
a1 = a3
n1 = n3
global mod
mod=n1
return (a1%n1+n1)%n1
def exCRT_getequation(a,n):
a1=a[0]
n1=n[0]
le= len(a)
for i in range(1,le):
a2 = a[i]
n2=n[i]
if not merge(a1,n1,a2,n2):
return -1
a1 = a3
n1 = n3
return (a1,n1)
n = [71189786319102608575263218254922479901008514616376166401353025325668690465852130559783959409002115897148828732231478529655075366072137059589917001875303598680931962384468363842379833044123189276199264340224973914079447846845897807085694711541719515881377391200011269924562049643835131619086349617062034608799, 92503831027754984321994282254005318198418454777812045042619263533423066848097985191386666241913483806726751133691867010696758828674382946375162423033994046273252417389169779506788545647848951018539441971140081528915876529645525880324658212147388232683347292192795975558548712504744297104487514691170935149949, 100993952830138414466948640139083231443558390127247779484027818354177479632421980458019929149817002579508423291678953554090956334137167905685261724759487245658147039684536216616744746196651390112540237050493468689520465897258378216693418610879245129435268327315158194612110422630337395790254881602124839071919, 59138293747457431012165762343997972673625934330232909935732464725128776212729547237438509546925172847581735769773563840639187946741161318153031173864953372796950422229629824699580131369991913883136821374596762214064774480548532035315344368010507644630655604478651898097886873485265848973185431559958627423847, 66827868958054485359731420968595906328820823695638132426084478524423658597714990545142120448668257273436546456116147999073797943388584861050133103137697812149742551913704341990467090049650721713913812069904136198912314243175309387952328961054617877059134151915723594900209641163321839502908705301293546584147, 120940513339890268554625391482989102665030083707530690312336379356969219966820079510946652021721814016286307318930536030308296265425674637215009052078834615196224917417698019787514831973471113022781129000531459800329018133248426080717653298100515701379374786486337920294380753805825328119757649844054966712377, 72186594495190221129349814154999705524005203343018940547856004977368023856950836974465616291478257156860734574686154136925776069045232149725101769594505766718123155028300703627531567850035682448632166309129911061492630709698934310123778699316856399909549674138453085885820110724923723830686564968967391721281, 69105037583161467265649176715175579387938714721653281201847973223975467813529036844308693237404592381480367515044829190066606146105800243199497182114398931410844901178842049915914390117503986044951461783780327749665912369177733246873697481544777183820939967036346862056795919812693669387731294595126647751951, 76194219445824867986050004226602973283400885106636660263597964027139613163638212828932901192009131346530898961165310615466747046710743013409318156266326090650584190382130795884514074647833949281109675170830565650006906028402714868781834693473191228256626654011772428115359653448111208831188721505467497494581]
c = [62580922178008480377006528793506649089253164524883696044759651305970802215270721223149734532870729533611357047595181907404222690394917605617029675103788705320032707977225447998111744887898039756375876685711148857676502670812333076878964148863713993853526715855758799502735753454247721711366497722251078739585, 46186240819076690248235492196228128599822002268014359444368898414937734806009161030424589993541799877081745454934484263188270879142125136786221625234555265815513136730416539407710862948861531339065039071959576035606192732936477944770308784472646015244527805057990939765708793705044236665364664490419874206900, 85756449024868529058704599481168414715291172247059370174556127800630896693021701121075838517372920466708826412897794900729896389468152213884232173410022054605870785910461728567377769960823103334874807744107855490558726013068890632637193410610478514663078901021307258078678427928255699031215654693270240640198, 14388767329946097216670270960679686032536707277732968784379505904021622612991917314721678940833050736745004078559116326396233622519356703639737886289595860359630019239654690312132039876082685046329079266785042428947147658321799501605837784127004536996628492065409017175037161261039765340032473048737319069656, 1143736792108232890306863524988028098730927600066491485326214420279375304665896453544100447027809433141790331191324806205845009336228331138326163746853197990596700523328423791764843694671580875538251166864957646807184041817863314204516355683663859246677105132100377322669627893863885482167305919925159944839, 2978800921927631161807562509445310353414810029862911925227583943849942080514132963605492727604495513988707849133045851539412276254555228149742924149242124724864770049898278052042163392380895275970574317984638058768854065506927848951716677514095183559625442889028813635385408810698294574175092159389388091981, 16200944263352278316040095503540249310705602580329203494665614035841657418101517016718103326928336623132935178377208651067093136976383774189554806135146237406248538919915426183225265103769259990252162411307338473817114996409705345401251435268136647166395894099897737607312110866874944619080871831772376466376, 31551601425575677138046998360378916515711528548963089502535903329268089950335615563205720969393649713416910860593823506545030969355111753902391336139384464585775439245735448030993755229554555004154084649002801255396359097917380427525820249562148313977941413268787799534165652742114031759562268691233834820996, 25288164985739570635307839193110091356864302148147148153228604718807817833935053919412276187989509493755136905193728864674684139319708358686431424793278248263545370628718355096523088238513079652226028236137381367215156975121794485995030822902933639803569133458328681148758392333073624280222354763268512333515]
m9=exCRT(c,n)
m=gmpy2.iroot(m9,9)[0]
print(long_to_bytes(m))
#flag{H0w_Fun_13_HAstads_broadca5t_AtTack!}
共模攻击
明文m、模数n相同,公钥指数e、密文c不同,gcd(e1,e2)==1也就是e1和e2互质。对同一明文的多次加密使用相同的模数和不同的公钥指数可能导致共模攻击。共模攻击时最常见的攻击方式。在进行解题之前先了解以下解题思路。
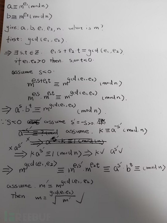
假定给出a=(m^e1)mod n b=(m^e2)mod n ,给定a,b,e1,e2,n。
证明:
我直接在纸上写证明过程了,实在不喜欢打字证明。
证明有了下面开始做题吧。
crypto1
题目:
from gmpy2 import *
from Crypto.Util.number import *
flag = '***************'
p = getPrime(512)
q = getPrime(512)
m1 = bytes_to_long(bytes(flag.encode()))
n = p * q
e1 = getPrime(32)
e2 = getPrime(32)
flag1 = pow(m1, e1, n) # flag1=(m1^e1)%n
flag2 = pow(m1, e2, n) # flag2=(m1^e2)%n (de)mod&n=1 m=(c2^d2)%n
print('flag1= ' + str(flag1))
print('flag2= ' + str(flag2))
print('e1= ' + str(e1))
print('e2= ' + str(e2))
print('n= ' + str(n))
# flag1= 100156221476910922393504870369139942732039899485715044553913743347065883159136513788649486841774544271396690778274591792200052614669235485675534653358596366535073802301361391007325520975043321423979924560272762579823233787671688669418622502663507796640233829689484044539829008058686075845762979657345727814280
# flag2= 86203582128388484129915298832227259690596162850520078142152482846864345432564143608324463705492416009896246993950991615005717737886323630334871790740288140033046061512799892371429864110237909925611745163785768204802056985016447086450491884472899152778839120484475953828199840871689380584162839244393022471075
# e1= 3247473589
# e2= 3698409173
# n= 103606706829811720151309965777670519601112877713318435398103278099344725459597221064867089950867125892545997503531556048610968847926307322033117328614701432100084574953706259773711412853364463950703468142791390129671097834871371125741564434710151190962389213898270025272913761067078391308880995594218009110313
思路:
题目给出了 flag1,flag2, e1 ,e2 n
1.求出e1和e2的最大公因数gcd(e1,e2),通过欧几里得算法,求出te1+ze2=gcd(e1,e2)中的t和z
2.根据mgcd(e1,e2)%n=(flag1s+flag2t)%n求出mgcd(e1,e2)%n的值
3.对mk=m^gcd(e1,e2)%n进行爆破 mk=m^gcd(e1,e2)+n*k 其中k属于整数,遍历k当且仅当mk可以开gcd(e1,e2)时输出。
解题:
import gmpy2
from Crypto.Util.number import long_to_bytes
flag1 = 463634070971821449698012827631572665302589213868521491855038966879005784397309389922926838028598122795187584361359142761652619958273094398420314927073008031088375892957173280915904309949716842152249806486027920136603248454946737961650252641668562626310035983343018705370077783879047584582817271215517599531278507300104564011142229942160380563527291388260832749808727470291331902902518196932928128107067117198707209620169906575791373793854773799564060536121390593687449884988936522369331738199522700261116496965863870682295858957952661531894477603953742494526632841396338388879198270913523572980574440793543571757278020533565628285714358815083303489096524318164071888139412436112963845619981511061231001617406815056986634680975142352197476024575809514978857034477688443230263761729039797859697947454810551009108031457294164840611157524719173343259485881089252938664456637673337362424443150013961181619441267926981848009107466576314685961478748352388452114042115892243272514245081604607798243817586737546663059737344687130881861357423084448027959893402445303299089606081931041217035955143939567456782107203447898345284731038150377722447329202078375870541529539840051415759436083384408203659613313535094343772238691393447475364806171594
flag2 = 130959534275704453216282334815034647265875632781798750901627773826812657339274362406246297925411291822193191483409847323315110393729020700526946712786793380991675008128561863631081095222226285788412970362518398757423705216112313533155390315204875516645459370629706277876211656753247984282379731850770447978537855070379324935282789327428625259945250066774049650951465043700088958965762054418615838049340724639373351248933494355591934236360506778496741051064156771092798005112534162050165095430065000827916096893408569751085550379620558282942254606978819033885539221416335848319082054806148859427713144286777516251724474319613960327799643723278205969253636514684757409059003348229151341200451785288395596484563480261212963114071064979559812327582474674812225260616757099890896900340007990585501470484762752362734968297532533654846190900571017635959385883945858334995884341767905619567505341752047589731815868489295690574109758825021386698440670611361127170896689015108432408490763723594673299472336065575301681055583084547847733168801030191262122130369687497236959760366874106043801542493392227424890925595734150487586757484304609945827925762382889592743709682485229267604771944535469557860120878491329984792448597107256325783346904408
n = 609305637099654478882754880905638123124918364116173050874864700996165096776233155524277418132679727857702738043786588380577485490575591029930152718828075976000078971987922107645530323356525126496562423491563365836491753476840795804040219013880969539154444387313029522565456897962200817021423704204077133003361140660038327458057898764857872645377236870759691588009666047187685654297678987435769051762120388537868493789773766688347724903911796741124237476823452505450704989455260077833828660552130714794889208291939055406292476845194489525212129635173284301782141617878483740788532998492403101324795726865866661786740345862631916793208037250277376942046905892342213663197755010315060990871143919384283302925469309777769989798197913048813940747488087191697903624669415774198027063997058701217124640082074789591591494106726857376728759663074734040755438623372683762856958888826373151815914621262862750497078245369680378038995425628467728412953392359090775734440671874387905724083226246587924716226512631671786591611586774947156657178654343092123117255372954798131265566301316033414311712092913492774989048057650627801991277862963173961355088082419091848569675686058581383542877982979697235829206442087786927939745804017455244315305118437
e1e2 = 3087
def rsa_gong_N_def(e1, e2, c1, c2, n):
e1, e2, c1, c2, n = int(e1), int(e2), int(c1), int(c2), int(n)
s = gmpy2.gcdext(e1, e2) # 扩展欧几里得算法
s1 = s[1]
s2 = s[2]
if s1 < 0:
s1 = - s1
c1 = gmpy2.invert(c1, n)
elif s2 < 0:
s2 = - s2
c2 = gmpy2.invert(c2, n)
m = (pow(c1, s1, n) * pow(c2, s2, n)) % n # m=(m^7)%n
return int(m)
def de(c, e, n): # 对m^k进行爆破
k = 0
while k < 1000:
mk = c + n * k
flag, true = gmpy2.iroot(mk, e) # 若能开方,则会返回true
if True == true:
return flag
k += 1
for e1 in range(2, e1e2):
if e1e2 % e1 == 0: # 爆破可整除的e1,e2
e2 = e1e2 // e1
c = rsa_gong_N_def(e1, e2, flag1, flag2, n) # 返回的结果为(m^k)%n,(m^7)%n
print(c)
e = gmpy2.gcd(e1, e2) # 求出e1和e2的最大公因数,7
m1 = de(c, e, n)
if m1:
print(long_to_bytes(int(m1)))
[SWPUCTF 2021新生赛]crypto2
题目:
from gmpy2 import *
from Crypto.Util.number import *
flag = '***************'
p = getPrime(512)
q = getPrime(512)
m1 = bytes_to_long(bytes(flag.encode()))
n = p * q
e1 = getPrime(32)
e2 = getPrime(32)
flag1 = pow(m1, e1, n) # flag1=(m1^e1)%n
flag2 = pow(m1, e2, n) # flag2=(m1^e2)%n (de)mod&n=1 m=(c2^d2)%n
print('flag1= ' + str(flag1))
print('flag2= ' + str(flag2))
print('e1= ' + str(e1))
print('e2= ' + str(e2))
print('n= ' + str(n))
# flag1= 100156221476910922393504870369139942732039899485715044553913743347065883159136513788649486841774544271396690778274591792200052614669235485675534653358596366535073802301361391007325520975043321423979924560272762579823233787671688669418622502663507796640233829689484044539829008058686075845762979657345727814280
# flag2= 86203582128388484129915298832227259690596162850520078142152482846864345432564143608324463705492416009896246993950991615005717737886323630334871790740288140033046061512799892371429864110237909925611745163785768204802056985016447086450491884472899152778839120484475953828199840871689380584162839244393022471075
# e1= 3247473589
# e2= 3698409173
# n= 103606706829811720151309965777670519601112877713318435398103278099344725459597221064867089950867125892545997503531556048610968847926307322033117328614701432100084574953706259773711412853364463950703468142791390129671097834871371125741564434710151190962389213898270025272913761067078391308880995594218009110313
思路:
思路与crypto相同,只是不需要爆破,因为gcd(e1,e2)=1
解题:
from gmpy2 import *
from Crypto.Util.number import *
from gmpy2 import gmpy2
flag1 = 100156221476910922393504870369139942732039899485715044553913743347065883159136513788649486841774544271396690778274591792200052614669235485675534653358596366535073802301361391007325520975043321423979924560272762579823233787671688669418622502663507796640233829689484044539829008058686075845762979657345727814280
flag2 = 86203582128388484129915298832227259690596162850520078142152482846864345432564143608324463705492416009896246993950991615005717737886323630334871790740288140033046061512799892371429864110237909925611745163785768204802056985016447086450491884472899152778839120484475953828199840871689380584162839244393022471075
e1 = 3247473589
e2 = 3698409173
n = 103606706829811720151309965777670519601112877713318435398103278099344725459597221064867089950867125892545997503531556048610968847926307322033117328614701432100084574953706259773711412853364463950703468142791390129671097834871371125741564434710151190962389213898270025272913761067078391308880995594218009110313
def rsa_gong_N_def(e1, e2, c1, c2, n):
e1, e2, c1, c2, n = int(e1), int(e2), int(c1), int(c2), int(n)
s = gmpy2.gcdext(e1, e2) # 扩展欧几里得算法 t*e1+z*e2=1,求出t和z
t = s[1]
z = s[2]
if t < 0: # 取反求逆
t = - t
c1 = gmpy2.invert(c1, n) # 求c1关于模n的逆元
elif z < 0:
z = -z
c2 = gmpy2.invert(c2, n)
m = (pow(c1, t, n) * pow(c2, z, n)) % n # (c1^s1*c2^s2)%n=m%n=m
return m
result = rsa_gong_N_def(e1, e2, flag1, flag2, n)
print(long_to_bytes(result))
[SWPUCTF 2021 新生赛]crypto1
题目:
from gmpy2 import *
from Crypto.Util.number import *
flag = '****************************'
flag = {"asfajgfbiagbwe"}
p = getPrime(2048)
q = getPrime(2048)
m1 = bytes_to_long(bytes(flag.encode()))
e1e2 = 3087
n = p*q
print()
flag1 = pow(m1,e1,n)
flag2 = pow(m1,e2,n)
print('flag1= '+str(flag1))
print('flag2= '+str(flag2))
print('n= '+str(n))
#flag1= 463634070971821449698012827631572665302589213868521491855038966879005784397309389922926838028598122795187584361359142761652619958273094398420314927073008031088375892957173280915904309949716842152249806486027920136603248454946737961650252641668562626310035983343018705370077783879047584582817271215517599531278507300104564011142229942160380563527291388260832749808727470291331902902518196932928128107067117198707209620169906575791373793854773799564060536121390593687449884988936522369331738199522700261116496965863870682295858957952661531894477603953742494526632841396338388879198270913523572980574440793543571757278020533565628285714358815083303489096524318164071888139412436112963845619981511061231001617406815056986634680975142352197476024575809514978857034477688443230263761729039797859697947454810551009108031457294164840611157524719173343259485881089252938664456637673337362424443150013961181619441267926981848009107466576314685961478748352388452114042115892243272514245081604607798243817586737546663059737344687130881861357423084448027959893402445303299089606081931041217035955143939567456782107203447898345284731038150377722447329202078375870541529539840051415759436083384408203659613313535094343772238691393447475364806171594
#flag2= 130959534275704453216282334815034647265875632781798750901627773826812657339274362406246297925411291822193191483409847323315110393729020700526946712786793380991675008128561863631081095222226285788412970362518398757423705216112313533155390315204875516645459370629706277876211656753247984282379731850770447978537855070379324935282789327428625259945250066774049650951465043700088958965762054418615838049340724639373351248933494355591934236360506778496741051064156771092798005112534162050165095430065000827916096893408569751085550379620558282942254606978819033885539221416335848319082054806148859427713144286777516251724474319613960327799643723278205969253636514684757409059003348229151341200451785288395596484563480261212963114071064979559812327582474674812225260616757099890896900340007990585501470484762752362734968297532533654846190900571017635959385883945858334995884341767905619567505341752047589731815868489295690574109758825021386698440670611361127170896689015108432408490763723594673299472336065575301681055583084547847733168801030191262122130369687497236959760366874106043801542493392227424890925595734150487586757484304609945827925762382889592743709682485229267604771944535469557860120878491329984792448597107256325783346904408
#n= 609305637099654478882754880905638123124918364116173050874864700996165096776233155524277418132679727857702738043786588380577485490575591029930152718828075976000078971987922107645530323356525126496562423491563365836491753476840795804040219013880969539154444387313029522565456897962200817021423704204077133003361140660038327458057898764857872645377236870759691588009666047187685654297678987435769051762120388537868493789773766688347724903911796741124237476823452505450704989455260077833828660552130714794889208291939055406292476845194489525212129635173284301782141617878483740788532998492403101324795726865866661786740345862631916793208037250277376942046905892342213663197755010315060990871143919384283302925469309777769989798197913048813940747488087191697903624669415774198027063997058701217124640082074789591591494106726857376728759663074734040755438623372683762856958888826373151815914621262862750497078245369680378038995425628467728412953392359090775734440671874387905724083226246587924716226512631671786591611586774947156657178654343092123117255372954798131265566301316033414311712092913492774989048057650627801991277862963173961355088082419091848569675686058581383542877982979697235829206442087786927939745804017455244315305118437
思路:
flag1 = pow(m1,e1,n)=c1
flag2 = pow(m1,e2,n)=c2
e1e2 = 3087
3087是合数可以分解成两个数e1和e2
3087=3^273
此时e1在3, 7, 3 * 3, 3 * 7, 7 * 7, 3 * 3 * 7, 3 * 7 * 7, 7 * 7 * 7, 3 * 7 * 7 * 7, 3 * 3 * 7 * 7内取值
爆破
此时flag1 和flag2存在相同的模n,只是e1和e2不同,题目可以进行共模攻击
共模攻击之前先求取e1和e2的最大公因数
g = gcd(e1, e2)
在进行拓展欧几里得算法
_, s, t = gcdext(e1, e2)
得到s,t后,求取M=m^gcd(e1, e2) = pow(c1, s, n) * pow(c2, t, n) % n
此时的到的只是m的gcd(e1, e2)次幂加上n的k倍
对k爆破分解即可
a = iroot(M + k * n, g)
if a[1]:
print(long_to_bytes(a[0]))
解题:
from gmpy2 import *
from Crypto.Util.number import *
c1= 463634070971821449698012827631572665302589213868521491855038966879005784397309389922926838028598122795187584361359142761652619958273094398420314927073008031088375892957173280915904309949716842152249806486027920136603248454946737961650252641668562626310035983343018705370077783879047584582817271215517599531278507300104564011142229942160380563527291388260832749808727470291331902902518196932928128107067117198707209620169906575791373793854773799564060536121390593687449884988936522369331738199522700261116496965863870682295858957952661531894477603953742494526632841396338388879198270913523572980574440793543571757278020533565628285714358815083303489096524318164071888139412436112963845619981511061231001617406815056986634680975142352197476024575809514978857034477688443230263761729039797859697947454810551009108031457294164840611157524719173343259485881089252938664456637673337362424443150013961181619441267926981848009107466576314685961478748352388452114042115892243272514245081604607798243817586737546663059737344687130881861357423084448027959893402445303299089606081931041217035955143939567456782107203447898345284731038150377722447329202078375870541529539840051415759436083384408203659613313535094343772238691393447475364806171594
c2= 130959534275704453216282334815034647265875632781798750901627773826812657339274362406246297925411291822193191483409847323315110393729020700526946712786793380991675008128561863631081095222226285788412970362518398757423705216112313533155390315204875516645459370629706277876211656753247984282379731850770447978537855070379324935282789327428625259945250066774049650951465043700088958965762054418615838049340724639373351248933494355591934236360506778496741051064156771092798005112534162050165095430065000827916096893408569751085550379620558282942254606978819033885539221416335848319082054806148859427713144286777516251724474319613960327799643723278205969253636514684757409059003348229151341200451785288395596484563480261212963114071064979559812327582474674812225260616757099890896900340007990585501470484762752362734968297532533654846190900571017635959385883945858334995884341767905619567505341752047589731815868489295690574109758825021386698440670611361127170896689015108432408490763723594673299472336065575301681055583084547847733168801030191262122130369687497236959760366874106043801542493392227424890925595734150487586757484304609945827925762382889592743709682485229267604771944535469557860120878491329984792448597107256325783346904408
n= 609305637099654478882754880905638123124918364116173050874864700996165096776233155524277418132679727857702738043786588380577485490575591029930152718828075976000078971987922107645530323356525126496562423491563365836491753476840795804040219013880969539154444387313029522565456897962200817021423704204077133003361140660038327458057898764857872645377236870759691588009666047187685654297678987435769051762120388537868493789773766688347724903911796741124237476823452505450704989455260077833828660552130714794889208291939055406292476845194489525212129635173284301782141617878483740788532998492403101324795726865866661786740345862631916793208037250277376942046905892342213663197755010315060990871143919384283302925469309777769989798197913048813940747488087191697903624669415774198027063997058701217124640082074789591591494106726857376728759663074734040755438623372683762856958888826373151815914621262862750497078245369680378038995425628467728412953392359090775734440671874387905724083226246587924716226512631671786591611586774947156657178654343092123117255372954798131265566301316033414311712092913492774989048057650627801991277862963173961355088082419091848569675686058581383542877982979697235829206442087786927939745804017455244315305118437
E = 3087
fac = [3, 3, 7, 7, 7]
factor = [3, 7, 3 * 3, 3 * 7, 7 * 7, 3 * 3 * 7, 3 * 7 * 7, 7 * 7 * 7, 3 * 7 * 7 * 7, 3 * 3 * 7 * 7]
for e1 in factor:
assert E % e1 == 0
e2 = E // e1
g = gcd(e1, e2)
print(g)
_, s, t = gcdext(e1, e2)
M = pow(c1, s, n) * pow(c2, t, n) % n
for k in range(1000000):
a = iroot(M + k * n, g)
if a[1]:
print(long_to_bytes(a[0]))
break
共享素数攻击
共享素数是指RSA加密时进行了两次加密,并且给出了加密钥e,两次加密的n1和n2,密文c。
[CISCN 2021初赛]rsa
题目:
from flag import text,flag
import md5
from Crypto.Util.number import long_to_bytes,bytes_to_long,getPrime
assert md5.new(text).hexdigest() == flag[6:-1]
msg1 = text[:xx]
msg2 = text[xx:yy]
msg3 = text[yy:]
msg1 = bytes_to_long(msg1)
msg2 = bytes_to_long(msg2)
msg3 = bytes_to_long(msg3)
p1 = getPrime(512)
q1 = getPrime(512)
N1 = p1*q1
e1 = 3
print pow(msg1,e1,N1)
print (e1,N1)
p2 = getPrime(512)
q2 = getPrime(512)
N2 = p2*q2
e2 = 17
e3 = 65537
print pow(msg2,e2,N2)
print pow(msg2,e3,N2)
print (e2,N2)
print (e3,N2)
p3 = getPrime(512)
q3 = getPrime(512)
N3 = p3*q3
print pow(msg3,e3,N3)
print (e3,N3)
print p3>>200
19105765285510667553313898813498220212421177527647187802549913914263968945493144633390670605116251064550364704789358830072133349108808799075021540479815182657667763617178044110939458834654922540704196330451979349353031578518479199454480458137984734402248011464467312753683234543319955893
(3, 123814470394550598363280518848914546938137731026777975885846733672494493975703069760053867471836249473290828799962586855892685902902050630018312939010564945676699712246249820341712155938398068732866646422826619477180434858148938235662092482058999079105450136181685141895955574548671667320167741641072330259009L)
54995751387258798791895413216172284653407054079765769704170763023830130981480272943338445245689293729308200574217959018462512790523622252479258419498858307898118907076773470253533344877959508766285730509067829684427375759345623701605997067135659404296663877453758701010726561824951602615501078818914410959610
91290935267458356541959327381220067466104890455391103989639822855753797805354139741959957951983943146108552762756444475545250343766798220348240377590112854890482375744876016191773471853704014735936608436210153669829454288199838827646402742554134017280213707222338496271289894681312606239512924842845268366950
(17, 111381961169589927896512557754289420474877632607334685306667977794938824018345795836303161492076539375959731633270626091498843936401996648820451019811592594528673182109109991384472979198906744569181673282663323892346854520052840694924830064546269187849702880332522636682366270177489467478933966884097824069977L)
(65537, 111381961169589927896512557754289420474877632607334685306667977794938824018345795836303161492076539375959731633270626091498843936401996648820451019811592594528673182109109991384472979198906744569181673282663323892346854520052840694924830064546269187849702880332522636682366270177489467478933966884097824069977L)
59213696442373765895948702611659756779813897653022080905635545636905434038306468935283962686059037461940227618715695875589055593696352594630107082714757036815875497138523738695066811985036315624927897081153190329636864005133757096991035607918106529151451834369442313673849563635248465014289409374291381429646
(65537, 113432930155033263769270712825121761080813952100666693606866355917116416984149165507231925180593860836255402950358327422447359200689537217528547623691586008952619063846801829802637448874451228957635707553980210685985215887107300416969549087293746310593988908287181025770739538992559714587375763131132963783147L)
7117286695925472918001071846973900342640107770214858928188419765628151478620236042882657992902s
思路:
题目给出了一堆参数 梳理一下
密文分成三部分m1 m2 m3
质数p1 q1 p2 q2 p3 q3
模数n1 n2 n3(均已知)
加密参数:e1=3 e2=17 e3=65537
密文:
c1=pow(m1,e1,n1)
c2=pow(m2,e2,n2)
c3=pow(m2,e3,n2)
c4=pow(m3,e3,n3)
第一部分:
c1 e=3 太小了一眼小明文攻击
第二部分:共同的模妥妥的共模攻击
c2 c3 同n2共模攻击
第三部分比较迷糊
一开始以为是共享素数攻击因为存在共同的e3,后面发现还输出了 p3>>200
这里猜测应该是针对p进行一些操作的攻击(因为给出了p的一些位数上的信息,又给出了n3),似乎是一种新的攻击方式。
查了一下果然有,找到了下面几篇文章(!!!!!涨知识啦)
对RSA-Factoring with High Bits Known理解
在进行p高位求解时可以在网站Sage Cell Server (sagemath.org)
本题p高位求解代码如下:
#sage
#p4已知高位
p4 = 7117286695925472918001071846973900342640107770214858928188419765628151478620236042882657992902
n = 113432930155033263769270712825121761080813952100666693606866355917116416984149165507231925180593860836255402950358327422447359200689537217528547623691586008952619063846801829802637448874451228957635707553980210685985215887107300416969549087293746310593988908287181025770739538992559714587375763131132963783147
#全位数
pbits = 512
#缺省位数
kbits = pbits - p4.nbits()#nbits()位数
print (p4.nbits())
p4 = p4 << kbits
PR.<x> = PolynomialRing(Zmod(n))
f = x + p4
x0 = f.small_roots(X=2^kbits, beta=0.4)[0]
p = p4+x0
print ("p: ", hex(int(p)))
assert n % p == 0
得到三个密文拼接后md5加密即可
解题:
from gmpy2 import *
from Crypto.Util.number import *
from hashlib import md5
#第一部分小明文
e = 3
n1 = 123814470394550598363280518848914546938137731026777975885846733672494493975703069760053867471836249473290828799962586855892685902902050630018312939010564945676699712246249820341712155938398068732866646422826619477180434858148938235662092482058999079105450136181685141895955574548671667320167741641072330259009
c1 = 19105765285510667553313898813498220212421177527647187802549913914263968945493144633390670605116251064550364704789358830072133349108808799075021540479815182657667763617178044110939458834654922540704196330451979349353031578518479199454480458137984734402248011464467312753683234543319955893
k = 0
while 1:
res = iroot(k*n1+c1,e)
if(res[1] == True):
m1 = res[0]
break
k += 1#第二部分共模攻击
e3 = 65537
e2 = 17
n2 = 111381961169589927896512557754289420474877632607334685306667977794938824018345795836303161492076539375959731633270626091498843936401996648820451019811592594528673182109109991384472979198906744569181673282663323892346854520052840694924830064546269187849702880332522636682366270177489467478933966884097824069977
c2_1 = 54995751387258798791895413216172284653407054079765769704170763023830130981480272943338445245689293729308200574217959018462512790523622252479258419498858307898118907076773470253533344877959508766285730509067829684427375759345623701605997067135659404296663877453758701010726561824951602615501078818914410959610
c2_2 = 91290935267458356541959327381220067466104890455391103989639822855753797805354139741959957951983943146108552762756444475545250343766798220348240377590112854890482375744876016191773471853704014735936608436210153669829454288199838827646402742554134017280213707222338496271289894681312606239512924842845268366950
s = gmpy2.gcdext(e2,e3)
m2_1 = pow(c2_1,s[1],n2)
m2_2 = pow(c2_2,s[2],n2)
m2 = (m2_1*m2_2)%n2#第三部分p高位泄露攻击
e3 = 65537
n3 = 113432930155033263769270712825121761080813952100666693606866355917116416984149165507231925180593860836255402950358327422447359200689537217528547623691586008952619063846801829802637448874451228957635707553980210685985215887107300416969549087293746310593988908287181025770739538992559714587375763131132963783147
c3 = 59213696442373765895948702611659756779813897653022080905635545636905434038306468935283962686059037461940227618715695875589055593696352594630107082714757036815875497138523738695066811985036315624927897081153190329636864005133757096991035607918106529151451834369442313673849563635248465014289409374291381429646
p3_200 = 7117286695925472918001071846973900342640107770214858928188419765628151478620236042882657992902
p = int('0xda5f14bacd97f5504f39eeef22af37e8551700296843e536760cea761d334508003e01b886c0c69b4365759fb42a3faaf0c8888106bb9dbb1137769a37d191a7',16)#需要转成16位后正常求解即可
q = n3 // p
d3 = invert(e3,(p-1)*(q-1))
m3 = pow(c3,d3,n3)
flag = long_to_bytes(m1)+long_to_bytes(m2)+long_to_bytes(m3)
print(md5(flag).hexdigest())
[羊城杯 2021 ]BigRSA
题目:
from Crypto.Util.number import *
from flag import *
n1 = 103835296409081751860770535514746586815395898427260334325680313648369132661057840680823295512236948953370895568419721331170834557812541468309298819497267746892814583806423027167382825479157951365823085639078738847647634406841331307035593810712914545347201619004253602692127370265833092082543067153606828049061
n2 = 115383198584677147487556014336448310721853841168758012445634182814180314480501828927160071015197089456042472185850893847370481817325868824076245290735749717384769661698895000176441497242371873981353689607711146852891551491168528799814311992471449640014501858763495472267168224015665906627382490565507927272073
e = 65537
m = bytes_to_long(flag)
c = pow(m, e, n1)
c = pow(c, e, n2)
print("c = %d" % c)
# output
# c = 60406168302768860804211220055708551816238816061772464557956985699400782163597251861675967909246187833328847989530950308053492202064477410641014045601986036822451416365957817685047102703301347664879870026582087365822433436251615243854347490600004857861059245403674349457345319269266645006969222744554974358264
上述题目中给出了几个关键的数,n1,n2,e,c。很明显是RSA的题目,但是我们知道RSA题目的目的就是通过获取每一个密文的d对模进行解密。但是题目中并没有给出该d。此时可以猜测n1和n2是否存在共享素数来解题。通过共享素数p=gcd(n1,n2)求取对应模n的q以及欧拉函数Ф(n),再通过Ф(n)以及e获取对应的d实现求解。由于当前题目只进行了两次加密,因此只需要通过对 对应模n、d和c的两次解密即可。
解题:
from Crypto.Util.number import *
from gmpy2 import powmod as po, gmpy2
import sympy
c = 60406168302768860804211220055708551816238816061772464557956985699400782163597251861675967909246187833328847989530950308053492202064477410641014045601986036822451416365957817685047102703301347664879870026582087365822433436251615243854347490600004857861059245403674349457345319269266645006969222744554974358264
n1 = 103835296409081751860770535514746586815395898427260334325680313648369132661057840680823295512236948953370895568419721331170834557812541468309298819497267746892814583806423027167382825479157951365823085639078738847647634406841331307035593810712914545347201619004253602692127370265833092082543067153606828049061
n2 = 115383198584677147487556014336448310721853841168758012445634182814180314480501828927160071015197089456042472185850893847370481817325868824076245290735749717384769661698895000176441497242371873981353689607711146852891551491168528799814311992471449640014501858763495472267168224015665906627382490565507927272073
e = 65537
q = gmpy2.gcd(n1, n2)#求n1和n2的最大公因数
p1 = n1 // q
p2 = n2 // q
fn1 = (q - 1) * (p2 - 1) # 求下面的&n
fn2 = (q - 1) * (p1 - 1) # 求上面的&n
d1 = inverse(e, fn1) # (de)mod((p-1)*(q-1))=1 求到第一次解密密钥d1
d2 = inverse(e, fn2) # 求出第二次解密密钥d2
m = pow(c, d2, n2) # 先对第二次加密进行解密
m = pow(m, d1, n1) # 用第二次解密结果继续解密
print(long_to_bytes(m))
[SWPU 2020]happy
不知道为啥会被打上共享素数的标签
题目:
('c=', '0x7a7e031f14f6b6c3292d11a41161d2491ce8bcdc67ef1baa9eL')
('e=', '0x872a335')
#q + q*p^3 =1285367317452089980789441829580397855321901891350429414413655782431779727560841427444135440068248152908241981758331600586
#qp + q *p^2 = 1109691832903289208389283296592510864729403914873734836011311325874120780079555500202475594
思路:
发现题目并没有明确给出 n p q 这需要我们根据题目给出的条件自己求
a=q + qp^3 =q(1+p)*(p^2-p+1)
b=qp + q p^2 =qp*(1+p)
发现a和b存在公约数gcd(a,b)=q*(1+p)
p=b//gcd(a,b)
q=gcd(a,b)//(p+1)
p q 已经给出了只需要根据
n=p*q
Ф(n)=(p-1)*(q-1)
d为e模Ф(n)的逆元
m=pow(c,d,n)
解题:
import gmpy2
from Crypto.Util.number import *
a=1285367317452089980789441829580397855321901891350429414413655782431779727560841427444135440068248152908241981758331600586
b=1109691832903289208389283296592510864729403914873734836011311325874120780079555500202475594
p=b//gmpy2.gcd(a,b)
q=gmpy2.gcd(a,b)//(1+p)
# q = 827089796345539312201480770649
# p = 1158310153629932205401500375817
c = 0x7a7e031f14f6b6c3292d11a41161d2491ce8bcdc67ef1baa9e
e = 0x872a335
n = p*q
d = gmpy2.invert(e,(p-1)*(q-1))
m = pow(c,d,n)
print(long_to_bytes(m))
[BJDCTF 2020]rsa
题目:
from Crypto.Util.number import getPrime,bytes_to_long
flag=open("flag","rb").read()
p=getPrime(1024)
q=getPrime(1024)
assert(e<100000)
n=p*q
m=bytes_to_long(flag)
c=pow(m,e,n)
print c,n
print pow(294,e,n)
p=getPrime(1024)
n=p*q
m=bytes_to_long("BJD"*32)
c=pow(m,e,n)
print c,n
'''
output:
12641635617803746150332232646354596292707861480200207537199141183624438303757120570096741248020236666965755798009656547738616399025300123043766255518596149348930444599820675230046423373053051631932557230849083426859490183732303751744004874183062594856870318614289991675980063548316499486908923209627563871554875612702079100567018698992935818206109087568166097392314105717555482926141030505639571708876213167112187962584484065321545727594135175369233925922507794999607323536976824183162923385005669930403448853465141405846835919842908469787547341752365471892495204307644586161393228776042015534147913888338316244169120 13508774104460209743306714034546704137247627344981133461801953479736017021401725818808462898375994767375627749494839671944543822403059978073813122441407612530658168942987820256786583006947001711749230193542370570950705530167921702835627122401475251039000775017381633900222474727396823708695063136246115652622259769634591309421761269548260984426148824641285010730983215377509255011298737827621611158032976420011662547854515610597955628898073569684158225678333474543920326532893446849808112837476684390030976472053905069855522297850688026960701186543428139843783907624317274796926248829543413464754127208843070331063037
381631268825806469518166370387352035475775677163615730759454343913563615970881967332407709901235637718936184198930226303761876517101208677107311006065728014220477966000620964056616058676999878976943319063836649085085377577273214792371548775204594097887078898598463892440141577974544939268247818937936607013100808169758675042264568547764031628431414727922168580998494695800403043312406643527637667466318473669542326169218665366423043579003388486634167642663495896607282155808331902351188500197960905672207046579647052764579411814305689137519860880916467272056778641442758940135016400808740387144508156358067955215018
979153370552535153498477459720877329811204688208387543826122582132404214848454954722487086658061408795223805022202997613522014736983452121073860054851302343517756732701026667062765906277626879215457936330799698812755973057557620930172778859116538571207100424990838508255127616637334499680058645411786925302368790414768248611809358160197554369255458675450109457987698749584630551177577492043403656419968285163536823819817573531356497236154342689914525321673807925458651854768512396355389740863270148775362744448115581639629326362342160548500035000156097215446881251055505465713854173913142040976382500435185442521721 12806210903061368369054309575159360374022344774547459345216907128193957592938071815865954073287532545947370671838372144806539753829484356064919357285623305209600680570975224639214396805124350862772159272362778768036844634760917612708721787320159318432456050806227784435091161119982613987303255995543165395426658059462110056431392517548717447898084915167661172362984251201688639469652283452307712821398857016487590794996544468826705600332208535201443322267298747117528882985955375246424812616478327182399461709978893464093245135530135430007842223389360212803439850867615121148050034887767584693608776323252233254261047
'''
思路:
题目给出了5个参数c n c1 c2 n2 还有隐藏参数m2
其中
c=m^e(mod n)
c1=294^e(mod n)
c2=m2^e(mod n2)
n1=p*q
n2=p1*q
可以看出来gcd(n1,n2)=q 但是想要知道m还需要知道d的值
d的值需要通过Ф(n)和e来得到,题目已经给出了e的范围,此时可以通过爆破294^e(mod n)对比c2的值得到e p=n//q
e有了通过求取Ф(n)=(p-1)*(q-1)
d=gmpy2.invert(e, Ф(n))
m=pow(c,d,n)
解题:
import gmpy2
from Crypto.Util.number import *
#output:
c = 12641635617803746150332232646354596292707861480200207537199141183624438303757120570096741248020236666965755798009656547738616399025300123043766255518596149348930444599820675230046423373053051631932557230849083426859490183732303751744004874183062594856870318614289991675980063548316499486908923209627563871554875612702079100567018698992935818206109087568166097392314105717555482926141030505639571708876213167112187962584484065321545727594135175369233925922507794999607323536976824183162923385005669930403448853465141405846835919842908469787547341752365471892495204307644586161393228776042015534147913888338316244169120
n = 13508774104460209743306714034546704137247627344981133461801953479736017021401725818808462898375994767375627749494839671944543822403059978073813122441407612530658168942987820256786583006947001711749230193542370570950705530167921702835627122401475251039000775017381633900222474727396823708695063136246115652622259769634591309421761269548260984426148824641285010730983215377509255011298737827621611158032976420011662547854515610597955628898073569684158225678333474543920326532893446849808112837476684390030976472053905069855522297850688026960701186543428139843783907624317274796926248829543413464754127208843070331063037
c1 = 381631268825806469518166370387352035475775677163615730759454343913563615970881967332407709901235637718936184198930226303761876517101208677107311006065728014220477966000620964056616058676999878976943319063836649085085377577273214792371548775204594097887078898598463892440141577974544939268247818937936607013100808169758675042264568547764031628431414727922168580998494695800403043312406643527637667466318473669542326169218665366423043579003388486634167642663495896607282155808331902351188500197960905672207046579647052764579411814305689137519860880916467272056778641442758940135016400808740387144508156358067955215018
c2 = 979153370552535153498477459720877329811204688208387543826122582132404214848454954722487086658061408795223805022202997613522014736983452121073860054851302343517756732701026667062765906277626879215457936330799698812755973057557620930172778859116538571207100424990838508255127616637334499680058645411786925302368790414768248611809358160197554369255458675450109457987698749584630551177577492043403656419968285163536823819817573531356497236154342689914525321673807925458651854768512396355389740863270148775362744448115581639629326362342160548500035000156097215446881251055505465713854173913142040976382500435185442521721
n2 = 12806210903061368369054309575159360374022344774547459345216907128193957592938071815865954073287532545947370671838372144806539753829484356064919357285623305209600680570975224639214396805124350862772159272362778768036844634760917612708721787320159318432456050806227784435091161119982613987303255995543165395426658059462110056431392517548717447898084915167661172362984251201688639469652283452307712821398857016487590794996544468826705600332208535201443322267298747117528882985955375246424812616478327182399461709978893464093245135530135430007842223389360212803439850867615121148050034887767584693608776323252233254261047
q = gmpy2.gcd(n,n2)
p = n // q
for e in range(100000):
if c1 == pow(294,e,n):
print('e = ',e)
break
m = pow(c, gmpy2.invert(e, (q-1) * (p-1)), n)
print(long_to_bytes(m))
[闽盾杯 2021]decode
题目:
n1:
15228664629164509105936278301396170708905691970126305196584505186788860519598413718493859625462561931380632032431490419378905593909771649295663481782473029836321132574188559245931660756414915507930357509270674460219615256962333464689419869130366867401404262606367700782040693275068101244535880649261286041921882470460606034302142183971677715439862839410834231609821777031530457674591868138859358815039755085358568037032478394036448363183057305077227769673701227083943898736796552550712057417053897722979700329662099072959306298177351997084389916443815546425080826441671985030755256185725913397986385179516049927425591
n2:
28182418532443955655250943929828439725377604572088962537896240628709829618999901367131159759359513146864646169253348651905865895468151210748207509325666501438590382812326109260537618829438786609626137074778638549998280533912080708785604673270460635181275360847313985764185991865570533815651261638439461846512012164531330949433517277559149828806588070421852157781670188281908625986974579194819272643409859915715455134433970119584552350648013116998668938513347083566970423327936691885137812528912263666957628197241313496232397910546498542303925205356813548741679943691886217742767778075067797422624969714343428365022749
n3:
18355811159408154065817199279776805621878757240392366715869421799780946779485225342662736231980532326015283372375030686507311099745671828649419794838611580909610100636296701054995302819692794479292794716441442731393027118795245239019609474743841061251498233337758043553376098591254587406941205804917663153256036922860462415387926973551020540123742773938055950168965005226319984869124543783579240130888344231027912143592472823564266887957101575622993773291455143915263715932280728961208233983782906070719786115187115449430196335973764600533097718947377609348244073036523422892353195107093782201003551217830556519184839
e1:
65537
e2:
27751
e3:
65537
c1:
5368342382489380107251269030258282008067103595899117880173297169710980852124379736420135829984131832023988667774795223808420069001078159756328642298736759964890517323144475742861501409284299556459601222657540302786301791897975932176538612601162552795835603779910738886150925504885639254302406755008796950704938463132687940418772021406619622090999564746948113296328739593309200238996686945891130656599419832796482095787039339269564880847130379179831744694000940207887150388411084465949903406848727641093033681144598595895383689139227400553234701993087147186292040330589331703587405822925483701667354935313494938769206
c2:
21521672635651854919517759696514027081496995002884626306313384597771682621826437868933822942195279941318573525337109548152966094293276717095298929811895186384560362917891928656637913236676702009205642367801075592458101830488916914437754803979953027152373619293870115731171449223105986403604973873007338969000153480949617700626516389419935352576014084068271819009465242491467427642787306345049280205827574043586767133396458785487959251540831856187380154825027964867977651727983254127239427622549059938701125498520279503972702883327594442747467858234391945790597844344295786118320620376681461727686876948563884520137741
c3:
13940747781246179701167820858098775936269078279837839169409057305686612176371099274767269714494905207551971162649902129137425806839867713157472497469542260664882313041602553845621113546259276402534229231780532278276697961222319054833980226978574905974878218905613341365260453461080117407529132948986104191917111000811731784483944945364091757083949827612260904757837644538366763161154611658652020868326985526984718638276184626634240096213703958275241215175054246685206226179114590838833694648062135027841593419815101363262701960507235056752424778384286627997500871204804629047307688466887868894491042058198480775705486
思路:
给出了三组n e c分别是n1 e1 c1 n2 e2 c2 n3 e3 c3,其中e1=e3,e相同,n不同的情况直接共享素数攻击啦。
遇到这种只给多组参数的情况首选共享素数攻击。
先gcd n1 n2 n3两两之间的共享素数然后直接Ф(n1),Ф(n2),Ф(n3),在然后mi=pow(ci,Ф(ni),ni)
解题:
import libnum
e1 = 65537
e2 = 27751
e3 = 65537
n1 = 15228664629164509105936278301396170708905691970126305196584505186788860519598413718493859625462561931380632032431490419378905593909771649295663481782473029836321132574188559245931660756414915507930357509270674460219615256962333464689419869130366867401404262606367700782040693275068101244535880649261286041921882470460606034302142183971677715439862839410834231609821777031530457674591868138859358815039755085358568037032478394036448363183057305077227769673701227083943898736796552550712057417053897722979700329662099072959306298177351997084389916443815546425080826441671985030755256185725913397986385179516049927425591
n2 = 28182418532443955655250943929828439725377604572088962537896240628709829618999901367131159759359513146864646169253348651905865895468151210748207509325666501438590382812326109260537618829438786609626137074778638549998280533912080708785604673270460635181275360847313985764185991865570533815651261638439461846512012164531330949433517277559149828806588070421852157781670188281908625986974579194819272643409859915715455134433970119584552350648013116998668938513347083566970423327936691885137812528912263666957628197241313496232397910546498542303925205356813548741679943691886217742767778075067797422624969714343428365022749
n3 = 18355811159408154065817199279776805621878757240392366715869421799780946779485225342662736231980532326015283372375030686507311099745671828649419794838611580909610100636296701054995302819692794479292794716441442731393027118795245239019609474743841061251498233337758043553376098591254587406941205804917663153256036922860462415387926973551020540123742773938055950168965005226319984869124543783579240130888344231027912143592472823564266887957101575622993773291455143915263715932280728961208233983782906070719786115187115449430196335973764600533097718947377609348244073036523422892353195107093782201003551217830556519184839
c1 = 5368342382489380107251269030258282008067103595899117880173297169710980852124379736420135829984131832023988667774795223808420069001078159756328642298736759964890517323144475742861501409284299556459601222657540302786301791897975932176538612601162552795835603779910738886150925504885639254302406755008796950704938463132687940418772021406619622090999564746948113296328739593309200238996686945891130656599419832796482095787039339269564880847130379179831744694000940207887150388411084465949903406848727641093033681144598595895383689139227400553234701993087147186292040330589331703587405822925483701667354935313494938769206
c2 = 21521672635651854919517759696514027081496995002884626306313384597771682621826437868933822942195279941318573525337109548152966094293276717095298929811895186384560362917891928656637913236676702009205642367801075592458101830488916914437754803979953027152373619293870115731171449223105986403604973873007338969000153480949617700626516389419935352576014084068271819009465242491467427642787306345049280205827574043586767133396458785487959251540831856187380154825027964867977651727983254127239427622549059938701125498520279503972702883327594442747467858234391945790597844344295786118320620376681461727686876948563884520137741
c3 = 13940747781246179701167820858098775936269078279837839169409057305686612176371099274767269714494905207551971162649902129137425806839867713157472497469542260664882313041602553845621113546259276402534229231780532278276697961222319054833980226978574905974878218905613341365260453461080117407529132948986104191917111000811731784483944945364091757083949827612260904757837644538366763161154611658652020868326985526984718638276184626634240096213703958275241215175054246685206226179114590838833694648062135027841593419815101363262701960507235056752424778384286627997500871204804629047307688466887868894491042058198480775705486
p1 = libnum.gcd(n1,n2)
p2 = libnum.gcd(n2,n3)
q1 = n1//p1
q2 = n2 //p1
q3 = n3// p2
phi_1 = (p1-1)*(q1-1)
phi_2 = (p1-1)*(q2-1)
phi_3 = (p2-1)*(q3-1)
d1 = libnum.invmod(e1,phi_1)
d2 = libnum.invmod(e2,phi_2)
d3 = libnum.invmod(e3,phi_3)
print(libnum.n2s(pow(c1,d1,n1)))
print(libnum.n2s(pow(c2,d2,n2)))
print(libnum.n2s(pow(c3,d3,n3)))
RSA已知高位攻击
对RSA-Factoring with High Bits Known理解
其中涉及到环的知识,这就去看抽象代数,等我回来。
维纳攻击
特征是e的值非常大,这就导致了d的值会比较小。
有一个数论知识点 连分数 还得学
参考文献 :
[HGAME 2022 week3]RSA attack 3
题目:
from Crypto.Util.number import getPrime
from gmpy2 import invert
from libnum import s2n
from secret import flag
p = getPrime(2048)
q = getPrime(2048)
n = p * q
d = getPrime(64)
e = invert(d, (p - 1) * (q - 1))
c = pow(s2n(flag), e, n)
print(f"n = {n}")
print(f"e = {e}")
print(f"c = {c}")
n = 507419170088344932990702256911694788408493968749527614421614568612944144764889717229444020813658893362983714454159980719026366361318789415279417172858536381938870379267670180128174798344744371725609827872339512302232610590888649555446972990419313445687852636305518801236132032618350847705234643521557851434711389664130274468354405273873218264222293858509477860634889001898462547712800153111774564939279190835857445378261920532206352364005840238252284065587291779196975457288580812526597185332036342330147250312262816994625317482869849388424397437470502449815132000588425028055964432298176942124697105509057090546600330760364385753313923003549670107599757996810939165300581847068233156887269181096893089415302163770884312255957584660964506028002922164767453287973102961910781312351686488047510932997937700597992705557881172640175117476017503918294534205898046483981707558521558992058512940087192655700351675718815723840568640509355338482631416345193176708501897458649841539192993142790402734898948352382350766125000186026261167277014748183012844440603384989647664190074853086693408529737767147592432979469020671772152652865219092597717869942730499507426269170189547020660681363276871874469322437194397171763927907099922324375991793759
e = 77310199867448677782081572109343472783781135641712597643597122591443011229091533516758925238949755491395489408922437493670252550920826641442189683907973926843505436730014899918587477913032286153545247063493885982941194996251799882984145155733050069564485120660716110828110738784644223519725613280140006783618393995138076030616463398284819550627612102010214315235269945251741407899692274978642663650687157736417831290404871181902463904311095448368498432147292938825418930527188720696497596867575843476810225152659244529481480993843168383016583068747733118703000287423374094051895724494193455175131120243097065270804457787026492578916584536863548445813916819417857064037664101684455000184987531252344582899589746272173970083733130106407810619258077266603898529285634495710846838011858287024329514491058790557305041389614650730267774482954666726949886313386881066593946789460028399523245777171320319444673551268379126203862576627540177888290265714418064334752499940587750374552330008143708562065940245637685833371348603338834447212248648869514585047871442060412622164276894766238383894693759347590977926306581080390685360615407766600573527565016914830132066428454738135380178959590692145577418811677639050929791996313180297924833690095
c = 165251729917394529793163344300848992394021337429474789711805041655116845722480301677817165053253655027459227404782607373107477419083333844871948673626672704233977397989843349633720167495862807995411682262559392496273163155214888276398332204954185252030616473235814999366132031184631541209554169938146205402400412307638567132128690379079483633171535375278689326189057930259534983374296873110199636558962144635514392282351103900375366360933088605794654279480277782805401749872568584335215630740265944133347038070337891035560658434763924576508969938866566235926587685108811154229747423410476421860059769485356567301897413767088823807510568561254627099309752215808220067495561412081320541540679503218232020279947159175547517811501280846596226165148013762293861131544331444165070186672186027410082671602892508739473724143698396105392623164025712124329254933353509384748403154342322725203183050328143736631333990445537119855865348221215277608372952942702104088940952142851523651639574409075484106857403651453121036577767672430612728022444370874223001778580387635197325043524719396707713385963432915855227152371800527536048555551237729690663544828830627192867570345853910196397851763591543484023134551876591248557980182981967782409054277224
思路:
乍一看题目很简单 ,常规的RSA题目
但是题目比常规RSA缺少了关于pq的提示,题目中只有 两点与常规RSA不同的地方,
(1)m=s2n(flag) 字符串转为二进制无关紧要
(2)e是一个相当大的数字,与n差了一位
考虑到n=pq d=gmpy2.invert(e,(p-1)(q-1))
查了一下:维纳攻击
解题:
import gmpy2
import libnum
def continuedFra(x, y):
cf = []
while y:
cf.append(x // y)
x, y = y, x % y
return cf
def gradualFra(cf):
numerator = 0
denominator = 1
for x in cf[::-1]:
numerator, denominator = denominator, x * denominator + numerator
return numerator, denominator
def solve_pq(a, b, c):
par = gmpy2.isqrt(b * b - 4 * a * c)
return (-b + par) // (2 * a), (-b - par) // (2 * a)
def getGradualFra(cf):
gf = []
for i in range(1, len(cf) + 1):
gf.append(gradualFra(cf[:i]))
return gf
def wienerAttack(e, n):
cf = continuedFra(e, n)
gf = getGradualFra(cf)
for d, k in gf:
if k == 0: continue
if (e * d - 1) % k != 0:
continue
phi = (e * d - 1) // k
p, q = solve_pq(1, n - phi + 1, n)
if p * q == n:
return d
n= 507419170088344932990702256911694788408493968749527614421614568612944144764889717229444020813658893362983714454159980719026366361318789415279417172858536381938870379267670180128174798344744371725609827872339512302232610590888649555446972990419313445687852636305518801236132032618350847705234643521557851434711389664130274468354405273873218264222293858509477860634889001898462547712800153111774564939279190835857445378261920532206352364005840238252284065587291779196975457288580812526597185332036342330147250312262816994625317482869849388424397437470502449815132000588425028055964432298176942124697105509057090546600330760364385753313923003549670107599757996810939165300581847068233156887269181096893089415302163770884312255957584660964506028002922164767453287973102961910781312351686488047510932997937700597992705557881172640175117476017503918294534205898046483981707558521558992058512940087192655700351675718815723840568640509355338482631416345193176708501897458649841539192993142790402734898948352382350766125000186026261167277014748183012844440603384989647664190074853086693408529737767147592432979469020671772152652865219092597717869942730499507426269170189547020660681363276871874469322437194397171763927907099922324375991793759
e= 77310199867448677782081572109343472783781135641712597643597122591443011229091533516758925238949755491395489408922437493670252550920826641442189683907973926843505436730014899918587477913032286153545247063493885982941194996251799882984145155733050069564485120660716110828110738784644223519725613280140006783618393995138076030616463398284819550627612102010214315235269945251741407899692274978642663650687157736417831290404871181902463904311095448368498432147292938825418930527188720696497596867575843476810225152659244529481480993843168383016583068747733118703000287423374094051895724494193455175131120243097065270804457787026492578916584536863548445813916819417857064037664101684455000184987531252344582899589746272173970083733130106407810619258077266603898529285634495710846838011858287024329514491058790557305041389614650730267774482954666726949886313386881066593946789460028399523245777171320319444673551268379126203862576627540177888290265714418064334752499940587750374552330008143708562065940245637685833371348603338834447212248648869514585047871442060412622164276894766238383894693759347590977926306581080390685360615407766600573527565016914830132066428454738135380178959590692145577418811677639050929791996313180297924833690095
c= 165251729917394529793163344300848992394021337429474789711805041655116845722480301677817165053253655027459227404782607373107477419083333844871948673626672704233977397989843349633720167495862807995411682262559392496273163155214888276398332204954185252030616473235814999366132031184631541209554169938146205402400412307638567132128690379079483633171535375278689326189057930259534983374296873110199636558962144635514392282351103900375366360933088605794654279480277782805401749872568584335215630740265944133347038070337891035560658434763924576508969938866566235926587685108811154229747423410476421860059769485356567301897413767088823807510568561254627099309752215808220067495561412081320541540679503218232020279947159175547517811501280846596226165148013762293861131544331444165070186672186027410082671602892508739473724143698396105392623164025712124329254933353509384748403154342322725203183050328143736631333990445537119855865348221215277608372952942702104088940952142851523651639574409075484106857403651453121036577767672430612728022444370874223001778580387635197325043524719396707713385963432915855227152371800527536048555551237729690663544828830627192867570345853910196397851763591543484023134551876591248557980182981967782409054277224
d=wienerAttack(e, n)
m=pow(c, d, n)
print(libnum.n2s(m).decode())
今天只要你给我的文章点赞,我私藏的网安学习资料一样免费共享给你们,来看看有哪些东西。
网络安全学习资源分享:
最后给大家分享我自己学习的一份全套的网络安全学习资料,希望对想学习 网络安全的小伙伴们有帮助!
零基础入门
对于从来没有接触过网络安全的同学,我们帮你准备了详细的学习成长路线图。可以说是最科学最系统的学习路线,大家跟着这个大的方向学习准没问题。
【点击领取】优快云大礼包:《黑客&网络安全入门&进阶学习资源包》免费分享
1.学习路线图

攻击和防守要学的东西也不少,具体要学的东西我都写在了上面的路线图,如果你能学完它们,你去接私活完全没有问题。
2.视频教程
网上虽然也有很多的学习资源,但基本上都残缺不全的,这是我自己录的网安视频教程,上面路线图的每一个知识点,我都有配套的视频讲解。【点击领取视频教程】

技术文档也是我自己整理的,包括我参加大型网安行动、CTF和挖SRC漏洞的经验和技术要点,电子书也有200多本【点击领取技术文档】

(都打包成一块的了,不能一一展开,总共300多集)
3.技术文档和电子书
技术文档也是我自己整理的,包括我参加大型网安行动、CTF和挖SRC漏洞的经验和技术要点,电子书也有200多本【点击领取书籍】

4.工具包、面试题和源码
“工欲善其事必先利其器”我为大家总结出了最受欢迎的几十款款黑客工具。涉及范围主要集中在 信息收集、Android黑客工具、自动化工具、网络钓鱼等,感兴趣的同学不容错过。

最后就是我这几年整理的网安方面的面试题,如果你是要找网安方面的工作,它们绝对能帮你大忙。
这些题目都是大家在面试深信服、奇安信、腾讯或者其它大厂面试时经常遇到的,如果大家有好的题目或者好的见解欢迎分享。
参考解析:深信服官网、奇安信官网、Freebuf、csdn等
内容特点:条理清晰,含图像化表示更加易懂。
内容概要:包括 内网、操作系统、协议、渗透测试、安服、漏洞、注入、XSS、CSRF、SSRF、文件上传、文件下载、文件包含、XXE、逻辑漏洞、工具、SQLmap、NMAP、BP、MSF…

朋友们如果有需要全套《黑客&网络安全入门&进阶学习资源包》,点击下方链接即可前往获取
优快云大礼包:《黑客&网络安全入门&进阶学习资源包》免费分享
1592

被折叠的 条评论
为什么被折叠?



