文章目录
- 一.key
- 二.value的五种数据类型
- 2.1 String
- 2.1.1 简介
- 2.1.2 常用命令
- (1) 添加键值对
- (2) 查询对应键值
- (3) 将给定的value 追加到原值的末尾
- (4) 获得值的长度
- (5) 将 key 中储存的数字值增1
- (6) 将 key 中储存的数字值减1
- (7) 将 key 中储存的数字值增减,自定义步长
- (8) 同时设置一个或多个 key-value对
- (9) 同时获取一个或多个 value
- (10) 同时设置一个或多个 key-value 对,当且仅当所有给定 key 都不存在
- (11) 截取字符串,类似java中的substring
- (12) 用 value 覆写key所储存的字符串值,从起始位置开始(索引从0开始)
- (13) 设置键值的同时,设置过期时间,单位秒
- (14) 以新换旧,设置了新值同时获得旧值
- 2.1.3 数据结构
- 2.2 List
- 2.3 Set
- 2.4 哈希(Hash)
- 2.5 有序集合Zset(sorted set)
一.key
1.1 简介
Redis key值是二进制安全的,即可以用任何二进制序列作为key值,从形如”foo”的简单字符串到一个JPEG文件的内容都可以。空字符串也是有效key值
注:
定义key的规则:
避免太长的键,不仅因为消耗内存,而且在数据中查找这类键值的计算成本很高;
避免太短的键,如使用u:1000:pwd代替user:1000:password,但后者更易阅读,并且由此增加的空间消耗相对于key object和value object本身来说很小;
最好坚持一种模式。如:object-type:id:field
1.2 key
(1) 按模式匹配对应的key
keys pattern

(2) 判断key是否存在
exists key

(3) 查看key的类型
type key

(4) 删除指定的key
del key

(5) 根据value选择非阻塞删除
unlink key
仅将keys从keyspace元数据中删除,真正的删除会在后续异步操作
(6) 为给定的key设置过期时间(单位 秒)
expire key 10

(7) 查看key还有多少秒过期,-1表示永不过期,-2表示已过期
ttl key

1.2 redis原子性

原子操作是指不会被线程调度机制打断的操作;这种操作一旦开始,就一直运行到结束,中间不会有任何 context switch (切换到另一个线程)。
(1)在单线程中, 能够在单条指令中完成的操作都可以认为是"原子操作",因为中断只能发生于指令之间
(2)在多线程中,不能被其它进程(线程)打断的操作就叫原子操作
Redis命令的原子性主要得益于Redis的单线程
二.value的五种数据类型
2.1 String
2.1.1 简介
String是Redis value的最基本类型
String类型是二进制安全的,意味着Redis的string可以包含任何数据,比如jpg图片或者序列化的对象。
String类型是Redis最基本的数据类型,一个Redis中字符串value最多可以是512M
字符串类型的内部编码有3种:int:8个字节的长整型;embstr:小于等于39个字节的字符串;raw:大于39个字节的字符串。
2.1.2 常用命令
(1) 添加键值对
若原来存在,默认会存在覆盖
set <key> <value>

NX:当数据库中key不存在时,可以将key-value添加数据库,可用于分布式锁
XX:当数据库中key存在时,可以将key-value添加数据库,与NX参数互斥
EX:key的超时秒数
PX:key的超时毫秒数,与EX互斥

(2) 查询对应键值
get <key>

(3) 将给定的value 追加到原值的末尾
append <key> <value>

(4) 获得值的长度
strlen <key>

(5) 将 key 中储存的数字值增1
incr <key>

INCR 命令将字符串值解析成整型,将其加一,最后将结果保存为新的字符串值,类似的命令有INCRBY, DECR 和 DECRBY,实际上他们在内部就是同一个命令。
INCR是原子操作意味着什么呢?即使多个客户端对同一个key发出INCR命令,也决不会导致竞争的情况。客户端1和客户端2同时读出“10”,二者均对其加到11,然后将新值最终设置为11永远不可能发生,最终的值一定是12。read-increment-set操作完成时,其他客户端不会在同一时间执行任何命令。
(6) 将 key 中储存的数字值减1
decr <key>

只能对数字值操作,如果为空,值为-1
(7) 将 key 中储存的数字值增减,自定义步长
incrby / decrby <key> <步长>

(8) 同时设置一个或多个 key-value对
mset <key1> <value1> <key2> <value2> .....

(9) 同时获取一个或多个 value
mget <key1><key2><key3> .....

(10) 同时设置一个或多个 key-value 对,当且仅当所有给定 key 都不存在
msetnx <key1> <value1> <key2> <value2> .....

原子性,有一个失败则都失败
(11) 截取字符串,类似java中的substring
getrange <key> <起始位置> <结束位置>

(12) 用 value 覆写key所储存的字符串值,从起始位置开始(索引从0开始)
setrange <key> <起始位置> <value>
(13) 设置键值的同时,设置过期时间,单位秒
setex <key> <过期时间> <value>
(14) 以新换旧,设置了新值同时获得旧值
getset <key> <value>
如:系统中每当有新用户访问时就用INCR命令操作一个Redis key。若每小时对这个信息收集一次。可使用GETSET给其赋值0并读取原值。
2.1.3 数据结构
String的数据结构为简单动态字符串(Simple Dynamic String,缩写SDS)。采用预分配冗余空间的方式来减少内存的频繁分配。
如图中所示,为String类型实际分配的空间一般要高于实际字符串长度len。当字符串长度小于1M时,扩容都是加倍现有的空间,如果超过1M,扩容时一次只会多扩1M的空间。
2.2 List
2.2.1 简介
单键多值
Redis 列表是简单的字符串列表,按照插入顺序排序。可以添加一个元素到列表的头部(左边)或者尾部(右边)。
Redis lists基于LinkedList实现。这意味着即使在一个list中有数百万个元素,在头部或尾部添加一个元素的操作,其时间复杂度也是常数级别的。用LPUSH 命令在十个元素的list头部添加新元素,和在千万元素list头部添加新元素的速度相同。
相对应的,在数组实现的list中利用索引访问元素的速度极快,而同样的操作在linkedlist实现的list上没有那么快。
所以:如何快速地在很大的列表上添加元素,建议使用List;如果快速访问集合元素很重要,建议使用可排序集合(sorted sets)。

2.2.2 常用命令
(1) 从左边/右边插入一个或多个值
lpush/rpush <key> <value1> <value2> <value3> ....


如:在博客引擎实现中,可为每篇日志设置一个list,推入博客评论
注:
使用LPUSH和RPOP实现生产者和消费者模型,会遇到这种情景:list是空,这时候消费者就需要轮询来获取数据,这样就会增加redis的访问压力、增加消费端的cpu时间,而很多访问都是无用的。为此redis提供了阻塞式访问 BRPOP 和 BLPOP 命令。 消费者可以在获取数据时指定如果数据不存在阻塞的时间,如果在时限内获得数据则立即返回,如果超时还没有数据则返回null, 0表示一直阻塞。
(2) 从左边/右边吐出一个值。值在键在,值光键亡
lpop/rpop <key>

(3) 从key1列表右边吐出一个值,插到key2列表左边
rpoplpush <key1> <key2>

(4) 按照索引下标获得元素(从左到右)
lrange <key><start><stop>
0左边第一个,-1右边第一个,(0 -1表示获取所有)
如新闻网站,可以把每个新提交的链接添加到一个list,用LRANGE可简单的对结果分页。
(5) 按照索引下标获得元素(从左到右)
lindex <key> <index>

(6) 获得列表长度
llen <key>

(7) 在 value的前面或后面插入 newvalue
linsert <key> before/after <value><newvalue>

(8) 从左到右删除n个value
lrem <key><n><value>

(9) 将列表key下标为index的值替换成value
lset<key><index><value>

2.2.3 数据结构
List的数据结构为快速链表quickList
首先在列表元素较少的情况下使用ziplist,即压缩列表。它将所有的元素紧挨在一起存储,分配的是一块连续的内存。当数据量比较多的时候才会改成quicklist。因为普通的链表需要的附加指针空间太大,需要两个额外的指针prev和next。Redis将链表和ziplist结合起来组成了quicklist。也就是将多个ziplist使用双向指针串起来使用。这样既满足了快速的插入删除性能,又不会出现太大的空间冗余。

2.3 Set
2.3.1 简介
set对外提供的功能与list类似是一个列表的功能,特殊之处在于set是可以自动排重的,且set提供了判断某个成员是否在一个set集合内的重要接口,这个也是list所不能提供的。
Redis的Set是string类型的无序集合,底层其实是一个value为null的hash表,所以添加,删除,查找的复杂度都是O(1) ,O(1),数据增加,查找数据的时间不变
2.3.2 常用命令
(1) 将一个或多个 member 元素加入到集合 key 中,已经存在的 member 元素将被忽略
sadd <key><value1><value2> .....

(2) 取出该集合的所有值
smembers <key>

(3) 判断集合key是否为含有该value值,有1,没有0
sismember <key><value>

(4) 返回该集合的元素个数
scard<key>

(5) 删除集合中的某个元素
srem <key><value1><value2> ....

(6) 随机从该集合中吐出n个值
spop <key> [n]

(7) 随机从该集合中取出n个值,不会从集合中删除
srandmember <key> [n]

(8) 把集合中一个值从一个集合移动到另一个集合
smove <source> <destination> value

(9) 返回两个集合的交集元素
sinter <key1> <key2>

(10) 返回两个集合的并集元素
sunion <key1><key2>

(11) 返回两个集合的差集元素(key1中与key2不重复的value)
sdiff <key1><key2>

2.3.3 数据结构
Set数据结构是dict字典,字典是用哈希表实现的。
Java中HashSet的内部实现使用的是HashMap,只不过所有的value都指向同一个对象。Redis的set结构也是一样,它的内部也使用hash结构,所有的value都指向同一个内部值。
2.4 哈希(Hash)
2.4.1 简介
Redis hash 是一个键值对集合
Redis hash是一个string类型的field和value的映射表,hash特别适合用于存储对象,类似Java里面的Map<String,Object>
2.4.2 常用命令
(1) 给key集合中的 field键赋值value
hset key [field value ...]

(2) 从集合取出 value
hget <key1><field>

(3) 批量设置hash的值
hmset <key1><field1><value1><field2><value2>...

(4) 查看哈希表 key 中,给定域 field 是否存在
hexists<key1><field>

(5) 列出该hash集合的所有field
hkeys <key>

(6) 列出该hash集合的所有value
hvals <key>

(7) 为哈希表 key 中的域 field 的值加上增量
hincrby <key><field><increment>

(8) 将哈希表 key 中的域 field 的值设置为 value ,当且仅当域 field 不存在
hsetnx <key><field><value>.

2.4.3 数据结构
Hash类型对应的数据结构是两种:ziplist(压缩列表),hashtable(哈希表)。当field-value长度较短且个数较少时,使用ziplist,否则使用hashtable。
2.5 有序集合Zset(sorted set)
2.5.1 简介
有序集合zset与普通集合set非常相似,是一个没有重复元素的字符串集合。
不同之处是有序集合的每个成员都关联了一个评分(score),这个评分(score)被用来按照从最低分到最高分的方式排序集合中的成员。集合的成员是唯一的,但是评分可重复因为元素是有序的, 所以你也可以很快的根据评分(score)或者次序(position)来获取一个范围的元素。访问有序集合的中间元素也是非常快的,因此你能够使用有序集合作为一个没有重复成员的智能列表。
2.5.2 常用命令
(1) 将一个或多个 member 元素及其 score 值加入到有序集 key 当中
zadd <key><score1><value1><score2><value2>…

(2) 返回有序集 key 中,下标在 start stop之间的元素
zrange <key><start><stop> [WITHSCORES]
WITHSCORES 分数和值一起返回到结果集

(3) 返回有序集 key 中,所有 score 值介于 min 和 max 之间(包括等于 min 或 max )的成员。
有序集成员按 score 值递增(从小到大)次序排列:
zrangebyscore key min max [withscores] [limit offset count]

有序集成员按 score 值递增(从大到小)次序排列:
zrevrangebyscore key max min [withscores] [limit offset count]

(4) 为元素的score加上增量
zincrby <key><increment><value>

(5) 删除该集合下,指定值的元素
zrem <key><value>

(6) 统计该集合,分数区间内的元素个数
zcount <key><min><max>

(7) 返回该值在集合中的排名,从0开始
zrank <key><value>

2.5.3 数据结构
SortedSet(zset)是Redis提供的一个非常特别的数据结构,一方面它等价于Java的数据结构Map<String, Double>,可以给每一个元素value赋予一个权重score,另一方面它又类似于TreeSet,内部的元素会按照权重score进行排序,可以得到每个元素的名次,还可以通过score的范围来获取元素的列表。
zset底层使用了两个数据结构
(1)hash,hash的作用就是关联元素value和权重score,保障元素value的唯一性,可以通过元素value找到相应的score值。
(2)跳跃表,跳跃表的目的在于给元素value排序,根据score的范围获取元素列表
跳跃表(跳表)
1、简介
有序集合在生活中比较常见,例如根据成绩对学生排名,根据得分对玩家排名等。对于有序集合的底层实现,可以用数组、平衡树、链表等。数组不便元素的插入、删除;平衡树或红黑树虽然效率高但结构复杂;链表查询需要遍历所有效率低。Redis采用的是跳跃表。跳跃表效率堪比红黑树,实现远比红黑树简单。
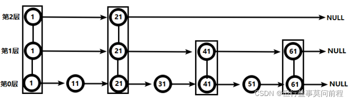
2、实例
对比有序链表和跳跃表,从链表中查询出51
(1)有序链表
要查找值为51的元素,需要从第一个元素开始依次查找、比较才能找到。共需要6次比较。

(2)跳跃表

从第2层开始,1节点比51节点小,向后比较。
21节点比51节点小,继续向后比较,后面就是NULL了,所以从21节点向下到第1层
在第1层,41节点比51节点小,继续向后,61节点比51节点大,所以从41向下
在第0层,51节点为要查找的节点,节点被找到,共查找4次。
跳跃表比有序链表效率要高
本文详细介绍了Redis中的键值操作,包括键的模式匹配、存在性检查、类型判断、删除、设置过期时间等功能。同时,文章深入探讨了Redis的五种数据类型:String、List、Set、Hash和Sorted Set,列举了各种类型的关键命令,如String的增减操作、List的插入和弹出、Set的成员管理、Hash的字段操作以及Sorted Set的排序和范围查询。此外,还提及了Redis操作的原子性和数据结构的设计,如String的SDS、List的quicklist以及Sorted Set的跳跃表实现。
1298

被折叠的 条评论
为什么被折叠?



