skywalking(4)
最新推荐文章于 2025-11-05 14:43:10 发布
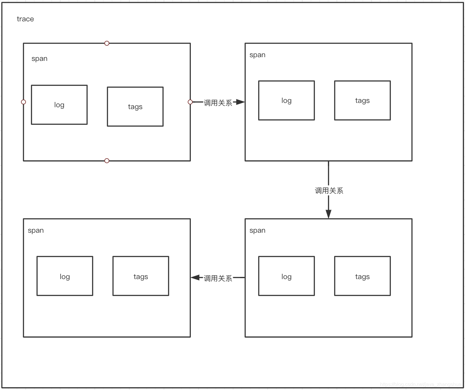
本文深入探讨了ByteBuddy库如何用于增强字节码及统计方法调用时长,以及OpenTrace如何通过Span构建调用关系图,记录服务实例的逻辑片段及其关键信息。
本文深入探讨了ByteBuddy库如何用于增强字节码及统计方法调用时长,以及OpenTrace如何通过Span构建调用关系图,记录服务实例的逻辑片段及其关键信息。
990
1067

被折叠的 条评论
为什么被折叠?