一、前言
AVL树历史
在计算机科学中,AVL 树以其两位苏联发明家Georgy Adelson-Velsky和 Evgenii Landis的名字命名,他们在 1962 年的论文“信息组织算法”中发表了它。它是一种自平衡二叉搜索树(BST),这是发明的第一个这样的数据结构。
二、AVL树数据结构
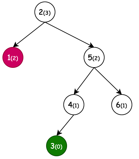
AVL 自平衡二叉树的出现,其目的在于解决二叉搜索树退化成链表的问题。当我们向BST二叉搜索树顺序存入1、2、3、4、5、6、7个元素时,它会退化成一条链表,因而失去树查询的时间复杂度,所以我们需要AVL树平衡树高。如图所示:

那么AVL树是怎么平衡树高的呢?
当二叉树的左右分支树高差不为1时,需要进行左旋或者右旋,来调衡树高。这有点像开车的时候,如果车头偏左就往右打方向盘,车头偏右就往左打方向盘是一个道理。那这个方向盘(左旋、右旋)是怎么打的呢,主要分以下四种情况;
| 左旋(新增节点6) |
右旋(新增节点1) |
左旋+右旋(新增节点4) |
右旋+左旋(新增节点3) |
|
|
|
|
|
| 条件:节点4,平衡因子为-2,左旋 |
条件:节点3,平衡因子为2,右旋 |
条件:节点3,平衡因子为2,右旋。 |

本文介绍了AVL树的历史、数据结构、平衡因子及其旋转算法,包括左旋、右旋、左旋+右旋和右旋+左旋的详细过程,并提供了源码实现链接和动画演示资源,通过单元测试验证了AVL树的平衡性。




最低0.47元/天 解锁文章
3373

被折叠的 条评论
为什么被折叠?



