缘起
业务架构定义了企业级业务架构蓝图,应用架构定义了实现业务架构蓝图的实现。如何支持业务,如何实现应用服务或系统。
应用架构的定义是什么?
应用架构可以分为两个层次,一个是企业级应用架构,一个是单个系统的应用架构。
企业级应用架构:企业层面对应用的统一规划、起到承上启下的作用。向上承接企业战略和业务模式,向下规划和指导各个IT系统的建设。
单个系统的应用架构:设计系统的主要模块和功能点,系统技术实现。从前端展示到业务处理逻辑,再到后台数据是如何设计的。属于项目级落地。
我们这篇文章主要讲企业级应用架构设计。
应用架构包含什么?
主要包含应用服务、应用结构、应用交互。应用服务定义有哪些服务(哪些应用),应用结构定义应用的内部结构是什么。应用交互,定义应用间的交互(调用和依赖关系)。
应用服务
分层视角以及与业务架构的关系

应用服务示例

应用结构
系统结构分级

应用结构分层

应用分层架构示例

应用分层架构示例【内部结构】

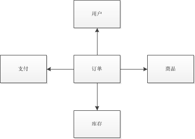
应用交互
定义:应用之间的依赖和调用关系。
关系:上游、下游
调用方式:同步、异步
涉及技术:HTTP,RPC,消息队列,共享数据库、文件传输、服务总线等
示例

后记
应用架构是对业务架构的实现和支撑。好的应用架构清晰定义了,未来的IT建设应用架构蓝图。
企业级应用架构设计解析

被折叠的 条评论
为什么被折叠?



