
点击上方蓝字 关注我,涨知识

以下场景太过真实,但都是虚构,为了讲清楚理论的过程。如有雷同,纯属我瞎编,还望勿对号入座。

01
婚恋市场,明码实价
中国如今男女比例严重失衡,2021年预计将有9200万单身贵族。为了帮助解决这个社会性问题,提升整体人民的幸福感,小K打算投身到这份伟大的事业中。
“几何思维”婚恋所,用最科学的方法,帮你脱单。通过概率论寻找最佳匹配对象,再通过微积分精确计算好感上升曲线,最后用数值分析无限逼近对方的理想型。最可怕的是,还包邮呢亲,关注一波了解一下?
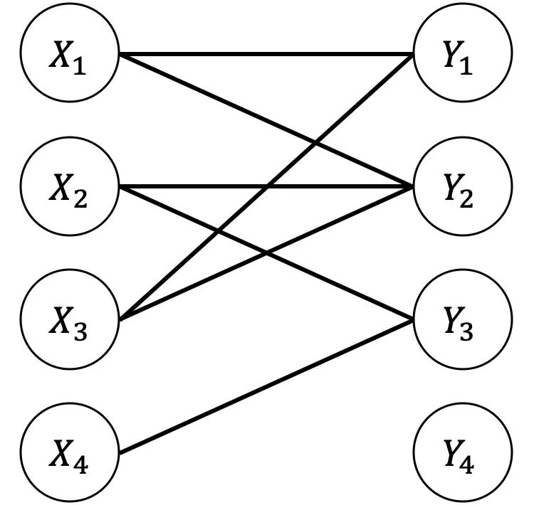
上班第一天,老板给了小K一份单身男女好感的数据资料。如下图,连线表示双方互有好感,可以尝试处对象。突然有一个问题,怎样才能找出最大匹配呢?

02
不要怂,就是干
很多时候不是你比别人差,而是你执行力不够,在犹豫中丧失机会。
大家就先行动起来吧。
快看,男1号选手在小K的鼓励(怂恿)下,率先对女1号发起了进攻。在离失败只有0.01公分的时候,他竟然奇迹般的完成反杀,没错,他成功啦,这种高超的技巧,娴熟的手法简直如同教科书一般,值得在座的每个同学深入研究反复琢磨啊。

男2号选手也不甘落后,也对女2号选手发起了进攻,没错,又一次成功啦。

男3号选手:我勒个去,我上我也行啊。于是也对自己心动的女1号发起了进攻,毫无意外,他阵亡了。。。

中间彩蛋。

男3号不甘心,原地复活,想再战一回。在一个地方跌倒,咱们就换一个地方再跌。。。
于是对女2号发起了进攻。

几经波折。

男3号终于也成为了有牵绊的男人,不论未来有多久,只在乎曾经拥有过。

男4一看:这也没我啥事儿了啊。
以上的过程其实就是经典的匈牙利算法,求解二分图的最大匹配问题。
03
匈牙利算法
二分图
定义:设G=(V,E)是一个无向图,顶点集V可分割为两个互不相交的子集X,Y,并且图中每条边关联的两个顶点都分属于这两个互不相交的子集,两个子集内的顶点不相邻。

判断是否为二分图的充要条件:G至少有两个顶点,且其所有回路的长度均为偶数。
判断方法:染色法
开始对任意一未染色的顶点染色
判断其相邻的顶点中,若未染色则将其染上和相邻顶点不同的颜色;
若已经染色且颜色和相邻顶点的颜色相同则说明不是二分图,若颜色不同则继续判断
可用bfs或者dfs。

匹配
在二分图G的子图M中,M的边集E中的任意两条边都不依附于同一个顶点,则称M是一个匹配。

饱和点
匹配M的边集所关联的点为饱和点,否则为非饱和点。如上图:
的饱和点:。
的饱和点:。
交错路
定义:图G的一条路径,且路径中的边在属于M和不属于M中交替出现。

增广路(非网络流中的定义)
定义:一条交错路,且该交错路的起点和终点都为匹配M的非饱和点。
如上图,交错路1是增广路;交错路2不是增广路,因为终点不是非饱和点。
由增广路推出以下结论:
路径的边数为奇数,第一条边和最后一条边都不属于M
将路径中的边的匹配方式取反操作,会得到更大的匹配M',匹配数加1
M为图G的最大匹配等价于不存在M的增广路

匈牙利算法核心思想:
1) 初始匹配M为空
2) 找出一条增广路径p,取反操作得到更大的匹配M'代替M
3) 重复步骤2),直到找不出增广路为止
04
代码实现
变量定义及初始化
const int MAXM = 200, MAXN = 200;
bool map[MAXN][MAXM] = {false}, visit[MAXM];
int n, m, x[MAXM], y[MAXN], ans = 0;
初始化
void init() {
memset(x, 0xff, MAXM * 4);
memset(y, 0xff, MAXN * 4);
memset(map, false, MAXN * MAXM);
int num, temp;
cin >> n >> m;
for (int i = 0; i < n; ++i) {
cin >> num;
for (int j = 0; j < num; ++j) {
cin >> temp;
map[i][temp - 1] = true;
}
}
}
递归寻找增广路
bool hungary(int u) {
for (int i = 0; i < m; ++i) {
if (!visit[i] && map[u][i]) {
visit[i] = true;
if (y[i] == -1 || hungary(y[i])) {
x[u] = i;
y[i] = u;
return true;
}
}
}
return false;
}
遍历所有点
int main() {
init();
for (int i = 0; i < n; ++i) {
if (x[i] == -1) {
memset(visit, false, MAXM);
if (hungary(i)) {
ans++;
}
}
}
cout << ans << endl;
return 0;
}
测试数据
输入
5 5
2 2 5
3 2 3 4
2 1 5
3 1 2 5
1 2
输出
4


关注我,涨知识

原创不易,感谢分享
转发,点赞,在看!
本文通过生动的例子介绍了匈牙利算法的基本原理及其在解决二分图最大匹配问题上的应用。文章详细解释了二分图的概念、匹配的定义、交错路与增广路的概念,并给出了匈牙利算法的核心思想及其实现代码。
3882





