逻辑回归(Logistic Regression)是机器学习中的一种分类模型,逻辑回归是一种分类算法,虽然名字中带有回归。由 于算法的简单和有效,在实际中应用非常广泛。
1 逻辑回归的应用场景
- 广告点击率
- 是否为垃圾邮件
- 是否患病
- 金融诈骗
- 虚假账号
看到上面的例子,我们可以发现其中的特点,那就是都属于两个类别之间的判断。逻辑回归就是解决二分类问题的利器。
2 逻辑回归的原理
要想掌握逻辑回归,必须掌握两点:
- 逻辑回归中,其输入值是什么
- 如何判断逻辑回归的输出
2.1 输入

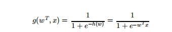
逻辑回归的输入就是一个线性回归的结果。
2.2 激活函数
- sigmoid函数

- 判断标准
回归的结果输入到sigmoid函数当中
输出结果:[0, 1]区间中的一个概率值,默认为0.5为阈值

逻辑回归最终的分类是通过属于某个类别的概率值来判断是否属于某个类别,并且这个类别默认标记为1(正例), 另外的一个类别会标记为0(反例)。(方便损失计算)
输出结果解释(重要):假设有两个类别A,B,并且假设我们的概率值为属于A(1)这个类别的概率值。现在有一个样本的输入到逻辑回归输出结果0.55,那么这个概率值超过0.5,意味着我们训练或者预测的结果就是A(1)类别。那么反之,如 果得出结果为0.3那么,训练或者预测结果就为B(0)类别。
关于逻辑回归的阈值是可以进行改变的,比如上面举例中,如果你把阈值设置为0.6,那么输出的结果0.55,就属于B 类。
在之前,我们用最小二乘法衡量线性回归的损失
在逻辑回归中,当预测结果不对的时候,我们该怎么衡量其损失呢?
我们来看下图(下图中,设置阈值为0.6)

那么如何去衡量逻辑回归的预测结果与真实结果的差异呢?
3 损失以及优化
3.1 损失
逻辑回归的损失,称之为对数似然损失,公式如下:
- 分开类别:

其中y为真实值,hθ(x)为预测值
怎么理解单个的式子呢?这个要根据log的函数图像来理解

无论何时,我们都希望损失函数值,越小越好
分情况讨论,对应的损失函数值:
- 当y=1时,我们希望hθ(x)值越大越好;
- 当y=0时,我们希望hθ(x)值越小越好
- 综合完整损失函数

接下来我们呢就带入上面那个例子来计算一遍,就能理解意义了。

我们已经知道,-log(P), P值越大,结果越小,所以我们可以对着这个损失的式子去分析
3.2 优化
同样使用梯度下降优化算法,去减少损失函数的值。这样去更新逻辑回归前面对应算法的权重参数,提升原本属于1类别的概率,降低原本是0类别的概率。
4 逻辑回归api介绍

LogisticRegression用法相当于 SGDClassifier(loss="log", penalty=" "),SGDClassifier实现了一个普通的随机梯度下降学习。而使用LogisticRegression(实现了SAG)
5 案例:癌症分类预测-良/恶性乳腺癌肿瘤预测
背景介绍
- 数据介绍

原始数据的下载地址:https://archive.ics.uci.edu/ml/machine-learning-databases/
数据描述
(1)699条样本,共11列数据,第一列用语检索的id,后9列分别是与肿瘤
相关的医学特征,最后一列表示肿瘤类型的数值。
(2)包含16个缺失值,用”?”标出。
案例分析

代码实现


在很多分类场景当中我们不一定只关注预测的准确率!!!!!
比如以这个癌症举例子!!!我们并不关注预测的准确率,而是关注在所有的样本当中,癌症患者有没有被全部预测(检测)出来。
本文深入讲解逻辑回归这一经典机器学习算法。重点介绍了逻辑回归的应用场景,如广告点击率预测及疾病诊断等;详细阐述了其原理,包括输入值定义、激活函数及输出解释等内容;并探讨了损失函数与优化方法,最后通过一个癌症分类预测案例加以说明。
817

被折叠的 条评论
为什么被折叠?



