原文链接:https://blog.youkuaiyun.com/junjun150013652/article/details/81274958
https://www.jianshu.com/p/3f35e555d5ba
1.为什么使用梯度下降来优化神经网络参数?
反向传播(用于优化神网参数):根据损失函数计算的误差通过反向传播的方式,指导深度网络参数的更新优化。
采取反向传播的原因:首先,深层网络由许多线性层和非线性层堆叠而来,每一层非线性层都可以视为是一个非线性函数(非线性来自于非线性激活函数),因此整个深度网络可以视为是一个复合的非线性多元函数。
我们最终的目的是希望这个非线性函数很好的完成输入到输出之间的映射,也就是找到让损失函数取得极小值。所以最终的问题就变成了一个寻找函数最小值的问题,在数学上,很自然的就会想到使用梯度下降来解决。
2.梯度消失、爆炸会带来哪些影响
举个例子,对于一个含有三层隐藏层的简单神经网络来说,当梯度消失发生时,接近于输出层的隐藏层由于其梯度相对正常,所以权值更新时也就相对正常,但是当越靠近输入层时,由于梯度消失现象,会导致靠近输入层的隐藏层权值更新缓慢或者更新停滞。这就导致在训练时,只等价于后面几层的浅层网络的学习。

3.产生的原因
当神经网络有很多层,每个隐藏层都使用Sigmoid函数作为激励函数时,很容易引起梯度消失的问题
我们知道Sigmoid函数有一个缺点:当x较大或较小时,导数接近0;并且Sigmoid函数导数的最大值是0.25

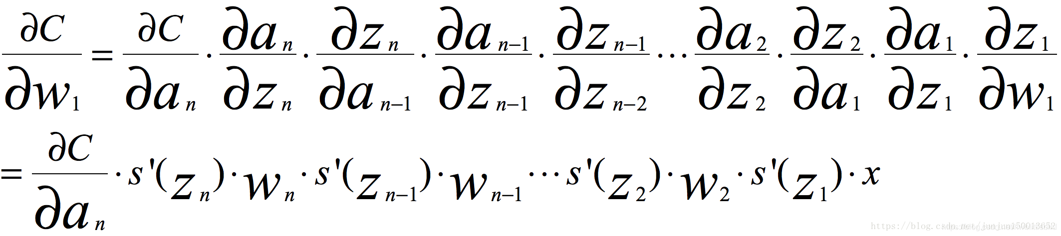
我们将问题简单化来说明梯度消失问题,假设输入只有一个特征,没有偏置单元,每层只有一个神经元:

我们先进行前向传播,这里将Sigmoid激励函数写为s(x):
z1 = w1*x
a1 = s(z1)
z2 = w2*a1
a2 = s(z2)
…
zn = wn*an-1 (这里n-1是下标)
an = s(zn)
根据链式求导和反向传播,我们很容易得出,其中C是代价函数

如果我们使用标准方法来初始化网络中的权重,那么会使用一个均值为0标准差为1的高斯分布。因此所有的权重通常会满足|wj|<1,而s‘是小于0.25的值,那么当神经网络特别深的时候,梯度呈指数级衰减,导数在每一层至少会被压缩为原来的1/4,当z值绝对值特别大时,导数趋于0,正是因为这两个原因,从输出层不断向输入层反向传播训练时,导数很容易逐渐变为0,使得权重和偏差参数无法被更新,导致神经网络无法被优化,训练永远不会收敛到良好的解决方案。 这被称为梯度消失问题。
当我们将w初始化为一个较大的值时,例如>10的值,那么从输出层到输入层每一层都会有一个s‘(zn)*wn的增倍,当s‘(zn)为0.25时s‘(zn)*wn>2.5,同梯度消失类似,当神经网络很深时,梯度呈指数级增长,最后到输入时,梯度将会非常大,我们会得到一个非常大的权重更新,这就是梯度爆炸的问题,在循环神经网络中最为常见.
4.解决办法
梯度消失和梯度爆炸本质上是一样的,都是因为网络层数太深而引发的梯度反向传播中的连乘效应。
解决梯度消失、爆炸主要有以下几种方案:
4.1 换用Relu、LeakyRelu、Elu等激活函数
ReLu:让激活函数的导数为1
LeakyReLu:包含了ReLu的几乎所有有点,同时解决了ReLu中0区间带来的影响
ELU:和LeakyReLu一样,都是为了解决0区间问题,相对于来,elu计算更耗时一些(为什么)
具体可以看关于各种激活函数的解析与讨论
4.2 BatchNormalization
BN本质上是解决传播过程中的梯度问题,具体待补充完善,查看BN
4.3 ResNet残差结构
具体待补充完善,查看ResNet
4.4 LSTM结构
LSTM不太容易发生梯度消失,主要原因在于LSTM内部复杂的“门(gates)”,具体看LSTM基本原理解析
4.4 预训练加finetunning
此方法来自Hinton在06年发表的论文上,其基本思想是每次训练一层隐藏层节点,将上一层隐藏层的输出作为输入,而本层的输出作为下一层的输入,这就是逐层预训练。
训练完成后,再对整个网络进行“微调(fine-tunning)”。
此方法相当于是找全局最优,然后整合起来寻找全局最优,但是现在基本都是直接拿imagenet的预训练模型直接进行finetunning。
4.5 梯度剪切、正则
这个方案主要是针对梯度爆炸提出的,其思想是设值一个剪切阈值,如果更新梯度时,梯度超过了这个阈值,那么就将其强制限制在这个范围之内。这样可以防止梯度爆炸。
另一种防止梯度爆炸的手段是采用权重正则化,正则化主要是通过对网络权重做正则来限制过拟合,但是根据正则项在损失函数中的形式:
可以看出,如果发生梯度爆炸,那么权值的范数就会变的非常大,反过来,通过限制正则化项的大小,也可以在一定程度上限制梯度爆炸的发生。
本文探讨了神经网络中梯度下降的原理及其在优化参数中的应用,分析了梯度消失与爆炸的原因及影响,并提出了多种解决方案,如更换激活函数、BatchNormalization、ResNet结构、LSTM结构、预训练加finetunning、梯度剪切和正则化。
2096

被折叠的 条评论
为什么被折叠?



