0 二叉堆的定义
由n个元素组成的序列{k1,k2,…,kn-1,kn},当且仅当满足如下图关系时,称之为堆。可以简单理解为,所有父节满足要么都大于(大顶堆)或者都小于(小顶堆)左孩子和右孩子,注意点这里面没有要求左子树和右子树的关系和BST(二叉排序树)是有区别的。

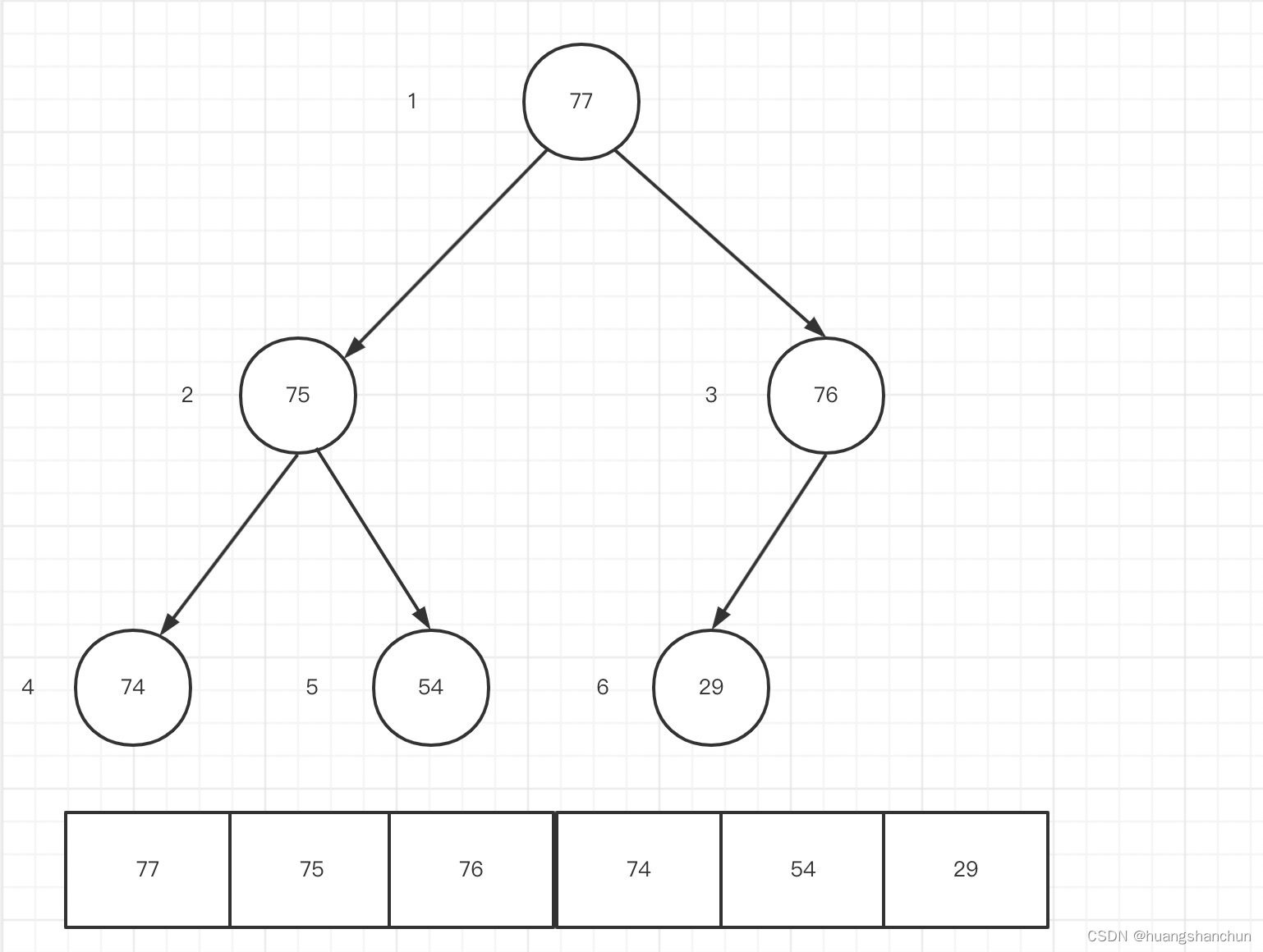
**二叉堆是一棵完全二叉树(简单理解就是数组一层一层放,从左到右依次存放,只有上一层放满了才放下一层),**如下图所示大顶堆,可以使用数组来存储。考虑到数组下标是从0开始,对于一个节点位置i其父节点的位置parent(i)=(i-1)/2 ,其左孩子节点位置leftChild(i)=2i+1;其右孩子节点位置rightChild(i)=2i+2;
1 代码实现思路(大顶堆)
分两种情况:即添加数据和删除数据。
**先看添加数据思路:**将待添加数据加入数组尾部(数组容量不够要进行扩容),如下图所示添加一个新元素80进来,不难发现80要比其父节点要大,就不满足大顶堆条件,因此需要调整堆,也就是我们常说的siftUp(上浮操作),原理比较简单:不短的和其父节点比较,如果比起父节点大,就和父节点交换,并继续上浮至其比父节点或者已成为根节点则结束。80节点在数组中的下标为6,其父节点在数组下标getParent(6)=2,比较大小,80 比76大,80上浮到76;
80 又比77 ,80 和77 交换上浮至根节点,调整完则变成如下图所示。


//上浮过程,入参是上浮哪个节点
private void siftUp(int k) {
while (k > 0) {
//找到其父节点
int parent = getParent(k);
if (getData(k).compareTo(getData(parent)) < 0)
break;
Object tmp = data[k];
data[k] = data[parent];
data[parent] = tmp;
k = parent;
}
}
private int getParent(int k) {
if (k <= 0) {
throw new IllegalArgumentException(k + "not has parent");
}
return (k - 1) / 2;
}
private int getLeftChild(int k) {
return 2 * k + 1;
}
private int getRightChild(int k) {
return 2 * k + 2;
}
删除数据:当删除堆顶元素
思路:删除堆顶元素data[0],用最后一个数组填充,然后逐步siftDown(下沉),即:在其左孩子和右孩子找到最大元素和其交换,依次下沉至改节点没有左右子树或者都比左右子树大。
先删除上面堆顶77,将堆中最后一个数29放到堆顶,然后执行下下沉,29 的左右孩子中最大的是76(右孩子),29和右孩子76直接交换,交换后继续比较,发现其当前没有左右孩子则结束下沉。

//下沉
private void siftDown(int k) {
while (getLeftChild(k) < size) {
E parent = getData(k);
int left = getLeftChild(k);
int p = left;
//比较左孩子和右孩子谁大
if (left + 1 < size && getData(left + 1).compareTo(getData(left)) > 0) {
p = left + 1;
}
E max = getData(p);
//如果左右孩子的最大值都比父亲节点小,则结束
if (parent.compareTo(max) > 0) {
break;
}
//交换,继续执行
Object tmp = data[p];
data[p] = parent;
data[k] = tmp;
k = p;
}
}
2 完整代码实现
public class MaxHeap<E extends Comparable<E>> {
private static final int DEFAULT_INITIAL_CAPACITY = 16;
//堆元素存放
public Object[] data;
//堆元素数量
private int size = 0;
public MaxHeap() {
data = new Object[DEFAULT_INITIAL_CAPACITY];
}
public int size() {
return size;
}
public boolean isEmpty() {
return size == 0;
}
public void add(E e) {
if (size == data.length) {
resize();
}
data[size] = e;
size = size + 1;
siftUp(size - 1);
}
private void resize() {
Object[] newData = new Object[data.length * 2];
System.arraycopy(data, 0, newData, 0, data.length);
data = newData;
}
private int getParent(int k) {
if (k <= 0) {
throw new IllegalArgumentException(k + "not has parent");
}
return (k - 1) / 2;
}
private int getLeftChild(int k) {
return 2 * k + 1;
}
private int getRightChild(int k) {
return 2 * k + 2;
}
//上浮
private void siftUp(int k) {
while (k > 0) {
int parent = (k - 1) / 2;
if (getData(k).compareTo(getData(parent)) < 0)
break;
Object tmp = data[k];
data[k] = data[parent];
data[parent] = tmp;
k = parent;
}
}
//下沉
private void siftDown(int k) {
while (getLeftChild(k) < size) {
E parent = getData(k);
int left = getLeftChild(k);
int p = left;
//比较左孩子和右孩子谁大
if (left + 1 < size && getData(left + 1).compareTo(getData(left)) > 0) {
p = left + 1;
}
E max = getData(p);
//如果左右孩子的最大值都比父亲节点小,则结束
if (parent.compareTo(max) > 0) {
break;
}
//交换,继续执行
Object tmp = data[p];
data[p] = parent;
data[k] = tmp;
k = p;
}
}
public E peek() {
if (isEmpty()) {
return null;
}
return getData(0);
}
public E poll() {
if (isEmpty()) {
return null;
}
E ret = peek();
//将尾节点放到头节点
data[0] = data[size - 1];
size = size - 1;
siftDown(0);
return ret;
}
private E getData(int index) {
return (E) data[index];
}
public static void main(String[] args) {
int n = 300;
MaxHeap<Integer> maxHeap = new MaxHeap<>();
Random random = new Random();
for (int i = 0; i < n; i++) {
maxHeap.add(random.nextInt(1000));
}
int[] arr = new int[n];
for (int i = 0; i < n; i++) {
arr[i] = maxHeap.poll();
}
for (int i = 1; i < n; i++) {
System.out.println(arr[i]);
if (arr[i - 1] < arr[i]) {
throw new IllegalArgumentException("error");
}
}
}
}
本文详细介绍了二叉堆的概念,强调了它作为完全二叉树的特性。通过代码示例展示了如何在Java中实现大顶堆,包括添加元素(上浮操作)和删除元素(下沉操作)。此外,还提供了完整的MaxHeap类实现,用于演示堆的增删查改操作,并通过随机生成数据验证了其正确性。
570

被折叠的 条评论
为什么被折叠?



