对于架构优化的一些思考
纯属意淫,如有雷同,倍感荣耀
- 优化与过度优化
- 弱依赖,强依赖与过度依赖
- 整体与部分
优化与过度优化
性能优化,是指性能出现问题,流量出现瓶颈才进行的优化,不要出现优化而优化
过度优化,这个词可能出现在SEO里面比较多一些,但是在实际行为中,这种情况也是比较常见的
public String test(@RequestParam("a") int a){
long numberCount = getNumber();
handleXXX(numberCount, numberCount, numberCount);
return new String().concat(handleXXX(numberCount, numberCount));
}
例如上面的代码中,为了节省计算时间,把一个计算结果保存为一个局部变量并在后面调用中,进行多次调用,实际上,计算机的运行速度比你想象的快得多,如果这种调用会产生大量的局部变量,如果不是计算严重影响时间(例如mapreduce)之类,其实都可以在底层函数中再调用一次。。。
也有很多为了节约查询数据库时间喜欢把类数据缓存在局部变量中,其实这些都是比较快操作,如果性能上出现问题再考虑用redis或者guava做本地缓存。。。。
推荐阅读《重构 改善既有代码的设计》(虽然是老东西了,但是里面的对库类设计,函数设计值得参考)和阿里java编程规范(p3c插件了解一下?)后期我会整理关于这本书的读书笔记,但愿两个月内有时间搞出来,阿西吧。。
弱依赖,强依赖与过度依赖
其实参数需不需要校验,校验到什么程度,是不是需要底层依赖去解决上层业务??这些都是很有意思的问题。。。(装逼是一件很有意义的事情)
弱依赖
有些类似java的弱引用,很容易消失,就是被内存回收也没关系,弱依赖也是,你依赖的包,或者报错,都不影响功能。
场景1:A调用B,A的主流程不需要等待B的返回结果
浏览器弱依赖:A从浏览器上发起异步请求,如果B挂了,那么只会出现页面某一个区域不显示B的内容,如果对于用户交互可以接受,那么系统层面无任何问题,商品详情页面的评论列表和购买记录就是这个情况 异步线程:A调用B的时候只发送消息,然后调用动作由另外的线程来执行,并且不需要即时反馈结果,一般作为消息通知,轨迹记录等场景使用。不过为了防止堆积,也需要控制队列的大小
场景2:A调用B,A的主流程需要等待B的返回结果
设置超时时间:如果B响应超时,则抛出超时异常,绝对大部分情况下OK;不过两种影响要考虑:1、超时时间设置过长或者过短导致的副作用 2、大量异常抛出 设置最大并发请求数阀值,一旦超过阀值就跳过访问B 两种方式相结合使用最佳。
强依赖
A系统依赖B系统资源,当B系统发生故障的时候,A系统势必会被拖累,导致A系统也发生故障 。这里的依赖要区分两种情况:
1、A强依赖于B 任何强依赖都要尽可能的转化成弱依赖,因为强依赖本身意味着一荣俱荣,一损俱损.
对于强依赖B这个场景,从稳定性来说我们还是可以做一些事情:
当B发生故障,虽然A系统不能正常执行业务,但是A不能挂掉,一旦B系统恢复,A系统也要做到立即恢复。同时A有责任对B要进行流量保护,而不是对B进行摧残。 如果系统没有做特殊的保护,当分流的量大于了单机的容量,持续一段时间后,系统将不能很好的恢复,即便我们把分流进入的量减少到系统容量以下也不能快速恢复。
过度依赖
依赖底层报错,或者底层逻辑去解决上层业务问题
1.数据库唯一索引
很多人写代码为保证业务唯一性,都会使用唯一索引去解决,但是你每次增加数据,都完全依靠数据库报错(1062 Duplicate entry ” for key)去判断业务的正确
2.函数参数校验(RPC??)
参数应该校验不,如果不校验直接去try catch 去捕获底层报错,然后判断业务正确??
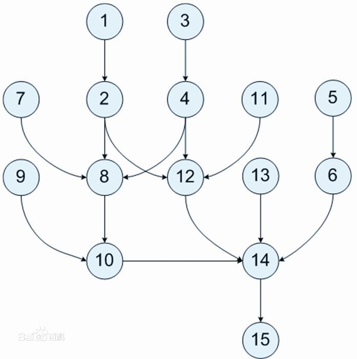
有向无环图
一个好的架构,应该如何拆,拆到什么程度才是好的??

一个好的架构内部应该是一个有向无环图,所有依赖都指向底层基础服务,而不会出现环形结构(论环形结构的不稳定性,三角结构,只要一个脚挂了,就应该雪崩了),如果出现环状结构,大部分情况就是服务没有拆干净。。。
整体与部分(高可用??)
如何划分高可用。。
这个应该划到有向无环图里面来讲的
高可用应该做到什么程度??
最简单的数据库高可用,应该数据库对外提供的是单一的简单的服务(关系结构数据的存储),缓存高可用也是对外提供单一的服务,同样的,我们在设计结构层次时,高可用的对象也应该尽量提供单一的高可用,去降低全局影响,例如RPC服务,每个对外服务尽量单一,这样也比较容易做容错,不然你也就只能做整体的高可用,这样还是会出现整体的某部分出现异常的问题
6916

被折叠的 条评论
为什么被折叠?



