一. 选择

- 确定区间符号
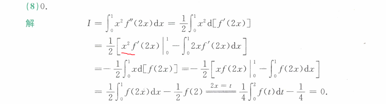
周期函数+分部积分
- 判断fx在区间的符号
- 复合函数的单调性。找中间值
- 复合函数,可以取特值
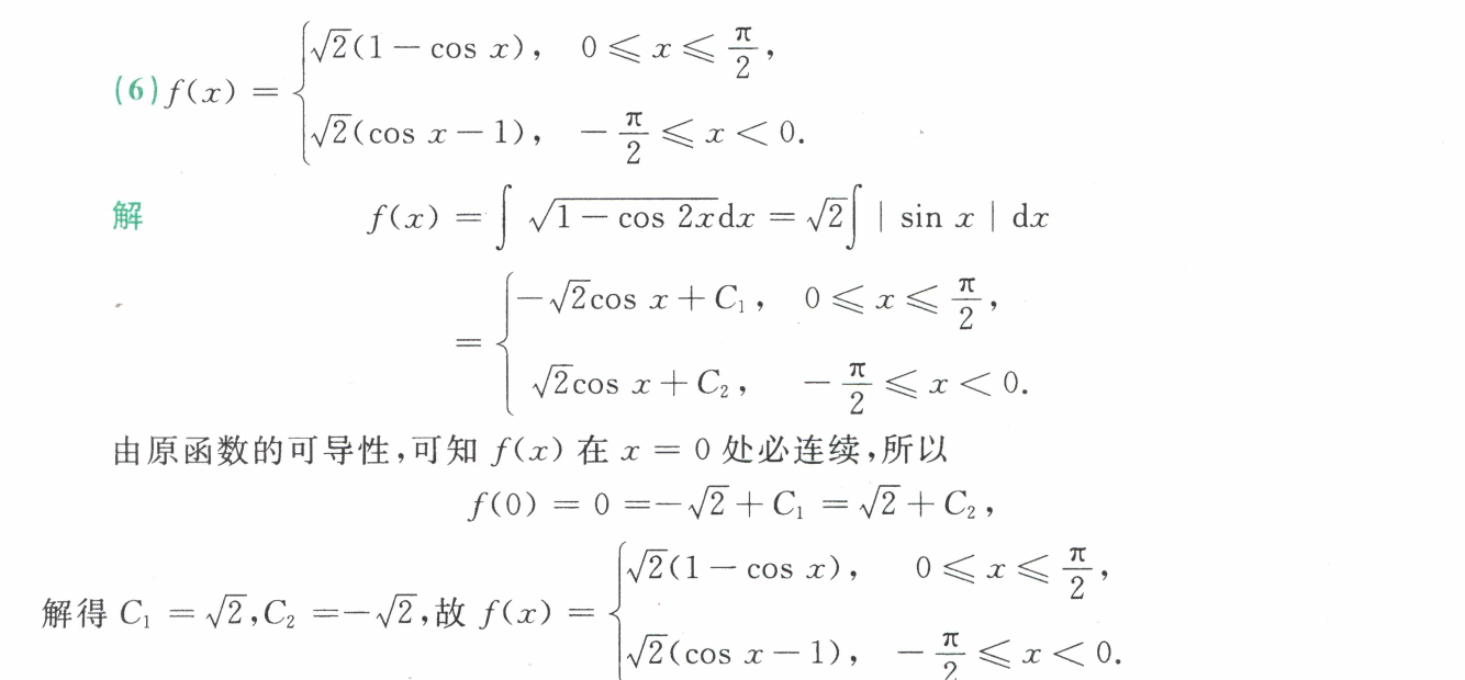
对称区间,如果看不出奇偶函数,就分半求解。注意变号的问题。
7. 对
8. 简化
先求fx积分的等价无穷小,然后再嵌入复合函数。
对:也可以求原函数的方式
a. 先无界函数收敛的证明
b. 接着再无穷区间,使用比较法来证明收敛
二. 填空题

- 注意基础定义
换元做积分,
注意是对△x的极限
3. 对1/2(注意在x轴下方的图形要负号)
4. 极坐标公式
5. 复合导函数
利用积分简化求原函数
6. 对
7.
8. 粗心
连续分部积分,降导数阶数
9.
化简方式,先抽象函数积分,然后再带入。
10. 积分技巧
11. 易错
12. 反复练(完整的做题)
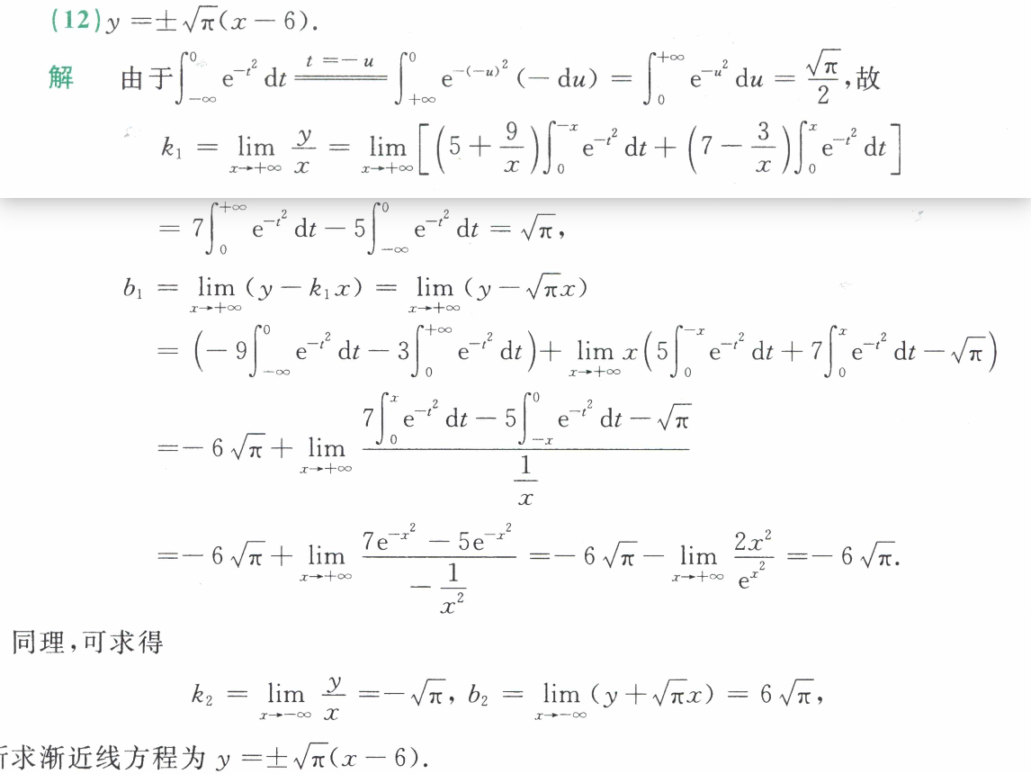
a.求渐进性的方法
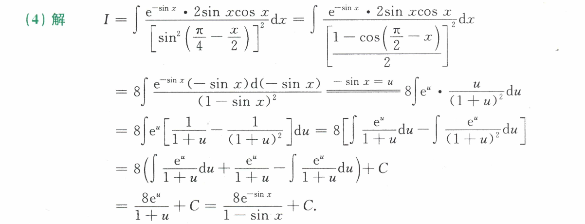
b. 换元积分法
c. 积分技巧
三. 解答题

1.1. 分部积分
将积分上下限带入,fx不用求原函数。
1.2. 别跳步
先化简,然后分部积分
尝试
观察、试试其他方案
观察简化,统一格式
实现



























被折叠的 条评论
为什么被折叠?



