核函数原理
低纬度向高纬度映射,从而便于对其分类。
简单举例:
若用一条直线在二维难以分开,
那就将所有数据通过某一个映射函数映射到三维空间,
通过某一个面进行分割,
且不用关心是映射函数。

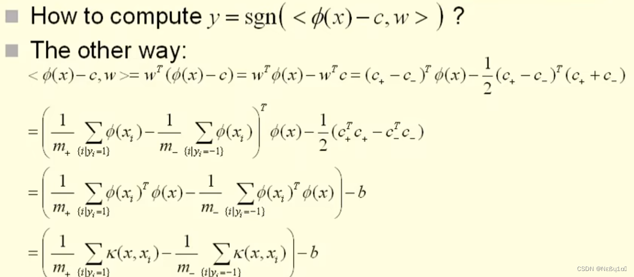
低维度向高维度映射后,通过kernel 函数进行分类 , kernel函数可计算两个向量的内积:
为映射函数
支持向量机的最根本的想法:用一个面进行分割两个类别

这样看结果无需关心映射关系,只需关心kernel函数k即可。
且对于kernel函数,只要函数满足半正定即

线性核函数:
多项式核函数:
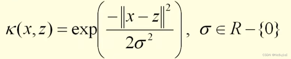
高斯核函数:




被折叠的 条评论
为什么被折叠?



