分享一下我老师大神的人工智能教程!零基础,通俗易懂!http://blog.youkuaiyun.com/jiangjunshow
也欢迎大家转载本篇文章。分享知识,造福人民,实现我们中华民族伟大复兴!
图结构(Graph)——算法学中最强大的框架之一。树结构只是图的一种特殊情况。
如果我们可将自己的工作诠释成一个图问题的话,那么该问题至少已经接近解决方案了。而我们我们的问题实例可以用树结构(tree)来诠释,那么我们基本上已经拥有了一个真正有效的解决方案了。
邻接表及加权邻接字典
对于图结构的实现来说,最直观的方式之一就是使用邻接列表。基本上就是针对每个节点设置一个邻接列表。下面我们来实现一个最简单的:假设我们现有 n 个节点,编号分别为 0, …, n-1.
节点当然可以是任何对象,可被赋予任何标签或名称。但使用 0, …, n-1 区间内的整数来实现的话,会简单许多。因为如果我们能用数字来代表节点,我们索引起来显然要方便许多。
然后,每个邻接(邻居)列表都只是一个数字列表,我们可以将它们编入一个大小为 n 的主列表,并用节点编号对其进行索引。由于这些列表内的节点的顺序是任意的,所以,实际上,我们是使用列表来实现邻接集(adjacency sets)。这里之所以还是使用列表这个术语,主要是因为传统。幸运的是,Python 本身就提供独立的 set 类型。
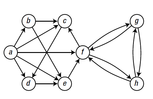
我们以下图为例,说明图结构的各种表示方法(当我们在执行与图相关的工作时,需要反复遵从一个主题思想,即一个图的最佳表示方法应该取决于我们要用它来做什么):
a, b, c, d, e, f, g, h = range(8)N = [ {b, c, d, e, f}, {c, e}, {d}, {e}, {f}, {c, g, h}, {f, h}, {f, g}]
- 1
- 2
- 3
- 4
- 5
- 6
- 7
- 8
- 9
- 10
- 11
在图论中,N(v) 的邻居节点集;
>>> b in N[a] # neighborhood membershipTrue>>> len(N[f]) # out-degree:出度3
- 1
- 2
- 3
- 4
加权邻接字典
使用 dict 类型来代替 set 或 list 来表示邻接集。在 dict 类型中,每个邻居节点都会有一个键和一个额外的值,用于表示与其邻居节点(或出边)之间的关联性,如边的权重。
a, b, c, d, e, f, g, h = range(8)N = [ {b:2, c:1, d:3, e:9, f:4}, {c:4, e:4}, {d:8}, {e:7}, {f:5}, {c:2, g:2, h:2}, {f:1, h:6}, {f:9, g:8}]
- 1
- 2
- 3
- 4
- 5
- 6
- 7
- 8
- 9
- 10
- 11
- 12
客户端调用:
>>> b in N[a] # neighborhood membershipTrue>>> len(N[f]) # out-degree3>>> N[a][b] # Edge weight for (a, b)2
- 1
- 2
- 3
- 4
- 5
- 6
邻接矩阵
邻接矩阵是图的另一种表示方法,这种表示方法的主要不同在于,它不再列出每个节点的所有邻居节点。
a, b, c, d, e, f, g, h = range(8)N =[ [0, 1, 1, 1, 1, 1, 0, 0], [0, 0, 1, 0, 1, 0, 0, 0], [0, 0, 0, 1, 0, 0, 0, 0], [0, 0, 0, 0, 1, 0, 0, 0], [0, 0, 0, 0, 0, 1, 0, 0], [0, 0, 1, 0, 0, 0, 1, 1], [0, 0, 0, 0, 0, 1, 0, 1], [0, 0, 0, 0, 0, 1, 1, 0],]
- 1
- 2
- 3
- 4
- 5
- 6
- 7
- 8
- 9
- 10
- 11
- 12
- 13
关于邻接矩阵:
- (1)主对角线为自己到自己,为0
- (2)行和为出度
- (3)列和为入度
给我老师的人工智能教程打call!http://blog.youkuaiyun.com/jiangjunshow
1613

被折叠的 条评论
为什么被折叠?



