为什么用分布式锁?在讨论这个问题之前,我们先来看一个业务场景。
作者:jianfeng来源:石杉的架构笔记|2019-07-16 09:22
为什么用分布式锁?在讨论这个问题之前,我们先来看一个业务场景。
为什么用分布式锁?
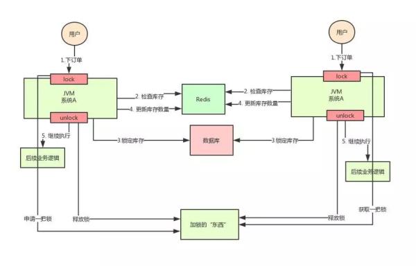
系统 A 是一个电商系统,目前是一台机器部署,系统中有一个用户下订单的接口,但是用户下订单之前一定要去检查一下库存,确保库存足够了才会给用户下单。
由于系统有一定的并发,所以会预先将商品的库存保存在 Redis 中,用户下单的时候会更新 Redis 的库存。
此时系统架构如下:
但是这样一来会产生一个问题:假如某个时刻,Redis 里面的某个商品库存为 1。
此时两个请求同时到来,其中一个请求执行到上图的第 3 步,更新数据库的库存为 0,但是第 4 步还没有执行。
而另外一个请求执行到了第 2 步,发现库存还是 1,就继续执行第 3 步。这样的结果,是导致卖出了 2 个商品,然而其实库存只有 1 个。
很明显不对啊!这就是典型的库存超卖问题。此时,我们很容易想到解决方案:用锁把 2、3、4 步锁住,让他们执行完之后,另一个线程才能进来执行第 2 步。
按照上面的图,在执行第 2 步时,使用 Java 提供的 Synchronized 或者 ReentrantLock 来锁住,然后在第 4 步执行完之后才释放锁。
这样一来,2、3、4 这 3 个步骤就被“锁”住了,多个线程之间只能串行化执行。
但是好景不长,整个系统的并发飙升,一台机器扛不住了。现在要增加一台机器,如下图:
增加机器之后,系统变成上图所示,我的天!假设此时两个用户的请求同时到来,但是落在了不同的机器上,那么这两个请求是可以同时执行了,还是会出现库存超卖的问题。
为什么呢?因为上图中的两个 A 系统,运行在两个不同的 JVM 里面,他们加的锁只对属于自己 JVM 里面的线程有效,对于其他 JVM 的线程是无效的。
因此,这里的问题是:Java 提供的原生锁机制在多机部署场景下失效了,这是因为两台机器加的锁不是同一个锁(两个锁在不同的 JVM 里面)。
那么,我们只要保证两台机器加的锁是同一个锁,问题不就解决了吗?此时,就该分布式锁隆重登场了。
分布式锁的思路是:在整个系统提供一个全局、唯一的获取锁的“东西”,然后每个系统在需要加锁时,都去问这个“东西”拿到一把锁,这样不同的系统拿到的就可以认为是同一把锁。
至于这个“东西”,可以是 Redis、Zookeeper,也可以是数据库。文字描述不太直观,我们来看下图:
通过上面的分析,我们知道了库存超卖场景在分布式部署系统的情况下使用 Java 原生的锁机制无法保证线程安全,所以我们需要用到分布式锁的方案。
那么,如何实现分布式锁呢?接着往下看!
基于 Redis 实现分布式锁
上面分析为啥要使用分布式锁了,这里我们来具体看看分布式锁落地的时候应该怎么样处理。
①常见的一种方案就是使用 Redis 做分布式锁
使用 Redis 做分布式锁的思路大概是这样的:在 Redis 中设置一个值表示加了锁,然后释放锁的时候就把这个 Key 删除。
具体代码是这样的:
- // 获取锁
- // NX是指如果key不存在就成功,key存在返回false,PX可以指定过期时间
- SET anyLock unique_value NX PX 30000
- // 释放锁:通过执行一段lua脚本
- // 释放锁涉及到两条指令,这两条指令不是原子性的
- // 需要用到redis的lua脚本支持特性,redis执行lua脚本是原子性的
- if redis.call("get",KEYS[1]) == ARGV[1] then
- return redis.call("del",KEYS[1])
- else
- return 0
- end
这种方式有几大要点:
- 一定要用 SET key value NX PX milliseconds 命令。如果不用,先设置了值,再设置过期时间,这个不是原子性操作,有可能在设置过期时间之前宕机,会造成死锁(Key ***存在)
- Value 要具有唯一性。这个是为了在解锁的时候,需要验证 Value 是和加锁的一致才删除 Key。
这时避免了一种情况:假设 A 获取了锁,过期时间 30s,此时 35s 之后,锁已经自动释放了,A 去释放锁,但是此时可能 B 获取了锁。A 客户端就不能删除 B 的锁了。
除了要考虑客户端要怎么实现分布式锁之外,还需要考虑 Redis 的部署问题。
Redis 有 3 种部署方式:
- 单机模式
- Master-Slave+Sentinel 选举模式
- Redis Cluster 模式
使用 Redis 做分布式锁的缺点在于:如果采用单机部署模式,会存在单点问题,只要 Redis 故障了。加锁就不行了。
采用 Master-Slave 模式,加锁的时候只对一个节点加锁,即便通过 Sentinel 做了高可用,但是如果 Master 节点故障了,发生主从切换,此时就会有可能出现锁丢失的问题。
基于以上的考虑,Redis 的作者也考虑到这个问题,他提出了一个 RedLock 的算法。
这个算法的意思大概是这样的:假设 Redis 的部署模式是 Redis Cluster,总共有 5 个 Master 节点。
通过以下步骤获取一把锁:
- 获取当前时间戳,单位是毫秒。
- 轮流尝试在每个 Master 节点上创建锁,过期时间设置较短,一般就几十毫秒。
- 尝试在大多数节点上建立一个锁,比如 5 个节点就要求是 3 个节点(n / 2 +1)。
- 客户端计算建立好锁的时间,如果建立锁的时间小于超时时间,就算建立成功了。
- 要是锁建立失败了,那么就依次删除这个锁。
- 只要别人建立了一把分布式锁,你就得不断轮询去尝试获取锁。
但是这样的这种算法还是颇具争议的,可能还会存在不少的问题,无法保证加锁的过程一定正确。
②另一种方式:Redisson
此外,实现 Redis 的分布式锁,除了自己基于 Redis Client 原生 API 来实现之外,还可以使用开源框架:Redission。
Redisson 是一个企业级的开源 Redis Client,也提供了分布式锁的支持。我也非常推荐大家使用,为什么呢?
回想一下上面说的,如果自己写代码来通过 Redis 设置一个值,是通过下面这个命令设置的:
- SET anyLock unique_value NX PX 30000
这里设置的超时时间是 30s,假如我超过 30s 都还没有完成业务逻辑的情况下,Key 会过期,其他线程有可能会获取到锁。
这样一来的话,***个线程还没执行完业务逻辑,第二个线程进来了也会出现线程安全问题。
所以我们还需要额外的去维护这个过期时间,太麻烦了~我们来看看 Redisson 是怎么实现的?
先感受一下使用 Redission 的爽:
- Config config = new Config();
- config.useClusterServers()
- .addNodeAddress("redis://192.168.31.101:7001")
- .addNodeAddress("redis://192.168.31.101:7002")
- .addNodeAddress("redis://192.168.31.101:7003")
- .addNodeAddress("redis://192.168.31.102:7001")
- .addNodeAddress("redis://192.168.31.102:7002")
- .addNodeAddress("redis://192.168.31.102:7003");
- RedissonClient redisson = Redisson.create(config);
- RLock lock = redisson.getLock("anyLock");
- lock.lock();
- lock.unlock();
就是这么简单,我们只需要通过它的 API 中的 Lock 和 Unlock 即可完成分布式锁,他帮我们考虑了很多细节:
- Redisson 所有指令都通过 Lua 脚本执行,Redis 支持 Lua 脚本原子性执行。
- Redisson 设置一个 Key 的默认过期时间为 30s,如果某个客户端持有一个锁超过了 30s 怎么办?
- Redisson 中有一个 Watchdog 的概念,翻译过来就是看门狗,它会在你获取锁之后,每隔 10s 帮你把 Key 的超时时间设为 30s。
这样的话,就算一直持有锁也不会出现 Key 过期了,其他线程获取到锁的问题了。
- Redisson 的“看门狗”逻辑保证了没有死锁发生。(如果机器宕机了,看门狗也就没了。此时就不会延长 Key 的过期时间,到了 30s 之后就会自动过期了,其他线程可以获取到锁)
这里稍微贴出来其实现代码:
- // 加锁逻辑
- private <T> RFuture<Long> tryAcquireAsync(long leaseTime, TimeUnit unit, final long threadId) {
- if (leaseTime != -1) {
- return tryLockInnerAsync(leaseTime, unit, threadId, RedisCommands.EVAL_LONG);
- }
- // 调用一段lua脚本,设置一些key、过期时间
- RFuture<Long> ttlRemainingFuture = tryLockInnerAsync(commandExecutor.getConnectionManager().getCfg().getLockWatchdogTimeout(), TimeUnit.MILLISECONDS, threadId, RedisCommands.EVAL_LONG);
- ttlRemainingFuture.addListener(new FutureListener<Long>() {
- @Override
- public void operationComplete(Future<Long> future) throws Exception {
- if (!future.isSuccess()) {
- return;
- }
- Long ttlRemaining = future.getNow();
- // lock acquired
- if (ttlRemaining == null) {
- // 看门狗逻辑
- scheduleExpirationRenewal(threadId);
- }
- }
- });
- return ttlRemainingFuture;
- }
- <T> RFuture<T> tryLockInnerAsync(long leaseTime, TimeUnit unit, long threadId, RedisStrictCommand<T> command) {
- internalLockLeaseTime = unit.toMillis(leaseTime);
- return commandExecutor.evalWriteAsync(getName(), LongCodec.INSTANCE, command,
- "if (redis.call('exists', KEYS[1]) == 0) then " +
- "redis.call('hset', KEYS[1], ARGV[2], 1); " +
- "redis.call('pexpire', KEYS[1], ARGV[1]); " +
- "return nil; " +
- "end; " +
- "if (redis.call('hexists', KEYS[1], ARGV[2]) == 1) then " +
- "redis.call('hincrby', KEYS[1], ARGV[2], 1); " +
- "redis.call('pexpire', KEYS[1], ARGV[1]); " +
- "return nil; " +
- "end; " +
- "return redis.call('pttl', KEYS[1]);",
- Collections.<Object>singletonList(getName()), internalLockLeaseTime, getLockName(threadId));
- }
- // 看门狗最终会调用了这里
- private void scheduleExpirationRenewal(final long threadId) {
- if (expirationRenewalMap.containsKey(getEntryName())) {
- return;
- }
- // 这个任务会延迟10s执行
- Timeout task = commandExecutor.getConnectionManager().newTimeout(new TimerTask() {
- @Override
- public void run(Timeout timeout) throws Exception {
- // 这个操作会将key的过期时间重新设置为30s
- RFuture<Boolean> future = renewExpirationAsync(threadId);
- future.addListener(new FutureListener<Boolean>() {
- @Override
- public void operationComplete(Future<Boolean> future) throws Exception {
- expirationRenewalMap.remove(getEntryName());
- if (!future.isSuccess()) {
- log.error("Can't update lock " + getName() + " expiration", future.cause());
- return;
- }
- if (future.getNow()) {
- // reschedule itself
- // 通过递归调用本方法,***循环延长过期时间
- scheduleExpirationRenewal(threadId);
- }
- }
- });
- }
- }, internalLockLeaseTime / 3, TimeUnit.MILLISECONDS);
- if (expirationRenewalMap.putIfAbsent(getEntryName(), new ExpirationEntry(threadId, task)) != null) {
- task.cancel();
- }
- }
另外,Redisson 还提供了对 Redlock 算法的支持,它的用法也很简单:
- RedissonClient redisson = Redisson.create(config);
- RLock lock1 = redisson.getFairLock("lock1");
- RLock lock2 = redisson.getFairLock("lock2");
- RLock lock3 = redisson.getFairLock("lock3");
- RedissonRedLock multiLock = new RedissonRedLock(lock1, lock2, lock3);
- multiLock.lock();
- multiLock.unlock();
小结:本节分析了使用 Redis 作为分布式锁的具体落地方案以及其一些局限性,然后介绍了一个 Redis 的客户端框架 Redisson,这也是我推荐大家使用的,比自己写代码实现会少 Care 很多细节。
基于 Zookeeper 实现分布式锁
常见的分布式锁实现方案里面,除了使用 Redis 来实现之外,使用 Zookeeper 也可以实现分布式锁。
在介绍 Zookeeper(下文用 ZK 代替)实现分布式锁的机制之前,先粗略介绍一下 ZK 是什么东西:ZK 是一种提供配置管理、分布式协同以及命名的中心化服务。
ZK 的模型是这样的:ZK 包含一系列的节点,叫做 Znode,就好像文件系统一样,每个 Znode 表示一个目录。
然后 Znode 有一些特性:
- 有序节点:假如当前有一个父节点为 /lock,我们可以在这个父节点下面创建子节点,ZK 提供了一个可选的有序特性。
例如我们可以创建子节点“/lock/node-”并且指明有序,那么 ZK 在生成子节点时会根据当前的子节点数量自动添加整数序号。
也就是说,如果是***个创建的子节点,那么生成的子节点为 /lock/node-0000000000,下一个节点则为 /lock/node-0000000001,依次类推。
- 临时节点:客户端可以建立一个临时节点,在会话结束或者会话超时后,ZK 会自动删除该节点。
- 事件监听:在读取数据时,我们可以同时对节点设置事件监听,当节点数据或结构变化时,ZK 会通知客户端。
当前 ZK 有如下四种事件:
- 节点创建
- 节点删除
- 节点数据修改
- 子节点变更
基于以上的一些 ZK 的特性,我们很容易得出使用 ZK 实现分布式锁的落地方案:
- 使用 ZK 的临时节点和有序节点,每个线程获取锁就是在 ZK 创建一个临时有序的节点,比如在 /lock/ 目录下。
- 创建节点成功后,获取 /lock 目录下的所有临时节点,再判断当前线程创建的节点是否是所有的节点的序号最小的节点。
- 如果当前线程创建的节点是所有节点序号最小的节点,则认为获取锁成功。
- 如果当前线程创建的节点不是所有节点序号最小的节点,则对节点序号的前一个节点添加一个事件监听。
比如当前线程获取到的节点序号为 /lock/003,然后所有的节点列表为[/lock/001,/lock/002,/lock/003],则对 /lock/002 这个节点添加一个事件监听器。
如果锁释放了,会唤醒下一个序号的节点,然后重新执行第 3 步,判断是否自己的节点序号是最小。
比如 /lock/001 释放了,/lock/002 监听到时间,此时节点集合为[/lock/002,/lock/003],则 /lock/002 为最小序号节点,获取到锁。
整个过程如下:
具体的实现思路就是这样,至于代码怎么写,这里比较复杂就不贴出来了。
Curator 介绍
Curator 是一个 ZK 的开源客户端,也提供了分布式锁的实现。它的使用方式也比较简单:
- InterProcessMutex interProcessMutex = new InterProcessMutex(client,"/anyLock");
- interProcessMutex.acquire();
- interProcessMutex.release();
其实现分布式锁的核心源码如下:
- private boolean internalLockLoop(long startMillis, Long millisToWait, String ourPath) throws Exception
- {
- boolean haveTheLock = false;
- boolean doDelete = false;
- try {
- if ( revocable.get() != null ) {
- client.getData().usingWatcher(revocableWatcher).forPath(ourPath);
- }
- while ( (client.getState() == CuratorFrameworkState.STARTED) && !haveTheLock ) {
- // 获取当前所有节点排序后的集合
- List<String> children = getSortedChildren();
- // 获取当前节点的名称
- String sequenceNodeName = ourPath.substring(basePath.length() + 1); // +1 to include the slash
- // 判断当前节点是否是最小的节点
- PredicateResults predicateResults = driver.getsTheLock(client, children, sequenceNodeName, maxLeases);
- if ( predicateResults.getsTheLock() ) {
- // 获取到锁
- haveTheLock = true;
- } else {
- // 没获取到锁,对当前节点的上一个节点注册一个监听器
- String previousSequencePath = basePath + "/" + predicateResults.getPathToWatch();
- synchronized(this){
- Stat stat = client.checkExists().usingWatcher(watcher).forPath(previousSequencePath);
- if ( stat != null ){
- if ( millisToWait != null ){
- millisToWait -= (System.currentTimeMillis() - startMillis);
- startMillis = System.currentTimeMillis();
- if ( millisToWait <= 0 ){
- doDelete = true; // timed out - delete our node
- break;
- }
- wait(millisToWait);
- }else{
- wait();
- }
- }
- }
- // else it may have been deleted (i.e. lock released). Try to acquire again
- }
- }
- }
- catch ( Exception e ) {
- doDelete = true;
- throw e;
- } finally{
- if ( doDelete ){
- deleteOurPath(ourPath);
- }
- }
- return haveTheLock;
- }
其实 Curator 实现分布式锁的底层原理和上面分析的是差不多的。这里我们用一张图详细描述其原理:
小结:本节介绍了 ZK 实现分布式锁的方案以及 ZK 的开源客户端的基本使用,简要的介绍了其实现原理。
两种方案的优缺点比较
学完了两种分布式锁的实现方案之后,本节需要讨论的是 Redis 和 ZK 的实现方案中各自的优缺点。
对于 Redis 的分布式锁而言,它有以下缺点:
- 它获取锁的方式简单粗暴,获取不到锁直接不断尝试获取锁,比较消耗性能。
- 另外来说的话,Redis 的设计定位决定了它的数据并不是强一致性的,在某些极端情况下,可能会出现问题。锁的模型不够健壮。
- 即便使用 Redlock 算法来实现,在某些复杂场景下,也无法保证其实现 100% 没有问题,关于 Redlock 的讨论可以看 How to do distributed locking。
- Redis 分布式锁,其实需要自己不断去尝试获取锁,比较消耗性能。
但是另一方面使用 Redis 实现分布式锁在很多企业中非常常见,而且大部分情况下都不会遇到所谓的“极端复杂场景”。
所以使用 Redis 作为分布式锁也不失为一种好的方案,最重要的一点是 Redis 的性能很高,可以支撑高并发的获取、释放锁操作。
对于 ZK 分布式锁而言:
- ZK 天生设计定位就是分布式协调,强一致性。锁的模型健壮、简单易用、适合做分布式锁。
- 如果获取不到锁,只需要添加一个监听器就可以了,不用一直轮询,性能消耗较小。
但是 ZK 也有其缺点:如果有较多的客户端频繁的申请加锁、释放锁,对于 ZK 集群的压力会比较大。
小结:综上所述,Redis 和 ZK 都有其优缺点。我们在做技术选型的时候可以根据这些问题作为参考因素。
一些建议
通过前面的分析,实现分布式锁的两种常见方案:Redis 和 ZK,他们各有千秋。应该如何选型呢?
就个人而言的话,我比较推崇 ZK 实现的锁:因为 Redis 是有可能存在隐患的,可能会导致数据不对的情况。但是,怎么选用要看具体在公司的场景了。
如果公司里面有 ZK 集群条件,优先选用 ZK 实现,但是如果说公司里面只有 Redis 集群,没有条件搭建 ZK 集群。
那么其实用 Redis 来实现也可以,另外还可能是系统设计者考虑到了系统已经有 Redis,但是又不希望再次引入一些外部依赖的情况下,可以选用 Redis。这个是要系统设计者基于架构来考虑了。








934

被折叠的 条评论
为什么被折叠?



