题目
给定一个链表的头节点 head ,返回链表开始入环的第一个节点。 如果链表无环,则返回 null。
如果链表中有某个节点,可以通过连续跟踪 next 指针再次到达,则链表中存在环。 为了表示给定链表中的环,评测系统内部使用整数 pos 来表示链表尾连接到链表中的位置(索引从 0 开始)。如果 pos 是 -1,则在该链表中没有环。注意:pos 不作为参数进行传递,仅仅是为了标识链表的实际情况。
不允许修改 链表。
示例 1:

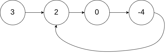
输入:head = [3,2,0,-4], pos = 1 输出:返回索引为 1 的链表节点 解释:链表中有一个环,其尾部连接到第二个节点。
示例 2:

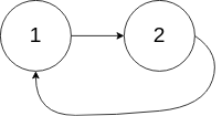
输入:head = [1,2], pos = 0 输出:返回索引为 0 的链表节点 解释:链表中有一个环,其尾部连接到第一个节点。
示例 3:

输入:head = [1], pos = -1 输出:返回 null 解释:链表中没有环。
提示:
- 链表中节点的数目范围在范围
[0, 104]内 -105 <= Node.val <= 105pos的值为-1或者链表中的一个有效索引
思路
这道题目,不仅考察对链表的操作,而且还需要一些数学运算。
主要考察两知识点:
判断链表是否环
如果有环,如何找到这个环的入口
判断链表是否有环
可以使用快慢指针法,分别定义 fast 和slow 指针,从头结点出发, fast指针每次移动两个节点, slow指针每次移 动一个节点,如果 fast 和slow指针在途中相遇 ,说明这个链表有环。
为什么fast 走两个节点, slow走一个节点,有环的话,一定会在环内相遇呢,而不是永远的错开呢
首先第一点: fast指针一定先进入环中,如果fast指针和slow指针相遇的话,一定是在环中相遇,这是毋庸置疑 的。
那么来看一下, 为什么fast指针和slow指针一定会相遇呢?
可以画一个环,然后让 fast指针在任意一个节点开始追赶slow指针。 会发现最终都是这种情况, 如下图:

fast和slow各自再走一步, fast和slow就相遇了
这是因为fast是走两步, slow是走一步, 其实相对于slow来说, fast是一个节点一个节点的靠近slow的,所以fast 一定可以和slow重合。

如果有环,如何找到这个环的入口
此时已经可以判断链表是否有环了,那么接下来要找这个环的入口了。
假设从头结点到环形入口节点 的节点数为x。
环形入口节点到 fast指针与slow指针相遇节点 节点数为y。
从相遇节点 再到环形入口节点节点数为 z 。 如图所示:
那么相遇时:
slow指针走过的节点数为: x + y,
fast指针走过的节点数: x + y + n (y + z), n为fast指针在环内走了n圈才遇到slow指针, (y+z)为 一圈内 节点的个数A。
因为fast指针是一步走两个节点, slow指针一步走一个节点, 所以 fast指针走过的节点数 = slow指针走过的节点数* 2:
两边消掉一个(x+y) : x + y = n (y + z)
因为要找环形的入口,那么要求的是x,因为 x表示 头结点到 环形入口节点的的距离。
所以要求x ,将x单独放在左面: x = n (y + z) - y ,
再从n(y+z)中提出一个 (y+z)来,整理公式之后为如下公式: x = (n - 1) (y + z) + z 注意这里 n一定是大 于等于1的,因为fast指针至少要多走一圈才能相遇slow指针。
这个公式说明什么呢?
先拿n为1的情况来举例,意味着fast指针在环形里转了一圈之后,就遇到了slow指针了。
当 n为1的时候,公式就化解为 x = z,
这就意味着, 从头结点出发一个指针,从相遇节点 也出发一个指针,这两个指针每次只走一个节点, 那么当这两 个指针相遇的时候就是 环形入口的节点。
也就是在相遇节点处,定义一个指针index1,在头结点处定一个指针index2。
让index1和index2同时移动,每次移动一个节点, 那么他们相遇的地方就是 环形入口的节点。
那么 n如果大于1是什么情况呢,就是fast指针在环形转n圈之后才遇到 slow指针。
其实这种情况和n为1的时候 效果是一样的,一样可以通过这个方法找到 环形的入口节点,只不过, index1 指针在 环里 多转了(n-1)圈,然后再遇到index2,相遇点依然是环形的入口节点。
代码
/**
* Definition for singly-linked list.
* struct ListNode {
* int val;
* ListNode *next;
* ListNode(int x) : val(x), next(NULL) {}
* };
*/
class Solution {
public:
ListNode *detectCycle(ListNode *head) {
ListNode* fast = head;
ListNode* slow = head;
while(fast != NULL && fast->next != NULL) {
slow = slow->next;
fast = fast->next->next;
// 快慢指针相遇,此时从head 和 相遇点,同时查找直至相遇
if (slow == fast) {
ListNode* index1 = fast;
ListNode* index2 = head;
while (index1 != index2) {
index1 = index1->next;
index2 = index2->next;
}
return index2; // 返回环的入口
}
}
return NULL;
}
};
时间复杂度: O(n),快慢指针相遇前,指针走的次数小于链表长度,快慢指针相遇后,两个index指针走的次数也小于链表长度,总体为走的次数小于 2n
空间复杂度: O(1)
1757

被折叠的 条评论
为什么被折叠?



