(1)
def add(a,b):
c=a+b
return c
c=add(1,2)
x=add
y=add
add=1
x=1
(2)
a=print
print(a)
print(1)
print(print)
(3)
print(123)
a=print('asdasd')
print(a)
(4)
print(None)
print(print(1))
print(1)
print(1,2,3)
print(print(1),print(2))
print('123')
print(123)
(5)
def mul(a,b):
return a*b
def square(x,x):
return mul(x,x)
a=square(square(3))
(6)
def increase(n,k=1):
return n+k
n=1
print(n)
n=increase(n)
print(n)
n=increase(n,2)
print(n)
(7)
from math import pi
def sum(a,b,c=2):
return a+b+c
def add(a,b):
return a+b
(8)质因数分解
证明:正整数n 除了n 之外的最小因数一定是质数
反证:
假设k 是n 除了1 之外的最小因数,且k 是合数,则:
k=p*q(p\not=1,q\not=1),则
p|k,q|k
由于k 是n 的因数,则:
k|n
所以 p|n ,p<k
即存在比k 还小的因数,和假设矛盾,故原命题成立
数学符号“∣”的意义,如a∣b:
'|'为整除符号,对于整数a,b(a≠0),
若存在整数k,使b=ka,则称a整除b,或b能被a整除,记为a∣b
整除具有传递性:
a|k,k|n,则a|n
def prime_fractorization(n):
i=2
while n!=1:
if n%i==0:
print(i)
n=n//i
else:
i=i+1
(9)斐波那契数列
def fib(n):
pred,curr=0,1
while n>1:
pred,curr=curr,pred+curr
n-=1
return curr
fib(n)
(10)泛化设计
from math import pi,sqrt
def area_square(r):
return r*r*1
def area_circle(r):
return r*r*pi
def area_hexagon(r):
return r*r*3*sqrt(3)/2 # 六边形
def area(r,shape_constant):
assert r>0
return r*r*shape_constant
def square(r):
return area(r,1)
def circle(r):
return area(r,pi)
def hexagon(r):
return area(r,3*sqrt(3)/2)
(11)高阶函数
def sum_naturals(n):
res,i=0,1
while(i<n):
res+=i
i+=res
return res
def sum_cubes(n):
res,i=0,1
while i<=n:
res+=i*i*i
i+=1
return res
def mul(x,y):
return x*y
# 泛化
def natural(i):
return i
def cube(i):
return i*i*i
def split_term(i):
return 8/mul(4*i-3,4*i-1)
def summation(n,term):
res,i=0,1
while i<=n:
res+=term(i)
i+=1
return res
(12)函数为返回值
def make_adder(n):
def adder(k):
return n+k
return adder
add_three=make_adder(3)
x=add_three(4)
y=make_adder(4)(8)
(13)匿名函数
func=lambda a,b:a+b
(14)控制语句
def condition():
print('This is condition.')
return True
def if_suite():
print('This is if suite.')
def else_suite():
print('This is else suite.')
def if_(condition_value,if_value,else_value):
if condition_value:
return if_value
else:
return else_value
def if_statement():
if condition():
if_suite()
else:
else_suite()
def if_function():
if_(condition(),if_suite(),else_suite())
(15)复合函数
def square(x):
return x*x
def make_adder(n):
def adder(k):
return n+k
return adder
def composel(f,g):
def h(x):
return f(g(x))
return h
composel(square,make_adder(2))(3)
(16)自引用
def print_sums(n):
print(n)
def next_sum(k):
return print_sums(n+k)
return next_sum
print_sums(1)(3)(5)
(17)函数颗粒化
def make_adder(n):
return lambda k:n+k
def add(x,y,z):
return x+y+z
def make_adder_adder(x):
def make_adder(y):
def adder(z):
return x+y+z
return adder
return make_adder
b=make_adder_adder(1)(2)(3)
add=lambda x,y,z:x+y+z
make_adder_adder=lambda x:lambda y: lambda z:x+y+z
make_adder_adder(1)(2)(3)
def f(x,y):
def g(a):
return a+y
return g(x)
result=f(1,2)
(18)函数抽象
def mul(a,b):
return a*b
def square(x):
return mul(x,x)
def sum_squares(x,y):
return square(x)+square(y)
(19)命名
def square(x):
return pow(x,2)
def square(x):
return mul(x,x-1)+x
x=(-b+sqrt(square(b)-4*a*c))/(2*a)
discriminant=square(b)-4*a*c
x1=(-b+sqrt(discriminant))/(2*a)
(20)递归
def sum_digits_rec(n):
if n<10:
return n
former,last=n//10,n%10
return sum_digits_rec(former)+last
# 迭代
def factor(n):
if n==1:
return 1
return n*factor(n-1)
# 递归
def fact_iter(n):
total,k=1,1
while k<=n:
total,k=total*k,k+1
return total
(21)相互递归
def is_even(n):
if n==0:
return True
return is_odd(n-1)
def is_odd(n):
if n==0:
return False
return is_even(n-1)
(22)迭代和递归
# 迭代
def sum_digits_iter(n):
digit_sum=0
while n>0:
n,last=split(n)
digit_sum=digit_sum+last
return digit_sum
# 递归
def sum_digits_rec(n,digit_sum):
if n==0:
return digit_sum
else:
n,last=split(n)
return sum_digits_rec(n,digit_sum+last)
(23)树形递归
def cascade(n):
if n<10:
print(n)
else:
print(n)
cascade(n//10)
print(n)
def grow(n):
if n==0:
return
grow(n//10)
print(n)
def shrink(n):
if n==0:
return
print(n)
shrink(n//10)
def inverse_cascade(n):
grow(n//10)
print(n)
shrink(n//10)
def fib(n):
if n==0:
return 0
if n==1:
return 1
return fib(n-1)+fib(n-2)
(24)汉诺塔
def print_move(origin,destination):
print('Move to top disk from rod',origin,"to rod",destination)
def move_stack(n,start,end):
assert 1<=start<=3 and 1<=end<=3 and start!=end
if n==1:
print_move(start,end)
else:
bridge=6-start-end
move_stack(n-1,start,bridge)
print_move(start,end)
move_stack(n-1,bridge,end)
(25)划分计数

def count_partitions(n,m):
if n==0:
return 1
elif n<0:
return 0
elif m==0:
return 0
else:
with_m=count_partitions(n-m,m)
without_m=count_partitions(n,m-1)
return
(26)List
digits=[1,8,2,8]
len(digits)
digits[3]
[2,7]+digits*2
pairs=[[10,20],[30,40]]
pairs[1]
pairs[1][0]
digits=[2//2,2+2+2+2,2,2*2*2]
getitem(digits,3)
add([2,7],mul(digits,2))
(27)容器
digits=[1,8,2,8]
a=1 in digits
b=8 in digits
c=5 not in digits
not(5 in digits)
def count(s,value):
total=0
for element in s:
if element==value:
total=total+1
return total
(28)range
range(1,2)
range
list
list(range(1,2))
list(range(1,3))
list(range(2,10,2))
list(range(10))
(29)list 求和
# 迭代
def sum_iter(lst):
total=0
for ele in lst:
total+=ele
return total
# 递归
def sum_rec(lst):
if len(lst)==0:
return 0
return lst[0]+sum_rec(lst[1:0])
(30)列表映射表达式
t=[i for i in natural if i%2==0]
print(t)
natural=[1,2,3,4,5,6,7,9]
odd=[i for i in natural if i%2==1]
even=[i for i in natural if i%2==0]
(31)字符串
s='abaaba'
s
s[0]
s[2]
s[0:3]
a+'21123'
a=[1,2,3,4]
a[0]
a[-1]
(32)字符串翻转
# 迭代
def reverse_string_iter(s):
res=''
for i in s:
res=i+res
# 递归
def reverse_string_rec(s):
if len(s)==0:
return s
return reverse_string_rec(s[1:0])+s[0]
(33)数据抽象,选择子和构造子
# 有理数
def rational(n,d):
n,d=n//gcd(n,d),d//gcd(n,d)
return [n,d]
# 分子 :numberator
def numer(x):
return x[0]
# 分母 :denominator
def denom(x):
return x[1]
# 加法
def add_rational(x,y):
nx,dx=numer(x),denom(x)
ny,dy=numer(y),denom(y)
return rational(nx*dy+ny*dx,dx*dy)
# 乘法
def mul_rational(x,y):
return rational(numer(x)*number(y),denom(x)*denom(y))
# 判断相等
def equal_rational(x,y):
return numer(x)*denom(y)==numer(y)*denom(x)
# 打印分数
def print_rational(x):
print(numer(x),'/',denom(x))
(34)数对二元组
pair=[1,2]
x,y=pair
pair[0]
pair[1]
getitem(pair,0)
getitem(pair,1)
def pair(first,second):
def pair_func(selector):
if selector=='first':
return first
if selector=='second':
return second
return pair_func
def first(p):
return p('first')
def second(p):
return p('second')
(35)抽象屏障
add_rational([1,2],[1,4])
def divide_rational(x,y):
return [x[0]*y[1],x[1]*y[0]]
def rational(n,d):
g=gcd(n,d)
n,d=n//g,d//g
def rational_func(selector):
if selector=='n':
return n
if selector=='d':
return d
return rational_func
def numer(x):
return x['n']
def denom(x):
return x['d']
(36)字典
me={'name':'bone','age':19,'gender':'male'}
print(me)
me['name']
me['age']
me['name']='hdbone'
me.keys()
me.values()
del me['hobby']
(37)盒子和箭头表示法
pair=[1,2]
nested_list=[[1,2],[],
[[3,False,None],
[4, lambda :5]]]
(38)切片
digits=[1,8,2,8]
start=digits[:1]
middle=digits[1:3]
end=digits[2:]
full=digits[:]
a=[1,2,3,4,5,6]
b=max(a,key=lambda x:-x)
a=[[1,2,3],[],[1],[-3,4,5,8]]
def max(lst,key=lambda x:x):
res=lst[0]
for ele in lst:
if key(ele)>key(res):
res=ele
return res
b=max(a,key=lambda x:len(x))
(39)树
# 结构
def tree(label,branches=[]):
for b in branches:
assert is_tree(b)
return [label]+list(branches)
# 判断是否为一个树
def is_tree(t):
if type(t)!=list or len(t)<1:
return False
for b in branches:
if not is_tree(t):
return False
return True
# 节点分支
def branches(t):
return t[1:]
# 节点的标签
def label(t):
return t[0]
# 判断是否为叶子
def is_leaf(tree):
return not branches(tree)
# 统计叶子的数量
def count_leaves(t):
if is_leaf(t):
return 1
else:
branches_counts=[count_leaves(b) for b in branches(t)]
return sum(branch_counts)
# 找出树的所有叶子
def leaves(t):
if is_leaf(t):
return [label(t)]
else:
return sum([leaves(b) for b in branches(t)],[])
# 复制一个树
def copy_tree(t):
if is_leaf(t):
return tree(label(t))
return tree(label(t),[copy_tree(b) for b in branches(t)])
# 叶子 label+1
def increment_leaves(t):
if is_leaf(t):
return tree(label(t)+1)
else:
bs=[increment_leaves(b) for b in branches(t)]
return tree(label(t),bs)
# 所有label +1
def increment(t):
return tree(label(t)+1,[increment(b) for b in branches(t)])
# 打印树
def print_tree(t,indent=0):
print(' '*indent+str(label(t)))
for b in branches(t):
print(b,indent+1)
# 路径集合
def sum_paths(t):
if is_leaf(t):
return [[label(t)]]
res=[]
for b in branches(t):
paths=sum_paths(b)
for p in paths:
res.append([label(t)]+p)

(40)type
def add(a,b):
return a+b
type(add)
min
add
type
type(min)
type([1,2,3])
int
list
type(list)
type(1)
type(int)
(41)类
#include <cstdio>
#include <cstdlib.h>
using namespace std;
struct Dog{
int size;
char color[20];
}
void bark(Dog* this){
if (this->size<20)
{
printf("%s Dog: Wuwuwu!\n",this->color);
} else{
printf("%s Dog: Woooooooof\n",this->color);
}
}
Dog* makeDog(int size,const char* color)
{
Dog* this=(Dog*)malloc(sizeof(Dog));
this->size=size;
strcpy(this->color,color);
return this;
}
void delete(Dog* this)
{
free(this);
}
int main()
{
Dog* smallDog=makeDog(5,"Dark");
Dog* bigDog=makeDog(20,"White");
bark(smallDog);
bark(bigDog);
delete(smallDog);
delete(bigDog);
return 0;
}
(42)相等
[1,2,3]==[1,2,3]
[1,2,3] is [1,2,3]
1==1
1 is 1
1.1==1.1
type(1.1)
a=[1,2,3]
b=a
a==b
a is b
a=[10]
b=a
a==b
a.append(20)
a
b
a==b
a=[10]
b=[10]
a==b
b.append(20)
a
b
a==b
(43)修改性函数(先存后取)
def make_withdraw(balance):
def withdraw(amount):
nonlocal balance
if amount>balance:
return 'Insufficient funds'
balance=balance-amount
return balance
return withdraw
withdraw=make_withdraw(100)
print(withdraw(25))
print(withdraw(25))
print(withdraw(60))
print(withdraw(15))
(44)非本地赋值
def make_withdraw_list(balance):
b=balance
def withdraw(amount):
if amount>b:
return 'Insufficient funds'
b=b-amount
return b
return withdraw
withdraw=make_withdraw_list(100)
print(withdraw(25))
print(withdraw(25))
print(withdraw(60))
print(withdraw(15))
# 报错
def make_withdraw_list(balance):
b=[balance]
def withdraw(amount):
if amount>b[0]:
return 'Insufficient funds'
b[0]=b[0]-amount
return b[0]
return withdraw
withdraw=make_withdraw_list(100)
print(withdraw(25))
print(withdraw(25))
print(withdraw(60))
print(withdraw(15))
# 正确
![]()
(45)引用透明性
def f(x):
x=4
def g(y):
def h(z):
nonlocal x
x=x+1
return x+y+z
return h
return g
a=f(1)
b=a(2)
c=b(3)+b(4)
(46)迭代器
s=[1,2,3,4]
it=iter(s)
it
next
next(it)
next(it)
d={'one':1,'two':2,'three':3}
d['zero']=0
k=iter(d.keys())
next(k)
next(k)
v=iter(d.values())
next(v)
next(v)
i=iter(d.items())
next(i)
next(i)
(47)for 语句的本质
# 倒数
class Countdown:
def __init__(self,start):
self.start=start
def __iter__(self):
v=self.start
while v>0:
yield v
v-=1
a=Countdown(5)
for x in Countdown(6):
print(x)
for x in a:
print(x)
(48)迭代器函数
l=['b','c','d']
L=list(map(lambda x:x.upper(),l))
it =iter(range(2,4))
next(it)
list(filter(lambda x:x%2==1,[1,2,3,4,5]))
list(zip([1,2,3,4],[5,6,7,8]))
for x,y in zip([1,2,3],[4,5,6]):
print(x,y)
it=reversed([1,2,3])
next(it)
next(it)
sorted([1,3,2,7,2])
(49)生成子
def plus_minus(x):
yield x
yield -x
t=plus_minus(3)
next(t)
next(t)
def countdown(k):
if k>0:
yield k
yield from countdown(k-1)
def a_then_b(a,b):
for x in a:
yield x
for x in b:
yield x
def a_then_b(a,b):
yield from a
yield from b
list(a_then_b([3,4],[5,6]))
def countdown(n):
if n==1:
yield 1
else:
yield
(50)面向对象
class Account:
interest=0.02
def __init__(self,account_holder):
self.holder=account_holder
self.balance=0
def deposit(self,amount)
self.balance+=amount
return self.balance
def withdraw(self,amount):
if amount>self.balance:
return 'Insufficient funds'
self.balance-=amount
return self.balance
account=Account('Tom')
account.deposit(100)
getattr(a,'holder')
getattr(a,'balance')
getattr(a,'deposit')
type(Account.deposit)
type(account.deposit)
Account.deposit(account,1001)
account.deposit(1004)
a.holder
a.balance
a.interest
Account.deposit
Account.withdraw
lambda amount:deposit(a,amount)(10)
(51)属性赋值
a=Account('John')
a.deposit(100)
print(a.interest)
a.interest=0.08
print(a.interest)
print(Account.interest)
Account.test='lalala'
Account.info=lambda self:self.holder+" "+str(self.balance)
print(a.info())
(52)继承
class CheckingAccount(Account):
interest=0.01
withdraw_fee=1
def withdraw(self,amount):
return Account.withdraw(self,amount+self.withdraw_free)
ch=CheckingAccount('Tom')
print(ch.interest)
print(ch.deposit(20))
print(ch.withdraw(5))
(53)属性查找
class A:
z=-1
def f(self,x):
return B(x-1)
class B(A):
n=4
def __init__(self,y):
if y:
self.z=self.f(y)
else:
self.z=C(y+1)
class C(B):
def f(self,x):
return x
a=A()
b=B(1)
b.n=5
C(2).n
a.z==C.z
a.z==b.z
(54)多继承
class SavingAccount(Account):
deposit_fee=2
def deposit(self,amount):
return Account.deposit(self,amount-self.deposit_fee)
class AsSeenOnTVAccount(CheckingAccount,SavingAccount):
def __init__(self,acount_holder):
self.holder=account_holder
self.balance=1
(55)repr 和 eval
from operator import add
c=[1,2,3]
from fractions import Fraction
half=Fraction(1,2)
half
Fraction(1,2)
str(half)
repr(half)
a=Fraction(1,2)
a
eval
eval(a)
eval('a')
eval('Fraction(1,2)')
eval('1+2')
repr(half)
eval(repr(half))
str(eval(repr(half)))
half.__repr__()
half.__str__()
str(half)
type(half)
type(half).__repr__
type(half).__repr(half)
half.__repr__=1 # read-only
def repr(x):
return x.__repr__(x)
def repr(x):
return x.__repr__()
def repr(x):
return type(x).__repr__(x)
def repr(x):
return type(x).__repr__()
def repr(x):
return super(x).__repr__()
repr
str
str(1)
str.__init__
def _repr(x):
s=type(x).__repr__(x)
if not isinstance(s,str):
raise TypeError
return s
def _str(x):
s=type(x).__str__(x)
if not isinstance(s,str):
raise TypeError
return s
(56)特殊方法名
zero,one,tow=0,1,2
one+two
bool(zero),bool(one)
zero,one,two=0,1,2
one.__add__(two)
zero.__bool__(),one.__bool__()
class A:
def __init__(self):
self.__repr__=lambda: 'instance A repr'
self.__str__=lambda: 'instance A str'
def __repr__(self):
return 'A()'
def __str__(self):
return 'a'
def __bool__(self):
return False
from fractions import gcd
class Ration:
def __init__(self,n,d):
self.numer=n
self.denom=d
def __repr__(self):
return 'Ratio({0},{1})'.format(self.numer,self.denom)
def __str__(self):
return self.numer/self.denom
def __float(self):
return self.numer/self.denom
def __add__(self):
if isinstance(self,other):
n=self.numer*other.denom+other.numer+self.denom
d=self.denom*other.denom
elif isinstance(other,int):
return float(self)+other
g=gcd(n,d)
return Ration(n//g,d//g)
Ration(1,3)+1
1+Ration(1,3)
from math import pi
Ration(1,3)+pi
(57)List 组合
class Link:
empty=()
def __init__(self,first,rest=empty):
assert rest is Link.empty or isinstance(rest,Link)
self.first=first
self.rest=rest
def __repr__(self):
if self.rest:
rest_repr=', '+repr(self.rest)
else:
rest_repr=''
return 'Link('+repr(self.first)+rest_repr+')'
def __str__(self):
string='<'
while self.rest is not Link.empty:
string+=str(self.first)+', '
self=self.rest
return string+str(self.first)+'>'
def range_link(start,end):
if start>=end:
return Link.empty
return Link(start,range_link(start+1,end))
def map_link(f,s):
if s is Link.empty:
return s
return Link(f(s.first))
def filter_link(f,s):
if s is Link.empty:
return s
return Link(s.first,filter_link(f,s.rest)) if f(s.first) else filter_link(f,s.rest)
square,odd=lambda x:x*x,lambda x:x%2==1
list(map(square,filter(odd,range(1,6))))
map_link(square,filter_link(odd,range_link(1,6)))
s=Link(1,Link(2,Link(3)))
s.first=5
t=s.rest
t.rest=s
s.first
s.rest.rest.rest.first
(58)List 修改 add
def add(s,v):
assert s is not Link.empty
if v<s.first:
s.rest=Link(s.first,s.rest)
s.first=v
elif v>s.first
s.rest=add(s.rest,v) if s.rest is not Link.empty else Link(v)
return s
(59)tree 类
class Tree:
def __init__(self,label,branches=[]):
self.label=label
for branch in branches:
assert isinstance(branch,Tree)
self.branches=list(branches)
def __repr__(self):
if self.branches:
branch_str=', '+repr(self.branches)
else:
branch_str=''
return 'Tree{{0},{1}}'.format(repr(self.label),branch_str)
def __str__(self):
return '\n'.join(self.indented())
def indented(self):
lines=[]
for b in self.branches:
for line in b.indented():
lines.append(' '+line)
return [str(self.line)]+lines
def is_leaf(self):
return not self.branches
def fib_tree(n):
if n==0 or n==1:
return Tree(n)
else:
left=fib_tree(n-2)
right=fib_tree(n-1)
fib_n=left.label+right.label
return Tree(fib,[left,right])
def tree(label,branches=[]):
for branch in branches:
assert is_tree(branch)
return [label]+list(branches)
def label(tree):
return tree[0]
def branches(tree):
return tree[1:]
def fib_tree(n):
if n==0 or n==1:
return tree(n)
else:
left=fib_tree(n-2)
right=fib_tree(n-1)
fib_n=label(left)+label(right)
return tree(fib_n,[left,right])
# 删减
def prune(t,n):
assert n!=t.label
t.branches=[b for b in t.branches if b.label!=n]
for b in t.branches:
prune(b,n)
# 叶节点
def leaves(tree):
if tree.is_leaf():
return [tree.label]
return sum([leaves(b) for b in tree.branches],[])
# 高度
def height(tree):
if tree.is_leaf():
return 0
return 1+max([height(b) for b in tree.branches])
(60)Fibonacci 和 记忆化
def fib(n):
if n==0:
return 0
elif n==1:
return 1
else:
return fib(n-2)+fib(n-1)
def memo(f):
cache={}
def memoized(n):
if n not in cache.keys():
cache[n]=f(n)
return cache[n]
return memorized
fib_memo=memo(fib)
fib(5)
fib(6)
fib_memo(5)
fib_memo(6)
# 添加记忆化后的Fibonacci
def make_memo_fib():
cache={0:0,1:1}
def memo_fib(n):
if n in cache:
return cache[n]
res=mem_fib(n-2)+mem_fib(n-1)
cache[n]=res
return cache[n]
return memo_fib
memo_fib=make_memo_fib()
memo_fib(20)
(61)复杂度
def exp(b,n):
if n==0:
return 1
else:
return b*exp(b,n-1)
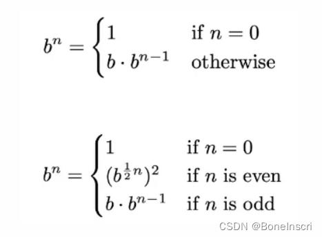
def exp_fast(b,n):
if n==0:
return 1
elif n%2==0:
return square(exp_fast(b,n//2))
else:
return b*exp_fast(b,n-1)
def square(x):
return x*x

(62)线性时间求列表重复元素(有序的列表)
# 暴力
def brute_overlap(s,t):
count=0
for i in s:
for j in t:
if i==j:
count+=1
# 快速求解
def fast_overlap(s,t):
count,i,j=0,0,0
while i<len(s) and j<len(t):
if s[i]<t[j]:
i=i+1
elif s[i]>t[j]:
j=j+1
else:
count,i,j=count+1,i+1,j+1
return count
(63)集合 sets
s={'one','two','three','four','four'}
print(s)
print('three' in s)
print(len(s))
print(s.union({'one','five'}))
s.intersection({'six','five','four','three'})
a=['first','second','third']
b=('first','second','third')
d={'first','second','third'}
e={1:'first',2:'second',3:'third'}
(64)控制流
def xk(c,d):
if c==4:
return 6
elif d>=4:
return 6+7+c
else:
return 25
xk(10,10)
xk(4,6)
def how_big(x):
if x>10:
print('huge')
elif x>5:
print('big')
elif x>0:
print('small')
else:
print('nothing')
how_big(7)
how_big(12)
n=3
while n>=0:
n-=1
print(n)
positive=28
while positive:
print('positive?')
positive-=3
positive=-9
negative=-12
while negative:
if positive:
print(negative)
positive+=3
negative+=3
(65)逻辑表达式
True and 13
False or 0
not 10
not None
True and 1/0 and False
True or 1/0 or False
True and 0
False or 1
1 and 3 and 6 and 10 and 15
-1 and 1>0
0 or False or 2 or 1/0
not 0
(1+1) and 1
1/0 or True
(True )
(66)error
print(__debug__)
def error():
assert False
error()
def error():
raise TypeError('a test type error')
def error():
raise TypeError('a test type error')
try:
error()
except TypeError as z:
print(z)
def invert(x):
inverse=1/x
print('Never printed if x is 0')
return inverse
def invert_safe(x):
try:
return invert(x)
except ZeroDivisionError as e:
return str(e)
(67)reduce

reduce(mul,[2,4,8],1)
# mul(mul(mul(1,2),4),8)
def reduce(f,s,initial):
if not s:
return initial
return reduce(f,s[1:], f(initial,s[0]))
def divide_all(n,ds):
from operator import truediv
try:
return reduce(truediv,ds,n)
except ZeroDivisionError:
return float('inf')
该博客围绕Python编程展开,涵盖质因数分解证明、斐波那契数列等算法,还涉及高阶函数、匿名函数等函数相关知识,以及列表、字符串、字典等数据结构,同时包含面向对象编程的类、继承等内容。
342

被折叠的 条评论
为什么被折叠?



