一、题目描述
定义构造三叉搜索树规则如下: 每个节点都存有一个数,当插入一个新的数时,从根节点向下寻找,直到找到一个合适的空节点插入查找的规则是:
1.如果数小于节点的数减去500,则将数插入节点的左子树
2.如果数大于节点的数加上500,则将数插入节点的右子树
3.否则,将数插入节点的中子树
给你一系列数,请按以上规则,按顺序将数插入树中,构建出一棵三叉搜索树,最后输出树的高度。
二、输入描述
第一行为一个数N,表示有N个数,1<=N<=10000
第二行为N个空格分隔的整数,每个数的范围为[1,10000]
三、输出描述
输出树的高度(根节点的高度为1)。
四、测试用例
测试用例1:
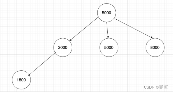
1、输入
5
5000 2000 5000 8000 1800
2、输出
3
3、说明
最终构造出的树如下,高度为3。

订阅专栏 解锁全文
355

被折叠的 条评论
为什么被折叠?



