1. 题目描述
给你两个单链表的头节点 headA 和 headB ,请你找出并返回两个单链表相交的起始节点。如果两个链表不存在相交节点,返回 null 。
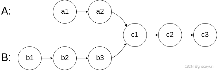
图示两个链表在节点 c1 开始相交

题目数据 保证 整个链式结构中不存在环。
注意,函数返回结果后,链表必须 保持其原始结构 。
示例 1:
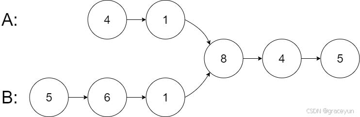
输入:intersectVal = 8, listA = [4,1,8,4,5], listB = [5,6,1,8,4,5], skipA = 2, skipB = 3
输出:Intersected at ‘8’
解释:相交节点的值为 8 (注意,如果两个链表相交则不能为 0)。
从各自的表头开始算起,链表 A 为 [4,1,8,4,5],链表 B 为 [5,6,1,8,4,5]。
在 A 中,相交节点前有 2 个节点;在 B 中,相交节点前有 3 个节点。
— 请注意相交节点的值不为 1,因为在链表 A 和链表 B 之中值为 1 的节点 (A 中第二个节点和 B 中第三个节点) 是不同的节点。换句话说,它们在内存中指向两个不同的位置,而链表 A 和链表 B 中值为 8 的节点 (A 中第三个节点,B 中第四个节点) 在内存中指向相同的位置
2. 思路
要求时间复杂度O(N)找交点要求空间复杂度O(1)
1、分别求两个链表的长度
2、长的链表先走 差距步
3、同时走,第一个地址相同就是交点
3.代码实现
/**
* Definition for singly-linked list.
* struct ListNode {
* int val;
* struct ListNode *next;
* };
*/
struct ListNode* getIntersectionNode(struct ListNode* headA,
struct ListNode* headB) {
struct ListNode* tailA = headA;
struct ListNode* tailB = headB;
int lenA = 1;
int lenB = 1;
// 求长度
while (tailA->next != NULL) {
tailA = tailA->next;
lenA++;
}
while (tailB->next != NULL) {
tailB = tailB->next;
lenB++;
}
if (tailA != tailB) // 这里比的是节点的地址,不是val
{
return NULL;
}
// 让长的先走差距步,不清楚谁长谁短 ,这里用求绝对值函数
int gap = abs(lenA - lenB);
struct ListNode* longList = headA;
struct ListNode* shortList = headB;
if (lenA < lenB) {
longList = headB;
shortList = headA;
}
// 走到这里,我们让长的走差距步,
while (gap--) {
longList = longList->next;
}
while (shortList !=
longList) // 我们之间判断两个是否相等,不相等就继续往后遍历
{
longList = longList->next;
shortList = shortList->next;
}
// 走到这里就是相等,第一个结点就是交点
return longList;
}




被折叠的 条评论
为什么被折叠?



