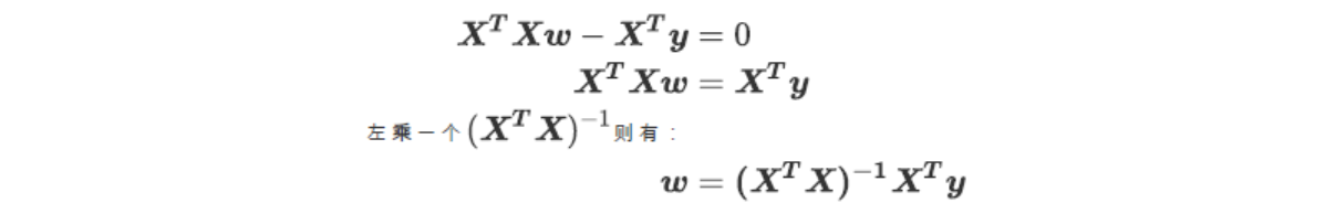
多元线性回归使用最小二乘法求解,对多元线性回归的损失函数求导,并得出求解系数的式子和过程:

最后一步中需要左乘XTX的逆矩阵,而逆矩阵存在的充分必要条件是特征矩阵不存在多重共线性。什么是多重共线性,如何一步步从逆矩阵必须
存在推导到多重共线性不能存在?
逆矩阵存在的充要条件
逆矩阵存在与否的意义和影响。一个矩阵什么情况下才可以有逆矩阵呢?来看逆矩阵的计算公式:
A−1=1∣A∣A^{-1}=\Large\frac1{|A|}A−1=∣A∣1A∗A^*A∗
分子上A*是伴随矩阵,任何矩阵都可以有伴随矩阵,因此这一部分不影响逆矩阵的存在性。而分母上的行列式|A|就不同了,位于分母的变量不能为0,一旦为0则无法计算出逆矩阵。因此逆矩阵存在的充分必要条件是:矩阵的行列式不能为0,对于线性回归而言,即是说|XTX|不能为0。这是使用最小二乘法来求解线性回归的核心条件之一。
行列式不为0的充要条件
那行列式要不为0,需要满足什么条件呢?假设特征矩阵X结构为(m,n),则XTX就是结构为(n,m)的矩阵乘以结构为(m,n)的矩阵,从而得到结果为
(n,n)的方阵。
XTX=(n,m)∗(m,n)=(n,n)X^TX=(n,m)*(m,n)=(n,n)XTX=(n,m)∗(m,n)=(n,n)
因此,以下所有例子都将以方阵进行举例,方便理解。首先区别一下矩阵和行列式:
矩阵A=[x11x12x13x21x22x23x31x32x33]矩阵A=\left[ \begin{array}{c}x_{11} & x_{12} & x_{13} \\x_{21} & x_{22} & x_{23} \\x_{31} & x_{32} & x_{33} \\\end{array} \right]矩阵A=⎣⎡x11x21x31x12x22x32x13x23x33⎦⎤
矩阵A的行列式=∣x11x12x13x21x22x23x31x32x33∣=∣A∣矩阵A的行列式=\left| \begin{array}{c}x_{11} & x_{12} & x_{13} \\x_{21} & x_{22} & x_{23} \\x_{31} & x_{32} & x_{33} \\\end{array} \right|=|A|矩阵A的行列式=∣∣∣∣∣∣x11x21x31x12</

本文深入探讨了线性回归中多重共线性的问题,指出逆矩阵存在的必要条件是矩阵行列式不为0,即特征矩阵不能存在多重共线性。介绍了满秩矩阵的概念,并讨论了相关性和多重共线性的区别。提出了处理多重共线性的三种常见方法:数据预处理、向前逐步回归和改进线性回归算法,如岭回归、Lasso和弹性网。
最低0.47元/天 解锁文章
302

被折叠的 条评论
为什么被折叠?



