高斯联合概率分解与推断
最新推荐文章于 2025-08-14 14:05:18 发布
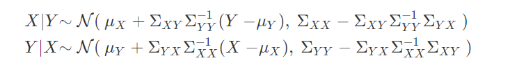
博客聚焦高斯推断,指出其中最重要的结论是2.53b,围绕信息技术领域的高斯推断相关内容展开。
博客聚焦高斯推断,指出其中最重要的结论是2.53b,围绕信息技术领域的高斯推断相关内容展开。
8613
1187

被折叠的 条评论
为什么被折叠?