一、习题
- 简述时间管理包括哪些内容。
答:项目时间管理包括进度管理规划、活动定义、活动排序、活动资源估算、活动历时估算、制定进度计划和进度控制等管理过程。
2.理解时间管理的重要性。
答:项目时间管理又称为进度管理,项目时间管理采用科学的方法确定项目进度,编制进度计划和资源供应计划,进行进度控制,在与质量、费用目标协调的基础上,实现项目的进度目标。
3.简述绘制网络图的步骤及注意事项。
答:绘制基本步骤:①任务分解,工序明细表;②画图:有始有终,从左到右;③工时、事项编号((i,j)工序需要达到:i<j)
注意事项:1) 从左到右;2)只有在所有前导活动已经完成后活动才能开始;3)网络中箭线表示领先关系和流向,不允许出现无头线或双头箭线;4)每个活动有唯一识别码,且必须大于其前面所有活动的识别码;5)不允许出现环路;6)不允许条件陈述;7)只允许有一个起始节点和一个结束节点。
4.简述软件项目常用的进度估算方法。
答:主要有:1)自顶向下的估算方法;2)自底向上的估算方法;3)差别估算法;4)根据实验或历史数据给出软件项目工作量或成本的经验估算公式。
5.简述编制项目进度计划的依据。
答:编制进度计划的依据主要包括项目网络图、时间估算、资源储备说明、项目日历和资源日历、强制日期、关键事件或主要里程碑、假定前提以及提前和滞后等。
6.简述项目进度的控制过程。
答:进度控制的主要工作包括:分析偏离进度基准的原因与程度,评估这些偏差对未来工作的影响,确定是否需要采取纠正或预防措施。
7.调整项目进度需要考虑哪些方面?
答:对于不使用挣值管理的项目,需要开展类似的偏差分析,比较活动的计划开始和结束时间与实际开始和结束时间,从而确定进度基准和实际项目绩效之间的偏差。还可以进一步分析,以确定偏离进度基准的原因和程度,并决定是否需要采取纠正或预防措施。
8.项目时间管理与其他管理过程的关系。
答:严格的时间管理是有效项目管理的关键之一。通常来讲,如果一个项目经理不能很好地控制自己的时间,那么他也不可能对项目加以控制。
二、实践
继续上实践环节确定的项目:
1)估算活动历时;
2)编制项目网络图,识别关键路径;
3)创建甘特图;
校内旧书、学习资料转让系统
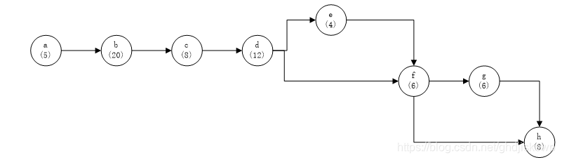
该项目活动及对应的活动序号如下:
a:项目启动(包括‘工作组组建’、‘项目规划’、‘召开会议讨论’)
b:系统分析(包括‘系统调查’、‘系统可行性分析’、‘需求分析‘【包括了需求说明书撰写,测试方案拟定,数据字典生成】)
c:系统设计(包括‘概要设计‘、’详细设计‘)
d:编码实现(‘编码‘、’界面设计‘)
e:系统实现(‘用户信息管理‘、’资料发布‘、’资料转让‘)
f:系统测试(‘测试计划‘、’单元测试‘、’集成测试‘)
g:用户验收(‘系统验收、数据信息导入、文档验收‘)
h:试运行和维护(‘系统安装、人员培训、系统启用‘)
项目活动历史估算如下:
|
活动序号 |
活动名 |
紧前活动 |
所需时间(d) |
所需人员数 |
|
a |
项目启动 |
- |
5 |
2 |
|
b |
系统分析 |
a |
20 |
5 |
|
c |
系统设计 |
b |
8 |
2 |
|
d |
编码实现 |
c |
12 |
4 |
|
e |
系统实现 |
d |
4 |
2 |
|
f |
系统测试 |
d,e |
6 |
3 |
|
g |
用户验收 |
f |
6 |
3 |
|
h |
试运行和维护 |
f,g |
8 |
3 |
项目网络图

图1-1校内旧书、学习资料转让系统网络图
关键路径:a-b-c-d-e-f-g-h
图书管理系统
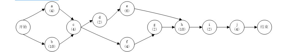
该项目活动及对应的活动序号如下:
a:项目管理(包括‘财务管理’、‘进度管理’、‘风险管理’)
b:需求分析(包括‘需求调研’、‘需求分析’、‘可行性分析‘、’需求评审和确认‘)
c:系统分析
d:系统设计准备(包括系统方案设计)
e:数据库设计(包括概念设计、逻辑设计、物理设计)
f:开发设备订购(包括项目招标、投标)
g:项目计划(包括项目预算、项目进度、人员资源分配)
h:系统实现(‘编码实现‘、’界面设计‘)
i:系统测试(‘测试计划‘、’系统模块‘)
j:试运行和维护(‘系统安装、人员培训 ‘)
项目活动历史估算如下:
|
活动序号 |
活动名 |
紧前活动 |
所需时间(d) |
所需人员数 |
|
a |
项目管理 |
- |
4 |
2 |
|
b |
需求分析 |
- |
10 |
4 |
|
c |
系统分析 |
a,b |
4 |
2 |
|
d |
系统设计准备 |
c |
2 |
2 |
|
e |
数据库设计 |
d |
6 |
2 |
|
f |
开发设备订购 |
c |
4 |
2 |
|
g |
项目计划 |
f |
2 |
2 |
|
h |
系统实现 |
e,g |
10 |
4 |
|
i |
系统测试 |
h |
2 |
2 |
|
j |
试运行和维护 |
i |
4 |
2 |
项目网络图

关键路径
b-c-d-f-h-i-j
学籍管理系统
该项目活动及对应的活动序号如下:
a:项目启动(包括‘工作组组建‘)
b:系统分析(包括‘系统调查’、‘系统可行性分析‘、’需求分析‘)
c:系统设计(包括概要设计、详细设计)
d:编码实现(包括编码、界面设计、功能实现)
e:编写测试计划
f:单元测试
g:集成测试
h:试运行和维护(包括系统安装、人员培训、系统启用)
项目活动历史估算如下:
|
活动序号 |
活动名 |
紧前活动 |
所需时间(d) |
所需人员数 |
|
a |
项目启动 |
- |
5 |
2 |
|
b |
系统分析 |
a |
15 |
5 |
|
c |
系统设计 |
b |
8 |
2 |
|
d |
编码实现 |
c |
10 |
4 |
|
e |
编写测试计划 |
d |
4 |
2 |
|
f |
单元测试 |
e |
3 |
1 |
|
g |
集成测试 |
e |
3 |
1 |
|
h |
试运行和维护 |
f,g |
6 |
3 |
项目网络图

关键路径:
a-b-c-d-e-f-h
a-b-c-d-e-g-h
校内网上订餐服务系统
该项目活动及对应的活动序号如下:
a:项目启动(包括‘工作组组建、项目规划、召开会议讨论 ‘)
b:系统分析(包括‘系统调查’、‘系统可行性分析‘、’需求分析等‘)
c:系统设计(包括概要设计、详细设计)
d:编码实现(包括编码、界面设计、功能实现)
e:编写测试计划
f:单元测试
g:集成测试
h:用户验收(包括系统验收、数据信息导入、文档验收)
i:试运行和维护(包括系统安装、人员培训、系统启用)
项目活动历史估算如下:
|
活动序号 |
活动名 |
紧前活动 |
所需时间(d) |
所需人员数 |
|
a |
项目启动 |
- |
3 |
2 |
|
b |
系统分析 |
a |
10 |
4 |
|
c |
系统设计 |
b |
6 |
2 |
|
d |
编码实现 |
c |
8 |
4 |
|
e |
编写测试计划 |
d |
2 |
2 |
|
f |
单元测试 |
e |
2 |
1 |
|
g |
集成测试 |
e |
2 |
1 |
|
h |
用户验收 |
f,g |
4 |
2 |
|
i |
试运行和维护 |
i |
4 |
2 |
项目网络图

关键路径:
a-b-c-d-e-f-h-i
a-b-c-d-e-g-h-i
就业指导网站
该项目活动及对应的活动序号如下:
a:项目启动(包括‘工作组组建’、‘项目规划’、‘召开会议讨论’)
b:系统分析(包括‘系统调查’、‘系统可行性分析’、‘需求分析‘【包括了需求说明书撰写,测试方案拟定,数据字典生成】)
c:系统设计(包括‘概要设计‘、’详细设计‘)
d:编码实现(‘编码‘、’界面设计‘)
e:系统实现(‘用户管理子系统实现‘、’就业信息子系统实现‘、’企业信息子系统实现‘)
f:系统测试(‘测试计划‘、’单元测试‘、’集成测试‘)
g:用户验收(‘系统验收、数据信息导入、文档验收‘)
h:试运行和维护(‘系统安装、人员培训、系统启用‘)
项目活动历史估算如下:
|
活动序号 |
活动名 |
紧前活动 |
所需时间(d) |
所需人员数 |
|
a |
项目启动 |
- |
5 |
2 |
|
b |
系统分析 |
a |
20 |
5 |
|
c |
系统设计 |
b |
8 |
2 |
|
d |
编码实现 |
c |
12 |
4 |
|
e |
系统实现 |
d |
4 |
2 |
|
f |
系统测试 |
d,e |
6 |
3 |
|
g |
用户验收 |
f |
6 |
3 |
|
h |
试运行和维护 |
f,g |
8 |
3 |
项目网络图

关键路径:a-b-c-d-e-f-g-h
本文介绍了项目时间管理的重要内容,包括进度管理规划、活动定义、排序、资源与历时估算等。探讨了时间管理的重要性,提供了绘制网络图的具体步骤与注意事项,并列举了几种常见的进度估算方法。此外,还阐述了编制项目进度计划的依据、进度控制的过程,以及调整项目进度时需考虑的因素。
1万+

被折叠的 条评论
为什么被折叠?



