“虚短”与“虚断”是非常重要的两个概念。在分析运放的输入信号与输出信号的关系时,这是两个基本的出发点。
当运放引入负反馈的时候,或者说工作在“线性区”的时候,输出电压与净输入电压(同相输入端反相输入端的差值)成线性关系,电路的放大倍数就是运放自身的开环增益。

u_O是有限值,通常不会大于电源电压。A_od非常大,常常达到百万倍,所以u_P-u_N几乎为0。由于两个输入端几乎没有电压差,看上去好像是短路了,所以称为“虚短路”。但是虚短路不是真正的短路,如果u_P 与u_N完全相等,电路的输入端就不存在差值,即便把0放大一百万倍,结果还是0。所以u_P 与u_N还是有一点点电压差的。
由于运放的输入电阻非常大,所以输入电流非常小,所以运放的输入端看上去相等于断路,称两个输入端为“虚断路”。虽然输入端的电流趋近于零,但不是真正的断路,如果输入端真的断路了,运放没有输入,当然也不会有正确的输出了,所以还是有很一点点输入电流的。
开环增益(写作A_od)非常大,通常是10000以上;
输入阻抗非常高 ,通常是1000000欧姆以上。
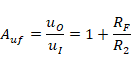
由于开环增益实在太大了,输入信号要非常非常小,电路才能工作。所以实际应用中,通常会闭环应用,加入负反馈,把输出连接到反相输入端。常常会用电阻分压,来决定放大倍数。例如分析下边这个放大电路的放大倍数:

“+”表示同相输入端,用u_P表示;
“-”表示反相输入端,用u_N表示;
由于虚断,分析R_F与R_2的串联支路,根据电流相等可得:

则闭环增益A_uf为

注意,应用“虚短”与“虚短”的前提是运放处于线性工作区,一般情况下处于线性工作区的运放都存在闭环负反馈。“虚短”其实是运放处于线性工作区的结果,而并非导致运放处于线性工作区的原因。如果人为的增大两个输入端的电压差,并不一定使输出电压增大,反而会使运放处于非线性区。
本文深入解析运算放大器(运放)的工作原理,重点阐述在负反馈条件下,“虚短”与“虚断”两个核心概念的含义与应用。通过分析输入信号与输出信号之间的关系,揭示运放在线性工作区的特性,以及如何利用这些特性进行电路设计。
12万+

被折叠的 条评论
为什么被折叠?



